Using Satellite Image Fusion to Evaluate the Impact of Land Use Changes on Ecosystem Services and Their Economic Values
Abstract
1. Introduction
2. Materials and Methods
2.1. Study Area
2.2. Data
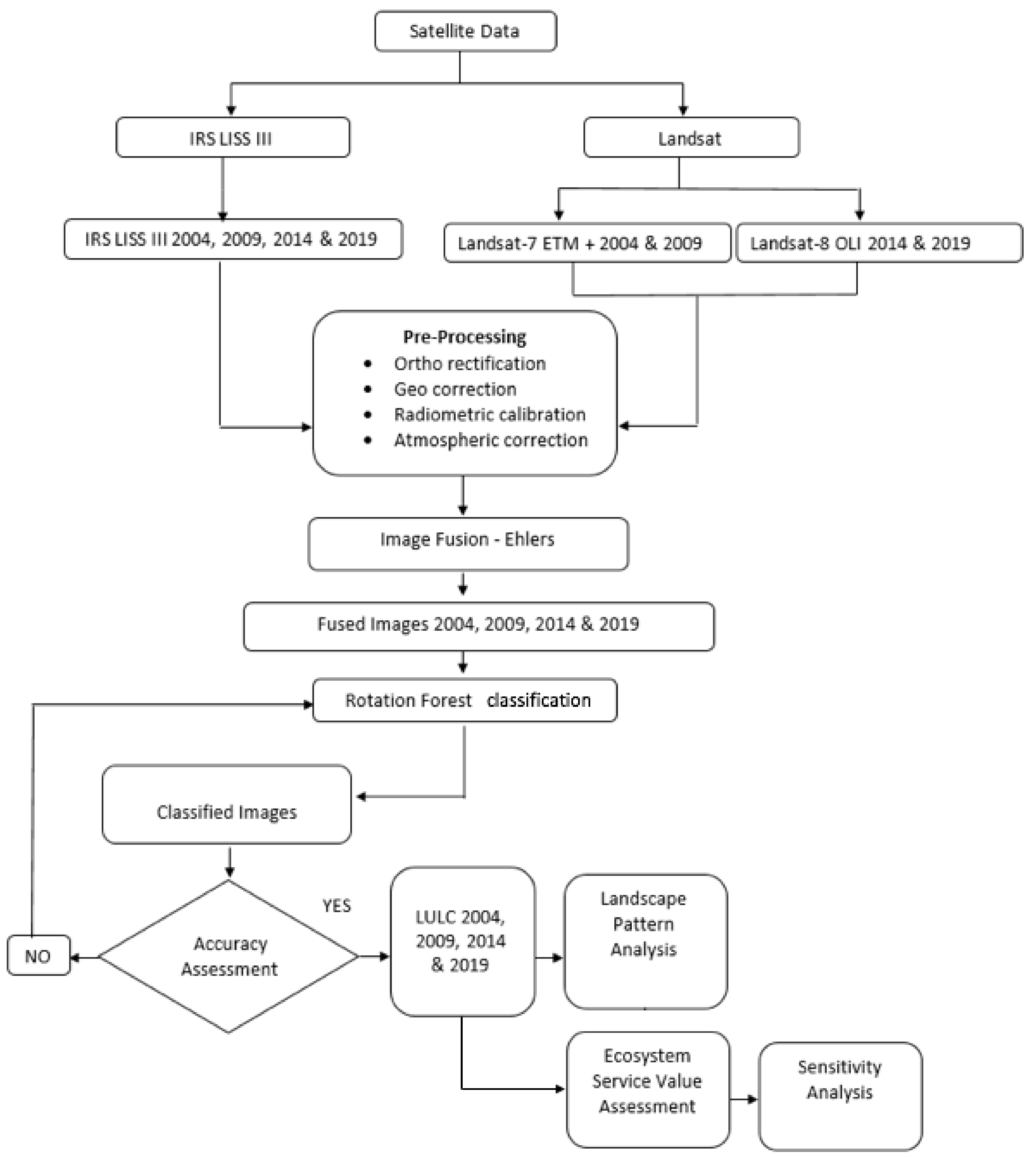
2.3. Research Design
2.4. Satellite Data Pre-Processing
2.5. Image Fusion
2.6. LULC Classification
2.7. Evaluation of Landscape Pattern
2.7.1. Selection of Landscape Metrics
2.7.2. Landuse Use Degree
2.8. Assessment of Ecosystem Services Values
2.9. Sensitivity Analysis
3. Results
3.1. Landscape Type Changes
3.2. Estimation of LULC Changes
3.3. Ecosystem Services Value
3.4. Changes in Individual Ecosystem Services Value
3.5. Sensitivity Analysis
4. Discussion
5. Conclusions
Author Contributions
Funding
Institutional Review Board Statement
Informed Consent Statement
Data Availability Statement
Acknowledgments
Conflicts of Interest
References
- Garcia-Gonzalo, J.; Bushenkov, V.; McDill, M.E.; Borges, J.G. A decision support system for assessing trade-offs between ecosystem management goals: An application in portugal. Forests 2015, 6, 65–87. [Google Scholar] [CrossRef]
- Jin, J.; Jiang, C.; Li, L. The economic valuation of cultivated land protection: A contingent valuation study in Wenling City, China. Landsc. Urban Plan. 2013, 119, 158–164. [Google Scholar]
- Schmiedel, U.; Linke, T.; Christiaan, R.; Falk, T.; Grongroft, A.; Haarmeyer, D.; Hanke, W.; Henstock, R.; Hoffman, T.; Kunz, N.; et al. Environmental and socio-economic patterns and processes in the Succulent Karoo—Frame conditions for the management of this biodiversity hotspot. Biodivers. S. Afr. Implic. Landuse Manag. 2010, 3, 109–150. [Google Scholar]
- Maloney, K.O.; Feminella, J.W.; Mitchell, R.M.; Miller, S.A.; Mulholland, P.J.; Houser, J.N. Landuse legacies and small streams: Identifying relationships between historical land use and contemporary stream conditions. J. N. Am. Benthol. Soc. 2008, 27, 280–294. [Google Scholar] [CrossRef]
- Sharp, R.; Tallis, H.T.; Ricketts, T.; Guerry, A.D.; Wood, S.A.; Chaplin-Kramer, R.; Nelson, E.; Ennaanay, D.; Wolny, S.; Olwero, N.; et al. InVEST User Guide. 2018. Available online: http://data.naturalcapitalproject.org/nightly-build/invest-users-guide/html/ (accessed on 9 May 2019).
