Variation Characteristics and Transportation of Aerosol, NO2, SO2, and HCHO in Coastal Cities of Eastern China: Dalian, Qingdao, and Shanghai
Abstract
1. Introduction
2. MAX-DOAS Measurement
2.1. Instrument
2.2. Site
2.3. Spectral Analysis
2.4. Profile Retrieval
2.5. Flux Calculation Method
2.5.1. Method for Calculating Mass Concentration of Particulate Matter
The Conversion Model of the Particle Mass Concentration and Extinction Coefficient
Conversion Formula
2.5.2. Transport Flux Calculation
3. Results
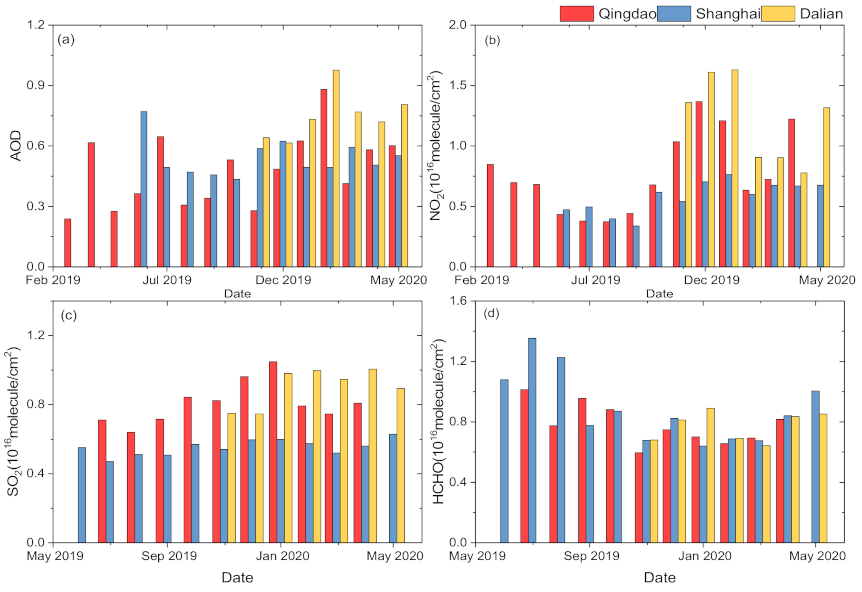
3.1. Seasonal Variation
3.2. Diurnal Variation
3.3. Weekly Variation
3.4. Vertical Distribution
3.5. Pollution Transport between Inland and Sea
3.6. Analysis of a Pollution Process
4. Discussion
5. Conclusions
Supplementary Materials
Author Contributions
Funding
Data Availability Statement
Conflicts of Interest
References
- Charlson, R.J.; Schwartz, S.E.; Hales, J.M.; Cess, R.D.; Coakley, J.A.; Hansen, J.E.; Hofmann, D.J. Climate forcing by anthropogenic aerosols. Science 1992, 255, 423–430. [Google Scholar] [CrossRef]
- Bouwman, A.F.; Boumans, L.J.M.; Batjes, N.H. Emissions of N2O and NO from fertilized fields: Summary of available measurement data. Glob. Biogeochem. Cycles 2002, 16, 6-1–6-13. [Google Scholar] [CrossRef]
- Longo, B.M.; Yang, W.; Green, J.B.; Crosby, F.L.; Crosby, V.L. Acute health effects associated with exposure to volcanic air pollution (vog) from increased activity at Kilauea Volcano in 2008. J. Toxicol. Environ. Health Part A 2010, 73, 1370–1381. [Google Scholar] [CrossRef] [PubMed]
- Heckel, A.; Richter, A.; Tarsu, T.; Wittrock, F.; Hak, C.; Pundt, I.; Junkermann, W.; Burrows, J.P. MAX-DOAS measurements of formaldehyde in the Po-Valley. Atmos. Chem. Phys. Discuss. 2005, 5, 909–918. [Google Scholar] [CrossRef]
- Hönninger, G.; Von Friedeburg, C.; Platt, U. Multi axis differential optical absorption spectroscopy (MAX-DOAS). Atmos. Chem. Phys. Discuss. 2004, 4, 231–254. [Google Scholar] [CrossRef]
- Wu, J.; Li, G.; Cao, J.; Bei, N.; Wang, Y.; Feng, T.; Huang, R.; Liu, S.; Zhang, Q.; Tie, X. Contributions of trans-boundary transport to summertime air quality in Beijing, China. Atmos. Chem. Phys. Discuss. 2017, 17, 2035–2051. [Google Scholar] [CrossRef]
- Wang, S.; Cuevas, C.A.; Frieß, U.; Saiz-Lopez, A. MAX-DOAS retrieval of aerosol extinction properties in Madrid, Spain. Atmos. Meas. Tech. 2016, 9, 5089–5101. [Google Scholar] [CrossRef]
- Wagner, T.; Beirle, S.; Remmers, J.; Shaiganfar, R.; Wang, Y. Absolute calibration of the colour index and O4 absorption derived from Multi AXis (MAX-)DOAS measurements and their application to a standardised cloud classification algorithm. Atmos. Meas. Tech. 2016, 9, 4803–4823. [Google Scholar] [CrossRef]
