Morphometric Analysis of Pluto’s Impact Craters
Abstract
1. Introduction
2. Materials and Methods
2.1. Study Area
2.2. Morphometric Analysis
2.3. Modification and Morphologies
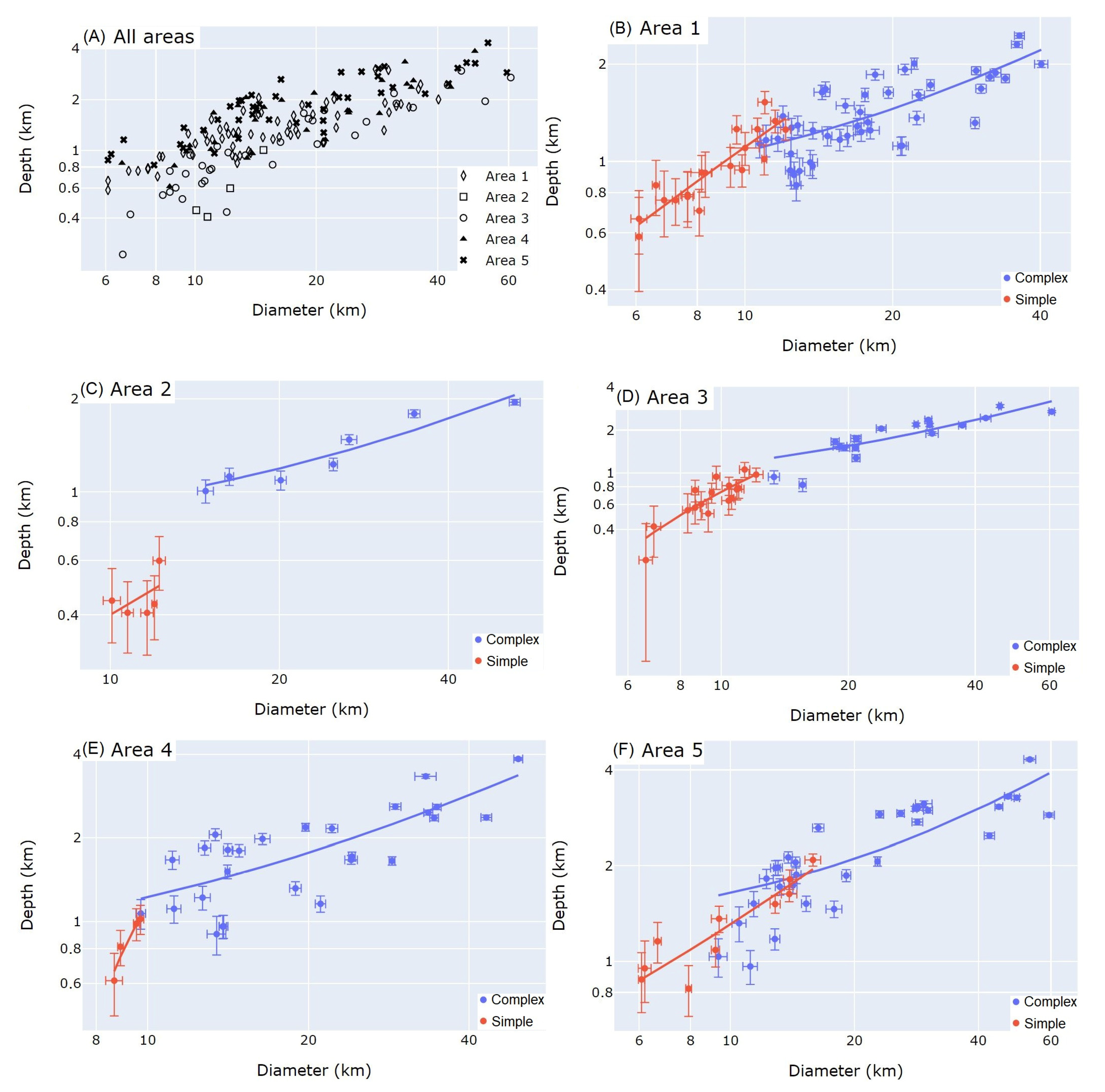
3. Results
4. Discussion
4.1. Transition Diameter
4.2. Morphometric Differences
5. Conclusions
- The transition from simple to complex craters in Pluto varies between 10 km (areas 1 and 4) and 15 km diameter (areas 3 and 5). This indicates that the dynamics of impact crater formation on Pluto is between the ones of icy and rocky bodies and do not follow the trend of icy bodies as expected from the inverse-gravity relationship.