- Zhao, J.; Liu, Q.; Lin, L.; Lv, H.; Wang, Y. Assessing the comprehensive restoration of an urban river: An integrated application of contingent valuation in Shanghai, China. Sci. Total Environ. 2013, 458–460, 517–526. [Google Scholar] [CrossRef] [PubMed]
- Tallis, H.; Goldman, R.; Uhl, M.; Brosi, B. Integrating conservation and development in the field: Implementing ecosystem service projects. Front. Ecol. Environ. 2009, 7, 12–20. [Google Scholar] [CrossRef]
- Xu, C.; Pu, L.; Zhu, M.; Li, J.; Chen, X.; Wang, X.; Xie, X. Ecological security and ecosystem services in response to land use change in the coastal area of Jiangsu, China. Sustainability 2016, 8, 816. [Google Scholar] [CrossRef]
- Ninan, K.N.; Inoue, M. Valuing forest ecosystem services: What we know and what we don’t. Ecol. Econ. 2013, 93, 137–149. [Google Scholar] [CrossRef]
- Barral, M.P.; Rey Benayas, J.M.; Meli, P.; Maceira, N.O. Quantifying the impacts of ecological restoration on biodiversity and ecosystem services in agroecosystems: A global meta-analysis. Agric. Ecosyst. Environ. 2015, 202, 223–231. [Google Scholar] [CrossRef]
- Boyd, J.; Banzhaf, S. What are ecosystem services? The need for standardized environmental accounting units. Ecol. Econ. 2007, 63, 616–626. [Google Scholar] [CrossRef]
- Jat, M.K.; Garg, P.K.; Khare, D. Monitoring and modelling of urban sprawl using remote sensing and GIS techniques. Int. J. Appl. Earth Obs. Geoinf. 2008, 10, 26–43. [Google Scholar] [CrossRef]
- Tianhong, L.; Wenkai, L.; Zhenghan, Q. Variations in ecosystem service value in response to land use changes in Shenzhen. Ecol. Econ. 2010, 69, 1427–1435. [Google Scholar] [CrossRef]
- Gan, L.; Yu, J. Bioenergy transition in rural China: Policy options and co-benefits. Energy Policy 2008, 36, 531–540. [Google Scholar] [CrossRef]
- Zhang, Q.; Bilsborrow, R.E.; Song, C.; Tao, S.; Huang, Q. Determinants of out-migration in rural China: Effects of payments for ecosystem services. Popul. Environ. 2018, 40, 182–203. [Google Scholar] [CrossRef]
- Burgos, S.; Ear, S. China’s oil hunger in Angola: History and perspective. J. Contemp. China 2012, 21, 351–367. [Google Scholar] [CrossRef]
- Rao, Y.; Zhou, M.; Ou, G.; Dai, D.; Zhang, L.; Zhang, Z.; Nie, X.; Yang, C. Integrating ecosystem services value for sustainable land-use management in semi-arid region. J. Clean. Prod. 2018, 186, 662–672. [Google Scholar] [CrossRef]
- Fu, B.; Zhu, Y.; Wang, S. Earth surface processes and environmental sustainability in China: Preface. Earth Environ. Sci. Trans. R. Soc. Edinb. 2019, 109, 373–374. [Google Scholar] [CrossRef]
- Wang, J.; Peng, J.; Zhao, M.; Liu, Y.; Chen, Y. Significant trade-off for the impact of Grain-for-Green Programme on ecosystem services in North-western Yunnan, China. Sci. Total Environ. 2017, 574, 57–64. [Google Scholar] [CrossRef]
- Wang, X.; Zhang, X.; Feng, X.; Liu, S.; Yin, L.; Chen, Y. Trade-offs and Synergies of Ecosystem Services in Karst Area of China Driven by Grain-for-Green Program. Chin. Geogr. Sci. 2020, 30, 101–114. [Google Scholar] [CrossRef]
- Pei, S.; Zhang, C.; Liu, C.; Liu, X.; Xie, G. Forest ecological compensation standard based on spatial flowing of water services in the upper reaches of Miyun Reservoir, China. Ecosyst. Serv. 2019, 39, 100983. [Google Scholar] [CrossRef]
- Andersen, E. The farming system component of European agricultural landscapes. Eur. J. Agron. 2017, 82, 282–291. [Google Scholar] [CrossRef]
- Su, S.; Xiao, R.; Jiang, Z.; Zhang, Y. Characterizing landscape pattern and ecosystem service value changes for urbanization impacts at an eco-regional scale. Appl. Geogr. 2012, 34, 295–305. [Google Scholar] [CrossRef]