- Kassianov, E.I.; Chong, J.; Comeron, A.; Shin, D.H.; Kim, K.C.; Picard, R.H.; Schäfer, K.; Lee, K.-H.; Shin, S.; Noh, Y.M.; et al. Atmospheric aerosol characterization combining multi-wavelength Raman lidar and MAX-DOAS meas-urements in Gwanjgu. Remote Sens. Clouds Atoms. XVI 2011, 8177, 817706. [Google Scholar]
- Wagner, T.; Dix, B.; Friedeburg, C.V.; Frieß, U.; Sanghavi, S.; Sinreich, R.; Platt, U. MAX-DOAS O4 measurements: A new technique to derive information on atmospheric aerosols-principles and information content. J. Geophys. Res. Space Phys. 2004, 109, 205–223. [Google Scholar] [CrossRef]
- Xing, C.Z.; Liu, C.; Hu, Q.H.; Fu, Q.Y.; Lin, H.; Wang, S.T.; Su, W.J.; Wang, W.W.; Javed, Z.; Liu, J.G. Identifying the winter-time sources of volatile organic compounds (VOCs) from MAX-DOAS measured formaldehyde and glyoxal in Chongqing, southwest China. Sci. Total Environ. 2020, 715, 136258. [Google Scholar] [CrossRef]
- Hendrick, F.; Müller, J.-F.; Clémer, K.; Wang, P.; De Mazière, M.; Fayt, C.; Gielen, C.; Hermans, C.; Ma, J.Z.; Pinardi, G.; et al. Four years of ground-based MAX-DOAS observations of HONO and NO2 in the Beijing area. Atmos. Chem. Phys. Discuss. 2014, 14, 765–781. [Google Scholar] [CrossRef]
- Ma, J.; Dörner, S.; Donner, S.; Jin, J.; Cheng, S.; Guo, J.; Zhang, Z.; Wang, J.; Liu, P.; Zhang, G.; et al. MAX-DOAS measurements of NO2, SO2, HCHO, and BrO at the Mt. Waliguan WMO GAW global baseline station in the Tibetan Plateau. Atmos. Chem. Phys. Discuss. 2020, 20, 6973–6990. [Google Scholar] [CrossRef]
- Hong, Q.Q.; Liu, C.; Hu, Q.H.; Xing, C.Z.; Tan, W.; Liu, H.R.; Huang, Y.; Zhu, Y.; Zhang, J.S.; Geng, T.Z.; et al. Evolution of the vertical structure of air pollutants during winter heavy pollution episodes: The role of regional transport and poten-tial sources. Atmos. Res. 2019, 228, 206–222. [Google Scholar] [CrossRef]
- Mei, L.; Kong, Z.; Ma, T. Dual-wavelength Mie-scattering Scheimpflug lidar system developed for the studies of the aerosol extinction coefficient and the Ångström exponent. Opt. Express 2018, 26, 31942–31956. [Google Scholar] [CrossRef] [PubMed]
- Zhao, H.; Che, H.; Wang, Y.; Wang, H.; Ma, Y.; Wang, Y.; Zhang, X. Investigation of the optical properties of aerosols over the coastal region at Dalian, Northeast China. Atmosphere 2016, 7, 103. [Google Scholar] [CrossRef]
- Zhang, G.; Gao, Y.; Cai, W.; Leung, L.R.; Wang, S.; Zhao, B.; Wang, M.; Shan, H.; Yao, X.; Gao, H. Seesaw haze pollution in North China modulated by the sub-seasonal variability of atmospheric circulation. Atmos. Chem. Phys. Discuss. 2019, 19, 565–576. [Google Scholar] [CrossRef]