- Low slopes of inner walls and a high spread of data for craters greater than 20 km in diameter may indicate a modification process that has affected mainly larger craters.
- Equatorial craters have a higher range of depth values for a given diameter. This could be related to less intense modification processes presented in the equatorial regions in modifying all the craters.
- Differences in morphometry in each area could be related to different rheological properties of the target materials, explained by a higher proportion of rocky material in relation to other materials (ice) in area 3 and 5, as well as the presence of volatiles in area 1 and 2,
- Volatile elements could be responsible for the incidence of shallower craters in the northern and northwestern regions. Volatile ices could influence crater formation and/or modify craters during Pluto’s different seasons.
Supplementary Materials
Author Contributions
Funding
Institutional Review Board Statement
Informed Consent Statement
Data Availability Statement
Acknowledgments
Conflicts of Interest
References
- Susorney, H.C.; Barnouin, O.; Ernst, C.M.; Johnson, C.L. Morphometry of impact craters on Mercury from MESSENGER altimetry and imaging. Icarus 2016, 271, 180–193. [Google Scholar] [CrossRef]
- Mangold, N.; Adeli, S.; Conway, S.; Ansan, V.; Langlais, B. A chronology of early Mars climatic evolution from impact crater degradation. J. Geophys. Res. Space Phys. 2012, 117. [Google Scholar] [CrossRef]
- Robbins, S.J.; Watters, W.A.; Chappelow, J.E.; Bray, V.J.; Daubar, I.J.; Craddock, R.A.; Beyer, R.A.; Landis, M.E.; Ostrach, L.R.; Tornabene, L.; et al. Measuring impact crater depth throughout the solar system. Meteorit. Planet. Sci. 2017, 53, 583–637. [Google Scholar] [CrossRef]
- Robbins, S.J.; Hynek, B.M. A new global database of Mars impact craters ≥1 km: 2. Global crater properties and regional variations of the simple-to-complex transition diameter. J. Geophys. Res. Space Phys. 2012, 117. [Google Scholar] [CrossRef]
- Melosh, H.J. Impact Cratering: A Geologic Process; Oxford University Press: New York, NY, USA, 1989. [Google Scholar]
- Watters, W.A.; Geiger, L.M.; Fendrock, M.; Gibson, R. Morphometry of small recent impact craters on Mars: Size and terrain dependence, short-term modification. J. Geophys. Res. Planets 2015, 120, 226–254. [Google Scholar] [CrossRef]
- Singer, K.N.; McKinnon, W.B.; Gladman, B.; Greenstreet, S.; Bierhaus, E.B.; Stern, S.A.; Parker, A.H.; Robbins, S.J.; Schenk, P.; Grundy, W.; et al. Impact craters on Pluto and Charon indicate a deficit of small Kuiper belt objects. Science 2019, 363, 955–959. [Google Scholar] [CrossRef] [PubMed]
- Moore, J.M.; McKinnon, W.; Spencer, J.R.; Howard, A.D.; Schenk, P.; Beyer, R.A.; Nimmo, F.; Singer, K.N.; Umurhan, O.M.; White, O.L.; et al. The geology of Pluto and Charon through the eyes of New Horizons. Science 2016, 351, 1284–1293. [Google Scholar] [CrossRef] [PubMed]
- Robbins, S.J.; Singer, K.N.; Bray, V.J.; Schenk, P.; Lauer, T.R.; Weaver, H.A.; Runyon, K.; McKinnon, W.; Beyer, R.A.; Porter, S.B.; et al. Craters of the Pluto-Charon system. Icarus 2017, 287, 187–206. [Google Scholar] [CrossRef]
- Robbins, S.J.; Schenk, P.M.; Riggs, J.D.; Parker, A.H.; Bray, V.J.; Beddingfield, C.B.; Beyer, R.A.; Verbiscer, A.J.; Binzel, R.; Runyon, K.D. Depths of Pluto’s and Charon’s craters, and their simple-to-complex transition. Icarus 2021, 356, 113902. [Google Scholar] [CrossRef]
- Schenk, P.; Beyer, R.A.; McKinnon, W.B.; Moore, J.M.; Spencer, J.R.; White, O.L.; Singer, K.; Umurhan, O.M.; Nimmo, F.; Lauer, T.R.; et al. Breaking up is hard to do: Global cartography and topography of Pluto’s mid-sized icy Moon Charon from New Horizons. Icarus 2018, 315, 124–145. [Google Scholar] [CrossRef]
- Grundy, W.; Binzel, R.; Buratti, B.; Cook, J.C.; Cruikshank, D.P.; Ore, C.M.D.; Earle, A.M.; Ennico, K.; Howett, C.; Lunsford, A.W.; et al. Surface compositions across Pluto and Charon. Science 2016, 351, aad9189. [Google Scholar] [CrossRef] [PubMed]
- Geiger, L.M. Statistical Analysis of Simple Martian Impact Crater Morphometry. Honors Thesis, Wellesley College Digital Collections, Wellesley, MA, USA, 2013. [Google Scholar]
- QGIS Development Team; QGIS Geographic Information System. Open Source Geospatial Foundation Project. 2020. Available online: http://qgis.osgeo.org (accessed on 10 December 2020).