- Padmanaban, R.; Bhowmik, A.K.; Cabral, P. Satellite image fusion to detect changing surface permeability and emerging urban heat islands in a fast-growing city. PLoS ONE 2019, 14, e0208949. [Google Scholar] [CrossRef]
- Verburg, P.H.; Kok, K.; Pontius, R.G.; Veldkamp, A. Modeling Land-Use and Land-Cover Change; Springer: Berlin/Heidelberg, Germany, 2006; pp. 117–135. [Google Scholar]
- Douglas, I. Ecosystems and human well-being. In Encyclopedia of the Anthropocene; Oxford University, Press: New York, NY, USA, 2017; Volumes 1–5, pp. 185–197. [Google Scholar]
- Wu, Y.; Ke, Y. Landslide susceptibility zonation using GIS and evidential belief function model. Arab. J. Geosci. 2016, 9, 1–12. [Google Scholar] [CrossRef]
- Mo, H.W.; Quan, B.; Yuan, K.G.; Xie, J.N.; Xiang, Y.B. The temporal-spatial dynamic of land ecosystem services value in Guanzhong, Shaanxi. Agric. Res. Arid Areas 2017, 35, 167–172. [Google Scholar]
- Yang, X.; Wang, F.; Meng, L.; Zhang, W.; Fan, L.; Geissen, V.; Ritsema, C.J. Farmer and retailer knowledge and awareness of the risks from pesticide use: A case study in the Wei River catchment, China. Sci. Total Environ. 2014, 497–498, 172–179. [Google Scholar] [CrossRef] [PubMed]
- Hao, C.F.; He, L.M.; Niu, C.W.; Jia, Y.W. A review of environmental flow assessment: Methodologies and application in the Qianhe River. In IOP Conference Series: Earth and Environmental Science; IOP Publishing: Bristol, UK, 2016; Volume 39, p. 012067. [Google Scholar]
- Markham, B.L.; Storey, J.C.; Williams, D.L.; Irons, J.R. Landsat sensor performance: History and current status. IEEE Trans. Geosci. Remote Sens. 2004, 42, 2691–2694. [Google Scholar] [CrossRef]
- Hyndman, R.J.; Khandakar, Y. Automatic time series forecasting: The forecast package for R. J. Stat. Softw. 2007, 6, 07. [Google Scholar]
- Barsi, J.A.; Markham, B.L.; Helder, D.L.; Chander, G. Radiometric calibration status of Landsat-7 and Landsat-5. In Sensors, Systems, and Next-Generation Satellites XI, International Society for Optics and Photonics; International Society for Optics and Photonics: Bellingham, WA, USA, 2007; Volume 6744, p. 67441F. [Google Scholar]
- Huanfeng, S.; Xinghua, L.; Qing, C.; Chao, Z.; Gang, Y.; Huifang, L.; Liangpei, Z. Missing Information Reconstruction of Remote Sensing Data: A Technical Review. IEEE Geosci. Remote Sens. Mag. 2015, 3, 61–85. [Google Scholar]
- Gao, J. A hybrid method toward accurate mapping of mangroves in a marginal habitat from SPOT multispectral data. Int. J. Remote Sens. 1998, 19, 1887–1899. [Google Scholar] [CrossRef]
- Padmanaban, R.; Bhowmik, A.K.; Cabral, P. A remote sensing approach to environmental monitoring in a reclaimed mine area. ISPRS Int. J. Geo-Inf. 2017, 6, 401. [Google Scholar] [CrossRef]
- Brunn, A.; Fischer, C.; Dittmann, C.; Richter, R. Quality Assessment, Atmospheric and Geometric Correction of airborne hyperspectral HyMap Data. Geotech. Eng. 2003, 13–16. [Google Scholar]
- Andrefouet, S.; Bindschadler, R.; Brown de Colstoun, E. Preliminary Assessment of the Value of Landsat 7 ETM + Data following Scan Line Corrector Malfunction Contributors; US Geological Survey, EROS Data Center: Sioux Falls, SD, USA, 2003. [Google Scholar]
- Svetnik, V.; Liaw, A.; Tong, C.; Christopher Culberson, J.; Sheridan, R.P.; Feuston, B.P. Random Forest: A Classification and Regression Tool for Compound Classification and QSAR Modeling. J. Chem. Inf. Comput. Sci. 2003, 43, 1947–1958. [Google Scholar] [CrossRef] [PubMed]
- Charrua, A.B.; Padmanaban, R.; Cabral, P.; Bandeira, S.; Romeiras, M.M. Impacts of the Tropical Cyclone Idai in Mozambique: A Multi-Temporal Landsat Satellite Imagery Analysis. Remote Sens. 2021, 13, 201. [Google Scholar] [CrossRef]