- Gao, Y.; Shan, H.; Zhang, S.; Sheng, L.; Li, J.; Zhang, J.; Ma, M.; Meng, H.; Luo, K.; Gao, H.; et al. Characteristics and sources of PM2.5 with focus on two severe pollution events in a coastal city of Qingdao, China. Chemosphere 2020, 247, 125861. [Google Scholar] [CrossRef]
- Wu, R.; Zhou, X.; Wang, L.; Wang, Z.; Zhou, Y.; Zhang, J.; Wang, W. PM2.5 characteristics in Qingdao and across coastal cities in China. Atmosphere 2017, 8, 77. [Google Scholar] [CrossRef]
- Luo, Y.H.; Dou, K.; Fan, G.Q.; Huang, S.; Si, F.Q.; Zhou, H.J.; Wang, Y.J.; Pei, C.L.; Tang, F.Y.; Yang, D.S.; et al. Vertical distributions of tropospheric formaldehyde, nitrogen dioxide, ozone and aerosol in south-ern China by ground-based MAX-DOAS and LIDAR measurements during PRIDE-GBA 2018 campaign. Atmos. Environ. 2020, 226, 117384. [Google Scholar] [CrossRef]
- Zhang, C.; Zou, Z.; Chang, Y.; Zhang, Y.; Wang, X.; Yang, X. Source assessment of atmospheric fine particulate matter in a Chinese megacity: Insights from long-term, high-time resolution chemical composition measurements from Shanghai flagship monitoring supersite. Chemosphere 2020, 251, 126598. [Google Scholar] [CrossRef] [PubMed]
- Xing, C.; Liu, C.; Wang, S.; Chan, K.L.; Gao, Y.; Huang, X.; Su, W.; Zhang, C.; Dong, Y.; Fan, G.; et al. Observations of the vertical distributions of summertime atmospheric pollutants and the corresponding ozone production in Shanghai, China. Atmos. Chem. Phys. Discuss. 2017, 17, 14275–14289. [Google Scholar] [CrossRef]
- Frieß, U.; Beirle, S.; Bonilla, L.A.; Bösch, T.; Friedrich, M.M.; Hendrick, F.; Piters, A.; Richter, A.; Van Roozendael, M.; Rozanov, V.V.; et al. Intercomparison of MAX-DOAS vertical profile retrieval algorithms: Studies using synthetic data. Atmos. Meas. Tech. 2019, 12, 2155–2181. [Google Scholar] [CrossRef]
- Peters, E.; Ostendorf, M.; Bösch, T.; Seyler, A.; Schönhardt, A.; Schreier, S.F.; Henzing, J.S.; Wittrock, F.; Richter, A.; Vrekous-sis, M.; et al. Full-azimuthal imaging-DOAS observations of NO2 and O4 during CINDI-2. Atmos. Meas. Tech. 2019, 12, 4171–4190. [Google Scholar] [CrossRef]
- Wan, X.; Chen, J.; Tian, F.; Sun, W.; Yang, F.; Saiki, K. Source apportionment of PAHs in atmospheric particulates of Dalian: Factor analysis with nonnegative constraints and emission inventory analysis. Atmos. Environ. 2006, 40, 6666–6675. [Google Scholar] [CrossRef]
- Danckaert, T.; Fayt, C.; Van Roozendael, M.; De Smedt, I.; Letocart, V.; Merlaud, A.; Pinardi, G. QDOAS Software User Manual Version 3.2; BIRA-IASB: Brussels, Belgium, 2017. [Google Scholar]