- Bray, V.J.; Schenk, P.M. Pristine impact crater morphology on Pluto—Expectations for New Horizons. Icarus 2015, 246, 156–164. [Google Scholar] [CrossRef]
- Schenk, P.M.; Singer, K.N.; Robbins, S.J.; Bray, V.J.; Beyer, R.A.; Moore, J.M.; McKinnon, W.B.; Spencer, J.R.; Runyon, K.; Stern, S.A.; et al. Topography of Pluto and Charon: Impact Cratering. In Proceedings of the 47th Lunar and Planetary Science Conference, The Woodlands, TX, USA, 21–25 March 2016; p. 2795. [Google Scholar]
- O’Keefe, J.D.; Ahrens, T.J. Planetary cratering mechanics. J. Geophys. Res. Space Phys. 1993, 98, 17011–17028. [Google Scholar] [CrossRef]
- Zahnle, K.; Schenk, P.; Levison, H.; Dones, L. Cratering rates in the outer Solar System. Icarus 2003, 163, 263–289. [Google Scholar] [CrossRef]
- Schenk, P. Thickness constraints on the icy shells of the galilean satellites from a comparison of crater shapes. Nat. Cell Biol. 2002, 417, 419–421. [Google Scholar] [CrossRef] [PubMed]
- Schenk, P.; Zahnle, K. On the negligible surface age of Triton. Icarus 2007, 192, 135–149. [Google Scholar] [CrossRef]
- White, O.L.; Schenk, P.M.; Bellagamba, A.W.; Grimm, A.M.; Dombard, A.J.; Bray, V.J. Impact crater relaxation on Dione and Tethys and relation to past heat flow. Icarus 2017, 288, 37–52. [Google Scholar] [CrossRef]
- Schenk, P.M. Crater formation and modification on the icy satellites of Uranus and Saturn: Depth/diameter and central peak occurrence. J. Geophys. Res. Space Phys. 1989, 94, 3813–3832. [Google Scholar] [CrossRef]
- Trowbridge, A.J.; Melosh, H.J.; Freed, A.M. Impacts into Pluto: The Effect of a Nitrogen Ice Surface Layer. In Proceedings of the Bridging the Gap III: Impact Cratering in Nature, Experiments, and Modeling, University of Freiburg, Freiburg, Germany, 21–26 September 2015; p. 1091. [Google Scholar]














Publisher’s Note: MDPI stays neutral with regard to jurisdictional claims in published maps and institutional affiliations. |
© 2021 by the authors. Licensee MDPI, Basel, Switzerland. This article is an open access article distributed under the terms and conditions of the Creative Commons Attribution (CC BY) license (http://creativecommons.org/licenses/by/4.0/).
Share and Cite
Villaça, C.V.N.; Crósta, A.P.; Grohmann, C.H. Morphometric Analysis of Pluto’s Impact Craters. Remote Sens. 2021, 13, 377. https://doi.org/10.3390/rs13030377
Villaça CVN, Crósta AP, Grohmann CH. Morphometric Analysis of Pluto’s Impact Craters. Remote Sensing. 2021; 13(3):377. https://doi.org/10.3390/rs13030377
Chicago/Turabian StyleVillaça, Caio Vidaurre Nassif, Alvaro Penteado Crósta, and Carlos Henrique Grohmann. 2021. "Morphometric Analysis of Pluto’s Impact Craters" Remote Sensing 13, no. 3: 377. https://doi.org/10.3390/rs13030377
APA StyleVillaça, C. V. N., Crósta, A. P., & Grohmann, C. H. (2021). Morphometric Analysis of Pluto’s Impact Craters. Remote Sensing, 13(3), 377. https://doi.org/10.3390/rs13030377