- Tippmann, S. Programming tools: Adventures with R. Nature 2015, 517, 109. [Google Scholar] [CrossRef]
- Klonus, S.; Ehlers, M. Image Fusion Using the Ehlers Spectral Characteristics Preservation Algorithm. GIScience Remote Sens. 2007, 44, 93–116. [Google Scholar] [CrossRef]
- Simone, G.; Farina, A.; Morabito, F.C.; Serpico, S.B.; Bruzzone, L. Image fusion techniques for remote sensing applications. Inf. Fusion 2002, 3, 3–15. [Google Scholar] [CrossRef]
- Sanli, F.B.; Abdikan, S.; Esetlili, M.T.; Sunar, F. Evaluation of image fusion methods using PALSAR, RADARSAT-1 and SPOT images for land use/land cover classification. J. Indian Soc. Remote Sens. 2017, 45, 591–601. [Google Scholar] [CrossRef]
- Feng, R.; Du, Q.; Li, X.; Shen, H. Robust registration for remote sensing images by combining and localizing feature-and area-based methods. ISPRS J. Photogramm. Remote Sens. 2019, 151, 15–26. [Google Scholar] [CrossRef]
- Guo, Q.; Ehlers, M.; Wang, Q.; Pohl, C.; Hornberg, S.; Li, A. Ehlers pan-sharpening performance enhancement using HCS transform for n-band data sets. Int. J. Remote Sens. 2017, 38, 4974–5002. [Google Scholar] [CrossRef]
- Ye, F.; Xiao, H.; Zhao, X.; Dong, M.; Luo, W.; Min, W. Remote Sensing Image Retrieval Using Convolutional Neural Network Features and Weighted Distance. IEEE Geosci. Remote Sens. Lett. 2018, 15, 1535–1539. [Google Scholar] [CrossRef]
- Javan, F.D.; Samadzadegan, F.; Mehravar, S.; Toosi, A.; Khatami, R.; Stein, A. A review of image fusion techniques for pan-sharpening of high-resolution satellite imagery. ISPRS J. Photogramm. Remote Sens. 2021, 171, 101–117. [Google Scholar] [CrossRef]
- Rodriguez, J.J.; Kuncheva, L.I.; Alonso, C.J. Rotation forest: A new classifier ensemble method. IEEE Trans. Pattern Anal. Mach. Intell. 2006, 28, 1619–1630. [Google Scholar] [CrossRef] [PubMed]
- Mutanga, O.; Kumar, L. Google earth engine applications. Remote Sens. 2019, 11, 591. [Google Scholar] [CrossRef]
- Silván-Cárdenas, J.L.; Wang, L. Sub-pixel confusion-uncertainty matrix for assessing soft classifications. Remote Sens. Environ. 2008, 112, 1081–1095. [Google Scholar] [CrossRef]
- Hayes, M.M.; Miller, S.N.; Murphy, M.A. High-resolution landcover classification using random forest. Remote Sens. Lett. 2014, 5, 112–121. [Google Scholar] [CrossRef]
- Rajchandar, P.; Bhowmik, A.K.; Cabral, P.; Zamyatin, A.; Almegdadi, O.; Wang, S. Modelling Urban Sprawl Using Remotely Sensed Data: A Case Study of Chennai City, Tamilnadu. Entropy 2017, 19, 163. [Google Scholar]
- O’Neill, R.V.; Riitters, K.H.; Wickham, J.D.; Jones, K.B. Landscape pattern metrics and regional assessment. Ecosyst. Health 1999, 5, 225–233. [Google Scholar] [CrossRef]
- Uuemaa, E.; Antrop, M.; Roosaare, J.; Marja, R.; Mander, U. Landscape Metrics and Indices: An Overview of Their Use in Landscape Research. Living Rev. Landsc. Res. 2009, 3, 5–23. [Google Scholar] [CrossRef]
- Wu, J.; Shen, W.; Sun, W.; Tueller4, P.T. Empirical patterns of the effects of changing scale on landscape metrics. Landsc. Ecol. 2002, 17, 761–782. [Google Scholar] [CrossRef]
- Feng, Y.; Chen, S.; Tong, X.; Lei, Z.; Gao, C.; Wang, J. Modeling changes in China’s 2000–2030 carbon stock caused by land use change. J. Clean. Prod. 2020, 252, 119659. [Google Scholar] [CrossRef]
- Costanza, R.; D’Arge, R.; De Groot, R.; Farber, S.; Grasso, M.; Hannon, B.; Limburg, K.; Naeem, S.; O’Neill, R.V.; Paruelo, J.; et al. The value of the world’s ecosystem services and natural capital. Nature 1997, 387, 253–260. [Google Scholar] [CrossRef]
- Zhang, P.; He, L.; Fan, X.; Huo, P.; Liu, Y.; Zhang, T.; Pan, Y.; Yu, Z. Ecosystem Service Value Assessment and Contribution Factor Analysis of Land Use Change in Miyun County, China. Sustainability 2015, 7, 7333–7356. [Google Scholar] [CrossRef]