- Vandaele, A.C.; Hermans, C.; Simon, P.C.; Carleer, M.; Colin, R.; Fally, S.; Merienne, M.F.; Jenouvrier, A.; Coquart, B. Measurements of the NO2 absorption cross-section from 42,000 cm−1 to 10,000 cm−1 (238–1000 nm) at 220 K and 294 K. J. Quant. Spectrosc. Radiat. Transf. 1998, 59, 171–184. [Google Scholar] [CrossRef]
- Bogumil, K.; Orphal, J.; Homann, T.; Voigt, S.; Spietz, P.; Fleischmann, O.; Vogel, A.; Hartmann, M.; Kromminga, H.; Bovensmann, H.; et al. Measurements of molecular absorption spectra with the SCIAMACHY pre-flight model: Instrument characterization and reference data for atmospheric remote-sensing in the 230–2380 nm region. J. Photochem. Photobiol. A Chem. 2003, 157, 167–184. [Google Scholar] [CrossRef]
- Thalman, R.; Volkamer, R. Temperature dependent absorption cross-sections of O2–O2 collision pairs between 340 and 630 nm and at atmospherically relevant pressure. Phys. Chem. Chem. Phys. 2013, 15, 15371–15381. [Google Scholar] [CrossRef]
- Meller, R.; Moortgat, G.K. Temperature dependence of the absorption cross sections of formaldehyde between 223 and 323 K in the wavelength range 225-375 nm. J. Geophys. Res. Space Phys. 2000, 105, 7089–7101. [Google Scholar] [CrossRef]
- Fleischmann, O.C.; Hartmann, M.; Burrows, J.P.; Orphal, J. New ultraviolet absorption cross-sections of BrO at atmospheric temperatures measured by time-windowing Fourier transform spectroscopy. J. Photochem. Photobiol. A Chem. 2004, 168, 117–132. [Google Scholar] [CrossRef]
- Wang, Y.; Li, A.; Xie, P.H.; Chen, H.; Xu, J.; Wu, F.C.; Liu, J.G.; Liu, W.Q. Retrieving vertical profile of aerosol extinction by multi-axis differential optical absorption spectroscopy. Acta Phys. Sin. 2013, 62, 12. [Google Scholar]
- Wang, Y.; Li, A.; Xie, P.H.; Chen, H.; Mou, F.S.; Xu, J.; Wu, F.C.; Zeng, Y.; Liu, J.G.; Liu, W.Q. Measuring tropospheric verti-cal distribution and vertical column density of NO2 by multi-axis differential optical absorption spectroscopy. Acta Phys. Sin. 2013, 62, 14. [Google Scholar]
- Wang, Y.; Beirle, S.; Hendrick, F.; Hilboll, A.; Jin, J.; Kyuberis, A.A.; Lampel, J.; Li, A.; Luo, Y.; Lodi, L.; et al. MAX-DOAS measurements of HONO slant column densities during the MAD-CAT campaign: Inter-comparison, sensitivity studies on spectral analysis settings, and error budget. Atmos. Meas. Tech. 2017, 10, 3719–3742. [Google Scholar] [CrossRef]
- Meng, L.; Wang, G.; Augustin, P.; Fourmentin, M.; Gou, Q.; Fertein, E.; Nguyen Ba, T.; Coeur, C.; Tomas, A.; Chen, W. Inco-herent broadband cavity enhanced absorption spectroscopy (IBBCEAS)-based strategy for direct measurement of aerosol extinction in a lidar blind zone. Opt. Lett. 2020, 45, 1611–1614. [Google Scholar] [CrossRef]
- Wang, Y.; Lampel, J.; Xie, P.; Beirle, S.; Li, A.; Wu, D.; Wagner, T. Ground-based MAX-DOAS observations of tropospheric aerosols, NO2, SO2 and HCHO in Wuxi, China, from 2011 to 2014. Atmos. Chem. Phys. Discuss. 2017, 17, 2189–2215. [Google Scholar] [CrossRef]
- Lv, L.; Liu, W.; Zhang, T.; Chen, Z.; Dong, Y.; Fan, G.; Xiang, Y.; Yao, Y.; Yang, N.; Chu, B.; et al. Observations of particle extinction, PM2.5 mass concentration profile and flux in north China based on mobile lidar technique. Atmos. Environ. 2017, 164, 360–369. [Google Scholar] [CrossRef]
- Tao, Z.; Wang, Z.; Yang, S.; Shan, H.; Ma, X.; Zhang, H.; Zhao, S.; Liu, D.; Xie, C.; Wang, Y. Profiling the PM2.5 mass concentration vertical distribution in the boundary layer. Atmos. Meas. Tech. 2016, 9, 1369–1376. [Google Scholar] [CrossRef]
- Mie, G. Articles on the optical characteristics of turbid tubes, especially colloidal metal solutions. Ann. Phys. 1908, 25, 377–445. [Google Scholar] [CrossRef]
- Li, Q.; Li, C.; Wang, Y.; Lin, C.; Yang, D.; Li, Y. Retrieval on mass concentration of urban surface suspended paticulate matter with LIDAR and satellite remotesensing. Acta Sci. Nat. Univ. Pekin. 2013, 49, 673–682. [Google Scholar]
- Wu, Y.; Wang, X.; Yan, P.; Zhang, L.; Tao, J.; Liu, X.; Tian, P.; Han, Z.; Zhang, R. Investigation of hygroscopic growth effect on aerosol scattering coefficient at a rural site in the southern North China Plain. Sci. Total Environ. 2017, 599–600, 76–84. [Google Scholar] [CrossRef] [PubMed]
- Ma, Y.; Wang, Z.; Tan, Y.; Xu, S.; Kong, S.; Wu, G.; Wu, X.; Li, H. Comparison of inorganic chemical compositions of at-mospheric TSP, PM10 and PM2.5 in northern and southern Chinese coastal cities. J. Environ. Sci. 2017, 55, 339–353. [Google Scholar] [CrossRef] [PubMed]
- Li, L.; Wang, W.; Feng, J.; Zhang, D.; Li, H.; Gu, Z.; Wang, B.; Sheng, G.; Fu, J. Composition, source, mass closure of PM2.5 aerosols for four forests in eastern China. J. Environ. Sci. 2010, 22, 405–412. [Google Scholar] [CrossRef]
- Liu, Y.S.; Tang, G.Q.; Zhou, L.B.; Hu, B.; Liu, B.X.; Li, Y.T.; Liu, S.; Wang, Y.S. Mixing layer transport flux of particulate mat-ter in Beijing, China. Atmos. Chem. Phys. 2019, 19, 9531–9540. [Google Scholar] [CrossRef]
- Hersbach, H.; Bell, B.; Berrisford, P.; Hirahara, S.; Horányi, A.; Muñoz-Sabater, J.; Nicolas, J.; Peubey, C.; Radu, R.; Schepers, D.; et al. The ERA5 global reanalysis. Q. J. R. Meteorol. Soc. 2020, 146, 1999–2049. [Google Scholar] [CrossRef]
- Beirle, S.; Borger, C.; Dörner, S.; Li, A.; Hu, Z.; Liu, F.; Wang, Y.; Wagner, T. Pinpointing nitrogen oxide emissions from space. Sci. Adv. 2019, 5, eaax9800. [Google Scholar] [CrossRef] [PubMed]