- Sánchez-Canales, M.; Benito, A.L.; Passuello, A.; Terrado, M.; Ziv, G.; Acuña, V.; Schuhmacher, M.; Elorza, F.J. Sensitivity analysis of ecosystem service valuation in a Mediterranean watershed. Sci. Total Environ. 2012, 440, 140–153. [Google Scholar] [CrossRef]
- Hasan, S.; Shi, W.; Zhu, X. Impact of land use land cover changes on ecosystem service value—A case study of Guangdong, Hong Kong, and Macao in South China. PLoS ONE 2020, 15, e0231259. [Google Scholar] [CrossRef]
- Kreuter, U.P.; Harris, H.G.; Matlock, M.; Lacey, R.E. Change in ecosystem service values in the San Antonio area, Texas. Ecol. Econ. 2001, 39, 333–346. [Google Scholar] [CrossRef]
- Su, S.; Li, D.; Hu, Y.; Xiao, R.; Zhang, Y. Spatially non-stationary response of ecosystem service value changes to urbanization in Shanghai, China. Ecol. Indic. 2014, 45, 332–339. [Google Scholar] [CrossRef]
- Campos, F.S.; Lourenço-de-Moraes, R.; Ruas, D.S.; Mira-Mendes, C.V.; Franch, M.; Llorente, G.A.; Solé, M.; Cabral, P. Searching for Networks: Ecological Connectivity for Amphibians Under Climate Change. Environ. Manag. 2020, 65, 46–61. [Google Scholar] [CrossRef]
- Flasse, S.; Trigg, S.N.; Ceccato, P.; Perryman, A.; Hudak, A.T.; Thompson, M.; Brockett, B.; Drame, M.; Ntabeni, T.; Frost, P.; et al. Chapter VIII Remote sensing of vegetation fires and its contribution to a fire management information system. In Fire Management Handbook for Subsaharan Africa; Goldammer, J., Ronde, C., Eds.; SPB Publishing: The Hague, The Netherlands, 2004; pp. 58–211. [Google Scholar]
- Liu, Y.; Li, J.; Zhang, H. An ecosystem service valuation of land use change in Taiyuan City, China. Ecol. Modell. 2012, 225, 127–132. [Google Scholar] [CrossRef]




| Date of Acquisition | Sensor Used | Spatial Resolution |
|---|---|---|
| 06 June 2004 | Landsat-7 ETM+ | 30 m |
| 03 June 2009 | Landsat-7 ETM+ | 30 m |
| 12 June 2014 | Landsat-8 OLI | 30 m |
| 03 June 2019 | Landsat-8 OLI | 30 m |
| 23 June 2004 | LISS–III | 23.5 m |
| 21 June 2009 | LISS–III | 23.5 m |
| 26 June 2014 | LISS–III | 23.5 m |
| 23 June 2019 | LISS–III | 23.5 m |
| LULC Classes | Land Uses Comprised in the IDLULC | |
|---|---|---|
| 1 | Built-up area | Roads, man-made structures, and urban areas |
| 2 | Woodland | Dense vegetation, forest and timberland |
| 3 | Farmland | Agriculture and productive lands |
| 4 | Unused land | Drylands, non-productive lands and non-irrigated |
| 5 | Water bodies | Rivers, streams, lakes, open water, and ponds |
| 6 | Grassland | Grazing area, bushes and shrubbery |
| Landscape Metrics | Formulas | Explanation | Values Range |
|---|---|---|---|
| Patch type area | aij = area measures in m2 of patch covering ij. | To quantify the class area in the landscape | CA > 0 |
| Patch area ratio | Pi = total landscape occupied by different patch. aij = area measures in m2 of patch covering ij. | To quantifies landscape patch region ratio | 0 < PLAND ≤ 100 |
| Number of patches | ni = total number of patches in the region of patch type i. | To measure the total number of different patches of LULC | NP ≥ 1 |
| Landscape shape Index | ei = length of the different edges | To measure class aggregation for different class area | LSI 1 ≥ 1, without limit |
| Clumpiness Index | < 5, else gii = total number of similar connections among pixels, i based doubled progression and gik = total number of similar connections among pixels, k based doubled progression Pi = total landscape occupied by different patch. | To quantity the clumpiness of different patches in the urban area. Clumpiness shows the frequency with which various pairs of patch types appear side-by-side on the map | −1 ≤ CLUMPY ≤ 1 |