- Ma, J.Z.; Beirle, S.; Jin, J.L.; Shaiganfar, R.; Yan, P.; Wagner, T. Tropospheric NO2 vertical column densities over Beijing: Results of the first three years of ground-based MAX-DOAS measurements (2008–2011) and satellite validation (Volume 13, p. 1547, 2013). Atmos. Chem. Phys. 2013, 13, 5629. [Google Scholar] [CrossRef]
- De Smedt, I.; Stavrakou, T.; Hendrick, F.; Danckaert, T.; Vlemmix, T.; Pinardi, G.; Theys, N.; Lerot, C.; Gielen, C.; Vigouroux, C.; et al. Diurnal, seasonal and long-term variations of global formaldehyde columns inferred from combined OMI and GOME-2 observations. Atmos. Chem. Phys. Discuss. 2015, 15, 12519–12545. [Google Scholar] [CrossRef]
- Ling, Z.; Zhao, J.; Fan, S.; Wang, X. Sources of formaldehyde and their contributions to photochemical O3 formation at an urban site in the Pearl River Delta, southern China. Chemosphere. 2017, 168, 1293–1301. [Google Scholar] [CrossRef] [PubMed]
- Cheng, S.; Ma, J.; Cheng, W.; Yang, P.; Zhou, H.; Zhou, L. Tropospheric NO2 vertical column densities retrieved from ground-based MAX-DOAS measurements at Shangdianzi regional atmospheric background station in China. J. Environ. Sci. 2019, 80, 186–196. [Google Scholar] [CrossRef] [PubMed]
- Hong, Q.; Liu, C.; Chan, K.L.; Hu, Q.; Xie, Z.; Liu, H.; Si, F.; Liu, J. Ship-based MAX-DOAS measurements of tropospheric NO2, SO2, and HCHO distribution along the Yangtze River. Atmos. Chem. Phys. Discuss. 2018, 18, 5931–5951. [Google Scholar] [CrossRef]
- Blechschmidt, A.-M.; Arteta, J.; Coman, A.; Curier, L.; Eskes, H.; Foret, G.; Gielen, C.; Hendrick, F.; Marécal, V.; Meleux, F.; et al. Comparison of tropospheric NO2 columns from MAX-DOAS retrievals and regional air quality model simulations. Atmos. Chem. Phys. Discuss. 2020, 20, 2795–2823. [Google Scholar] [CrossRef]
- Beirle, S.; Platt, U.; Wenig, M.; Wagner, T. Weekly cycle of NO2 by GOME measurements: A signature of anthropogenic sources. Atmos. Chem. Phys. Discuss. 2003, 3, 2225–2232. [Google Scholar] [CrossRef]
- Javed, Z.; Liu, C.; Khokhar, M.F.; Tan, W.; Liu, H.; Xing, C.; Ji, X.; Tanvir, A.; Hong, Q.; Sandhu, O.; et al. Ground-based MAX-DOAS observations of CHOCHO and HCHO in Beijing and Baoding, China. Remote Sens. 2019, 11, 1524. [Google Scholar] [CrossRef]
- Xu, L.; Batterman, S.; Chen, F.; Li, J.; Zhong, X.; Feng, Y.; Rao, Q.; Chen, F. Spatiotemporal characteristics of PM2.5 and PM10 at urban and corresponding background sites in 23 cities in China. Sci. Total Environ. 2017, 2074–2084. [Google Scholar] [CrossRef]
- Geng, F.; Zhang, Q.; Tie, X.; Huang, M.; Ma, X.; Deng, Z.; Yu, Q.; Quan, J.; Zhao, C. Aircraft measurements of O3, NOx, CO, VOCs, and SO2 in the Yangtze River Delta region. Atmos. Environ. 2009, 43, 584–593. [Google Scholar] [CrossRef]