| Path Density | ni = total number of patches in the region of patch type i. A = total area in the landscape measures in m2 | To calculate number of patches of equivalent patch type by total region | PD > 0 |
| Largest Patch Index | aij = area measures in m2 of patch covering ij A = total area in the landscape measures in m2 | To measure the proportion of the landscape comprised by the major patch | 0 < LIP ≤ 100 |
| Average Patch area | ni = total number of patches in the region of patch type i. | To examine the average area of the different patches | 0 < MN ≤ 100 |
| Shannon evenness index | Pi = total landscape occupied by different patch. m = total number of patch classes | To provides information on area richness and composition | 0 ≤ SHEI ≤ 1 |
| Shannon’s diversity index | Pi = total landscape occupied by different patch. m = total number of patch classes | To provides information on diversity | SHDI ≥ 1 |
| Contagion index | gik = total number of similar connections among pixels, k based doubled progression Pi = total landscape occupied by different patch. m = total number of patch classes | To calculate the heterogeneity | Percent < Contagion ≤ 100 |
| 2004 | 2009 | 2014 | 2019 | |||||||||||||
|---|---|---|---|---|---|---|---|---|---|---|---|---|---|---|---|---|
| Non-Fused | Fused | Non-Fused | Fused | Non-Fused | Fused | Non-Fused | Fused | |||||||||
| Classes | PA | UA | PA | UA | PA | UA | PA | UA | PA | UA | PA | UA | PA | UA | PA | UA |
| Built-up area | 77.1 | 76.3 | 81.7 | 82.4 | 70.5 | 71.3 | 89.3 | 86.2 | 76.4 | 78.2 | 88.1 | 84.3 | 71.1 | 74.0 | 87.6 | 83.9 |
| Woodland | 76.5 | 78.2 | 87.2 | 88.1 | 71.3 | 73.9 | 89.0 | 86.4 | 72.8 | 76.5 | 90.3 | 90.6 | 72.9 | 76.3 | 89.1 | 90.8 |
| Farmland | 71.4 | 77.5 | 89.2 | 92.3 | 73.4 | 74.1 | 87.8 | 89.1 | 76.1 | 77.9 | 90.8 | 92.5 | 75.1 | 77.3 | 87.2 | 88.5 |
| Unused land | 76.1 | 78.9 | 90.1 | 93.3 | 76.5 | 77.9 | 89.1 | 92.3 | 71.8 | 73.4 | 87.6 | 91.2 | 72.7 | 77.9 | 89.3 | 90.4 |
| Water bodies | 78.7 | 79.8 | 87.6 | 88.9 | 77.1 | 75.4 | 90.1 | 92.3 | 76.3 | 79.5 | 80.1 | 81.5 | 80.1 | 81.8 | 82.4 | 85.9 |
| Grassland | 80.1 | 81.2 | 90.6 | 94.5 | 82.4 | 83.1 | 92.6 | 93.1 | 80.4 | 81.5 | 82.3 | 83.8 | 80.5 | 80.9 | 89.9 | 93.2 |
| Overall Accuracy | 76.5 | 87.7 | 75.2 | 89.6 | 75.6 | 86.5 | 75.4 | 87.5 | ||||||||
| Kappa | 0.77 | 0.86 | 0.74 | 0.88 | 0.74 | 0.85 | 0.74 | 0.86 | ||||||||
| Landscape Type | 2004 | 2009 | 2014 | 2019 | Change in Area (hm2) | |||||||
|---|---|---|---|---|---|---|---|---|---|---|---|---|
| Area (hm2) | % | Area (hm2) | % | Area (hm2) | % | Area (hm2) | % | 2004–2009 | 2009–2014 | 2014–2019 | 2004–2019 | |
| Farmland | 94,627 | 41.25 | 74,865 | 32.85 | 63,840 | 28.01 | 51,924 | 22.78 | −19762 | −11,025 | −11,916 | −42,703 |
| Grassland | 481 | 0.21 | 1884 | 0.83 | 374 | 0.16 | 164 | 0.07 | 1403 | −1510 | −210 | −317 |
| Woodland | 127,941 | 56.14 | 147,757 | 64.84 | 158,739 | 69.66 | 170,140 | 74.66 | 1,9816 | 10,982 | 11,401 | 42,199 |
| Built-up area | 2989 | 1.31 | 2964 | 1.30 | 4271 | 1.87 | 4476 | 1.96 | −25 | 1307 | 205 | 1487 |
| Water bodies | 104 | 0.05 | 376 | 0.16 | 248 | 0.11 | 1154 | 0.51 | 272 | −128 | 906 | 1050 |
| Unused land | 1752 | 0.77 | 47 | 0.02 | 421 | 0.18 | 35 | 0.02 | −1705 | 374 | −386 | −1717 |
| Total | 227,894 | 100 | 227,893 | 100 | 227,893 | 100 | 227,893 | 100 | - | - | - | - |
| Landscape Types in 2004 | Landscape Types in 2019 | ||||||
|---|---|---|---|---|---|---|---|
| Farm Land hm2 | Grass Land hm2 | Wood Land hm2 | Built-Up Area hm2 | Water Bodies hm2 | Unused Land hm2 | Decreased Ratio % | |
| Farm land | 512,109 | 60 | 503,241 | 28,041 | 7814 | 142 | 86.45 |
| Grass land | 11,21 | 390 | 3765 | 60 | 5 | 1 | 0.79 |