- Luo, L.; Zhu, R.-G.; Song, C.-B.; Peng, J.-F.; Guo, W.; Liu, Y.; Zheng, N.; Xiao, H.; Xiao, H.-Y. Changes in nitrate accumulation mechanisms as PM2.5 levels increase on the North China Plain: A perspective from the dual isotopic compositions of nitrate. Chemosphere 2021, 263, 127915. [Google Scholar] [CrossRef] [PubMed]
- Zhao, H.; Che, H.; Zhang, L.; Gui, K.; Ma, Y.; Wang, Y.; Wang, H.; Zheng, Y.; Zhang, X. How aerosol transport from the North China plain contributes to air quality in northeast China. Sci. Total Environ. 2020, 738, 139555. [Google Scholar] [CrossRef]
- Chen, H.; Shi, G.; Uchiyama, A.; Yamazaki, A.; Goloub, P.; Zhang, X. Intercomparison between aerosol optical properties by a PREDE skyradiometer and CIMEL sunphotometer over Beijing, China. Atmos. Chem. Phys. Discuss. 2008, 8, 3199–3214. [Google Scholar] [CrossRef]
- Renuka, K.; Gadhavi, H.; Jayaraman, A.; Rao, S.V.B.; Lal, S. Study of mixing ratios of SO2 in a tropical rural environment in south India. J. Earth Syst. Sci. 2020, 129, 1–14. [Google Scholar] [CrossRef]
- Tian, X.; Xie, P.; Xu, J.; Wang, Y.; Li, A.; Wu, F.; Hu, Z.; Liu, C.; Zhang, Q. Ground-based MAX-DOAS observations of tropo-spheric formaldehyde VCDs and comparisons with the CAMS model at a rural site near Beijing during APEC 2014. Atmos. Chem. Phys. 2019, 19, 3375–3393. [Google Scholar] [CrossRef]

















| City | Sites Location | Sites Type | Altitude | Spectral Band | Observation Time |
|---|---|---|---|---|---|
| Dalian | Dalian Maritime University (38.85°N, 121.36°E) | Urban | 60 m | 293–459 nm | November 2019 to May 2020 |
| Qingdao | Aoshanwei (36.35°N, 120.69°E) | Suburbs | 50 m | 285–453 nm | March 2019 to April 2020 |
| Shanghai | Dongtan Environmental Protection Zone (31.60°N, 121.80°E) | Environmental background station | 5 m | 302–467 nm | May 2019 to May 2020 |
| Parameter | Data Source | Species | |||
|---|---|---|---|---|---|
| O4 | NO2 | SO2 | HCHO | ||
| Wavelengh | 337–370 nm | 337–370 nm | 308–325 nm | 336.5–359 nm | |
| NO2 | 220 K, 294 K, Vandaele et al. [27] | √ | √ | √ (only 294 K) | √ (only 294 K) |
| O3 | 223 and 243 K, Bogumil, et al. [28] | √ | √ | √ (only 223 K) | √ |
| O4 | 293 K, Thalman and Volkamer [29] | √ | √ | √ | √ |
| HCHO | 293 K, Meller and Moortgat [30] | √ | √ | √ | √ |
| BrO | 223 K, Fleischmann, et al. [31] | √ | √ | √ | √ |
| SO2 | 293 K, Bogumil et al. [28] | √ | √ | ||
| Ring | calculated with DOASIS | √ | √ | √ | √ |
| Polynomial degree | 5 | 5 | 5 | 5 | |
| City | RH | Conversion Formula | R |
|---|---|---|---|
| Qingdao | RH < 70% | y = (137.55 ± 5.23)x + (4 ± 1) | 0.86 |