| Woodland | 38,564 | 1366 | 1,377,881 | 1602 | 1906 | 243 | 7.00 |
| Built-up area | 12,989 | - | 1537 | 17,097 | 1582 | 3 | 2.58 |
| Water bodies | 108 | - | 58 | 122 | 868 | - | 0.05 |
| Unused land | 12,046 | 2 | 3959 | 2816 | 647 | - | 3.12 |
| New increased area (hm2) | 64,828 | 1428 | 512,560 | 32,641 | 11,954 | 389 | - |
| Increased proportion (%) | 10.39 | 0.23 | 82.17 | 5.23 | 1.92 | 0.06 | 100 |
| Year | Number of Patches | Patch Density | Maximum Patch Index | Landscape Shape Index | Mean Patch Area | Contagion Index | Patch Richness | Shannon Diversity Index | Shannon Evenness Index |
|---|---|---|---|---|---|---|---|---|---|
| (NP) | (PD) | (LPI %) | (LSI) | (hm2) | (Contag) | (PR) | (SHDI) | (SHEI) | |
| 2004 | 28,712 | 12.5989 | 44.0108 | 74.8318 | 18,088.33 | 68.445 | 6 | 0.7998 | 0.44 |
| 2009 | 26,857 | 11.7849 | 37.9496 | 79.0558 | 19,337.64 | 69.3691 | 6 | 0.8011 | 0.44 |
| 2014 | 27,836 | 12.2145 | 48.5861 | 85.6635 | 18,657.60 | 70.0838 | 6 | 0.8197 | 0.45 |
| 2019 | 26,913 | 11.8095 | 53.028 | 73.7931 | 19,297.53 | 72.4943 | 6 | 0.8257 | 0.46 |
| Landscape Type | Year | Patch Type Area | Patch Area Ratio | Number of Patches | Patch Density | Max Patch Index | Landscape Shape Index | Mean Patch Area | Concentration |
|---|---|---|---|---|---|---|---|---|---|
| CA km2 | PLAND % | NP | PD | LPI | LSI | MN km2 | CLUMPY | ||
| Woodland | 2004 | 127,940.5 | 56.14 | 8477 | 3.72 | 44.01 | 78.72 | 34,395.21 | 0.85 |
| 2009 | 147,756.8 | 64.84 | 9601 | 4.21 | 37.95 | 82.25 | 35,072.06 | 0.82 | |
| 2014 | 158,739.3 | 69.66 | 7471 | 3.28 | 48.59 | 89.69 | 48,421.35 | 0.78 | |
| 2019 | 170,139.6 | 74.66 | 6291 | 2.76 | 53.03 | 70.80 | 61,633.45 | 0.80 | |
| Grassland | 2004 | 480.78 | 0.21 | 1806 | 0.79 | 0.01 | 46.10 | 606.65 | 0.37 |
| 2009 | 1884.42 | 0.83 | 5520 | 2.42 | 0.02 | 86.82 | 778.03 | 0.40 | |
| 2014 | 374.13 | 0.16 | 1025 | 0.45 | 0.01 | 34.27 | 831.81 | 0.47 | |
| 2019 | 163.62 | 0.07 | 730 | 0.32 | 0.00 | 29.51 | 510.71 | 0.31 | |
| Farm land | 2004 | 94,626.63 | 41.52 | 6496 | 2.85 | 35.70 | 108.75 | 33,196.95 | 0.82 |
| 2009 | 74,865.06 | 32.85 | 7628 | 3.35 | 27.20 | 126.88 | 22,366.56 | 0.79 | |
| 2014 | 63,840.24 | 28.01 | 11276 | 4.95 | 16.49 | 148.65 | 12,902.39 | 0.76 | |
| 2019 | 51,924.33 | 22.78 | 8765 | 3.85 | 7.18 | 137.17 | 13,500.61 | 0.77 | |
| Built-up area | 2004 | 2988.72 | 1.31 | 3250 | 1.43 | 0.19 | 65.30 | 2095.70 | 0.64 |
| 2009 | 2964.24 | 1.30 | 3546 | 1.56 | 0.14 | 72.34 | 1904.96 | 0.60 | |
| 2014 | 4270.86 | 1.87 | 6759 | 2.97 | 0.53 | 91.01 | 1440.06 | 0.58 | |
| 2019 | 4476.42 | 1.96 | 7387 | 3.24 | 0.46 | 96.96 | 1381.03 | 0.56 | |
| Water bodies | 2004 | 104.04 | 0.05 | 187 | 0.08 | 0.02 | 11.46 | 1268.00 | 0.68 |
| 2009 | 375.93 | 0.17 | 475 | 0.21 | 0.04 | 23.36 | 1803.55 | 0.65 | |
| 2014 | 247.86 | 0.11 | 359 | 0.16 | 0.04 | 18.33 | 1573.37 | 0.66 | |
| 2019 | 1153.98 | 0.51 | 3703 | 1.62 | 0.04 | 64.53 | 710.11 | 0.43 | |
| Unused land | 2004 | 1752.30 | 0.77 | 8496 | 3.73 | 0.01 | 101.41 | 469.92 | 0.27 |
| 2009 | 46.53 | 0.02 | 87 | 0.04 | 0.00 | 14.13 | 1218.77 | 0.39 | |
| 2014 | 420.57 | 0.18 | 946 | 0.42 | 0.00 | 34.56 | 1013.21 | 0.50 | |
| 2019 | 35.01 | 0.02 | 37 | 0.02 | 0.01 | 6.40 | 2156.32 | 0.71 |
| Landscape Type | ESV/×105 (RMB/a) | 2004–2009 | 2009–2014 | 2014–2019 | 2004–2019 | |||||||
|---|---|---|---|---|---|---|---|---|---|---|---|---|
| 2004 | 2009 | 2014 | 2019 | Change (×105 Yuan) | Rate % | Change (×105 Yuan) | Rate % | Change (×105 Yuan) | Rate % | Change (×105 Yuan) | Rate % | |
| Woodland | 31,719.7 | 36,632.7 | 39,355.5 | 42,181.9 | 4912.9 | 15.4 | 2722.8 | 7.43 | 2826.4 | 7.1 | 10,462.2 | 32.9 |