| y = (149.80 ± 5.97)x^(1.42 ± 0.09) + (15 ± 2) | 0.86 | ||
| RH < 80% | y = (137.69 ± 5.62)x + (4 ± 2) | 0.78 | |
| y = (136.85 ± 5.59)x^(1.13 ± 0.11) + (9 ± 4) | 0.78 | ||
| RH < 100% | y = (140.47 ± 5.04)x + (3 ± 2) | 0.79 | |
| y = (140.39 ± 5.11)x^(1.148 ± 0.10) + (9 ± 4) | 0.80 | ||
| Dalian | RH < 50% | y = (81.82 ± 2.59)x + (4 ± 1) | 0.83 |
| y = (82.99 ± 2.79)x^(1.07 ± 0.06) + (5 ± 1) | 0.83 | ||
| 50% < RH < 70% | y = (63.00 ± 2.54)x + (9 ± 1) | 0.78 | |
| y = (59.14 ± 2.66)x^(1.27 ± 0.09) + (13 ± 2) | 0.79 | ||
| 70% < RH < 80% | y = (56.77 ± 4.25)x + (14 ± 3) | 0.73 | |
| y = (58.07 ± 7.04)x^(0.96 ± 0.16) + (13 ± 5) | 0.73 | ||
| 80% < RH < 100% | y = (47.88 ± 2.99)x + (11 ± 3) | 0.71 | |
| y = (36.73 ± 5.80)x^(1.30 ± 0.17) + (19 ± 4) | 0.72 | ||
| Shanghai | 0 < RH < 50% | y = (71.81 ± 2.81)x + (11 ± 1) | 0.81 |
| y = (70.78 ± 3.06)x^(1.07 ± 0.09) + (12 ± 2) | 0.81 | ||
| 50% < RH < 100% | y = (64.88 ± 2.48)x + (9 ± 1) | 0.71 | |
| y = (57.84 ± 2.32)x^(1.86 ± 0.12) + (20 ± 1) | 0.74 |
Publisher’s Note: MDPI stays neutral with regard to jurisdictional claims in published maps and institutional affiliations. |
© 2021 by the authors. Licensee MDPI, Basel, Switzerland. This article is an open access article distributed under the terms and conditions of the Creative Commons Attribution (CC BY) license (http://creativecommons.org/licenses/by/4.0/).
Share and Cite
Li, X.; Xie, P.; Li, A.; Xu, J.; Hu, Z.; Ren, H.; Zhong, H.; Ren, B.; Tian, X.; Huang, Y.; et al. Variation Characteristics and Transportation of Aerosol, NO2, SO2, and HCHO in Coastal Cities of Eastern China: Dalian, Qingdao, and Shanghai. Remote Sens. 2021, 13, 892. https://doi.org/10.3390/rs13050892
Li X, Xie P, Li A, Xu J, Hu Z, Ren H, Zhong H, Ren B, Tian X, Huang Y, et al. Variation Characteristics and Transportation of Aerosol, NO2, SO2, and HCHO in Coastal Cities of Eastern China: Dalian, Qingdao, and Shanghai. Remote Sensing. 2021; 13(5):892. https://doi.org/10.3390/rs13050892
Chicago/Turabian StyleLi, Xiaomei, Pinhua Xie, Ang Li, Jin Xu, Zhaokun Hu, Hongmei Ren, Hongyan Zhong, Bo Ren, Xin Tian, Yeyuan Huang, and et al. 2021. "Variation Characteristics and Transportation of Aerosol, NO2, SO2, and HCHO in Coastal Cities of Eastern China: Dalian, Qingdao, and Shanghai" Remote Sensing 13, no. 5: 892. https://doi.org/10.3390/rs13050892
APA StyleLi, X., Xie, P., Li, A., Xu, J., Hu, Z., Ren, H., Zhong, H., Ren, B., Tian, X., Huang, Y., Chai, W., Wang, S., & Li, Q. (2021). Variation Characteristics and Transportation of Aerosol, NO2, SO2, and HCHO in Coastal Cities of Eastern China: Dalian, Qingdao, and Shanghai. Remote Sensing, 13(5), 892. https://doi.org/10.3390/rs13050892