| Grassland | 26.1 | 102.6 | 20.3 | 8.91 | 76.4 | 291.9 | −82.2 | −80.1 | −11.4 | −56.2 | −17.2 | −65.9 |
| Farmland | 4099.1 | 3243.1 | 2765.5 | 2249.3 | −856.06 | −20.8 | −477.5 | −14.7 | −516.1 | −18.6 | −1849.8 | −45.1 |
| Water bodies | 141.1 | 510.1 | 336.3 | 1565.8 | 368.9 | 261.3 | −173.7 | −34.0 | 1229.5 | 365.5 | 1424.7 | 1009.1 |
| Unused land | 3.7 | 0.10 | 0.91 | 0.08 | −3.6 | −97.3 | 0.8 | 810.0 | −0.8 | −91.21 | −3.7 | −97.8 |
| Total | 35,990.06 | 40,488.6 | 42,478.6 | 46,006.1 | 4498.5 | 12.5 | 1990.0 | 4.9 | 3527.5 | 8.30 | 10,016.1 | 27.8 |
| Ecosystem Services | ESV/×105 (yuan/a) | 2004–2009 | 2009–2014 | 2014–2019 | 2004–2019 | |||||||
|---|---|---|---|---|---|---|---|---|---|---|---|---|
| 2004 | 2009 | 2014 | 2019 | Change (×105 Yuan) | Rate % | Change (×105 Yuan) | Rate % | Change (×105 Yuan) | Rate % | Change (×105 Yuan) | Rate % | |
| Gas conditioning | 3688.0 | 4019.1 | 4187.4 | 4374.7 | 331.13 | 8.98 | 168.35 | 4.19 | 187.30 | 4.47 | 686.78 | 18.62 |
| Climate regulation | 9361.3 | 1070.3 | 11,406.2 | 12,179.8 | 1341.67 | 14.3 | 703.27 | 6.57 | 773.54 | 6.78 | 2818.48 | 30.11 |
| Water conservation | 6947.6 | 8218.9 | 8592.28 | 10,139.7 | 1271.22 | 18.3 | 373.38 | 4.54 | 1547.51 | 18.0 | 3192.11 | 45.94 |
| Soil formation and protection | 4720.1 | 5079.3 | 5259.76 | 5461.14 | 359.17 | 7.61 | 180.41 | 3.55 | 201.38 | 3.83 | 740.96 | 15.70 |
| Waste disposal | 500.10 | 594.18 | 619.36 | 739.62 | 94.08 | 18.8 | 25.18 | 4.24 | 120.26 | 19.4 | 239.52 | 47.89 |
| Biodiversity conservation | 3469.9 | 3973.7 | 4231.60 | 4535.27 | 503.78 | 14.5 | 257.86 | 6.49 | 303.67 | 7.18 | 1065.31 | 30.70 |
| Food production | 1271.1 | 1155.6 | 1086.06 | 1019.96 | −115.52 | −9.09 | −69.56 | −6.02 | −66.10 | −6.09 | −251.18 | −19.76 |
| Raw materials | 1322.0 | 1380.7 | 1408.84 | 1440.56 | 58.70 | 4.44 | 28.06 | 2.03 | 31.72 | 2.25 | 118.48 | 8.96 |
| Entertainment culture | 1530.0 | 1753.2 | 1865.23 | 2005.94 | 223.26 | 14.5 | 111.97 | 6.39 | 140.71 | 7.54 | 475.94 | 31.11 |
| Aggregate | 32,810.4 | 36,877.9 | 38,656.8 | 41,896.8 | 4067.48 | 12.4 | 1778.9 | 4.82 | 3240.01 | 8.38 | 9086.41 | 27.69 |
Publisher’s Note: MDPI stays neutral with regard to jurisdictional claims in published maps and institutional affiliations. |
© 2021 by the authors. Licensee MDPI, Basel, Switzerland. This article is an open access article distributed under the terms and conditions of the Creative Commons Attribution (CC BY) license (http://creativecommons.org/licenses/by/4.0/).
Share and Cite
Shuangao, W.; Padmanaban, R.; Mbanze, A.A.; Silva, J.M.N.; Shamsudeen, M.; Cabral, P.; Campos, F.S. Using Satellite Image Fusion to Evaluate the Impact of Land Use Changes on Ecosystem Services and Their Economic Values. Remote Sens. 2021, 13, 851. https://doi.org/10.3390/rs13050851
Shuangao W, Padmanaban R, Mbanze AA, Silva JMN, Shamsudeen M, Cabral P, Campos FS. Using Satellite Image Fusion to Evaluate the Impact of Land Use Changes on Ecosystem Services and Their Economic Values. Remote Sensing. 2021; 13(5):851. https://doi.org/10.3390/rs13050851
Chicago/Turabian StyleShuangao, Wang, Rajchandar Padmanaban, Aires A. Mbanze, João M. N. Silva, Mohamed Shamsudeen, Pedro Cabral, and Felipe S. Campos. 2021. "Using Satellite Image Fusion to Evaluate the Impact of Land Use Changes on Ecosystem Services and Their Economic Values" Remote Sensing 13, no. 5: 851. https://doi.org/10.3390/rs13050851
APA StyleShuangao, W., Padmanaban, R., Mbanze, A. A., Silva, J. M. N., Shamsudeen, M., Cabral, P., & Campos, F. S. (2021). Using Satellite Image Fusion to Evaluate the Impact of Land Use Changes on Ecosystem Services and Their Economic Values. Remote Sensing, 13(5), 851. https://doi.org/10.3390/rs13050851

