Radiative Transfer Model Simulations for Ground-Based Microwave Radiometers in North China
Abstract
:1. Introduction
2. Data and Model
2.1. Data
2.2. Model
3. Results
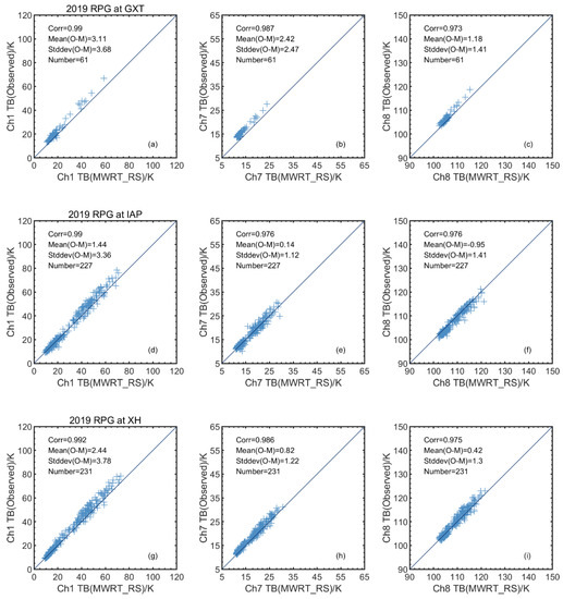
3.1. Comparison of Simulated and Observed Brightness Temperatures
3.2. Influence of Atmospheric Profiles on Simulation Results
4. Discussions
5. Conclusions
- (1)
- The TB simulations derived from both the radiosonde and ERA5 profiles were very close to the observations in most channels of the MWRPs that we used in this paper (i.e., CC up to 0.99). However, in the temperature channels Ch8 (51.26 GHz) and Ch9 (52.28 GHz), the correlation was weakened and the TB difference bias was obvious, which indicates that the oxygen absorption component in the MWRT needs to be improved for the lower-frequency temperature channels.
- (2)
- The difference in location between the radiosonde and MWRP sites affected the TB simulations in the water vapor channels to a greater extent, but had little impact on the temperature channels with high opacity. The observation quality of the water vapor channels for the MWRP located at the GXT site needs be improved from January to March 2019.
- (3)
- The differences in both TB simulations obtained from the radiosonde and ERA5 profiles and the corresponding observations in Ch1–Ch7 of the MWRPs located at the three sites clearly reflect the benefits of ERA5 hourly profiles. These include enlarging matching samples, and reducing the bias and standard deviation for those MWRPs located away from the radiosonde station.
Author Contributions
Funding
Data Availability Statement
Acknowledgments
Conflicts of Interest
References
- Ulaby, F.T.; Moore, R.K.; Fung, A.K. Microwave Remote Sensing, Active and Passive. In Microwave Remote Sensing Fundamentals and Radiometry; Addison-Wesley Publishing Company: Reading, MA, USA, 1981; Volume 1. [Google Scholar]
- Westwater, E.R.; Crewell, S.; Mätzler, C.; Cimini, D. Principles of surface-based microwave and millimeter wave radiometric remote sensing of the troposphere. Quad. Soc. Ital. Elettromagn. 2005, 1, 50–90. [Google Scholar]
- Ware, R.; Carpenter, R.; Güldner, J.; Liljegren, J.; Nehrkorn, T.; Solheim, F.; Vandenberghe, F. A multichannel radiometric profiler of temperature, humidity, and cloud liquid. Radio Sci. 2003, 38, 8079. [Google Scholar] [CrossRef] [Green Version]
- Chan, P.W.; Hon, K.K. Application of ground-based, multi-channel microwave radiometer in the nowcasting of intense convective weather through instability indices of the atmosphere. Meteorol. Z. 2011, 20, 423–429. [Google Scholar] [CrossRef]
- Gultepe, I.; Zhou, B.; Milbrandt, J.; Bott, A.; Li, Y.; Heymsfield, A.J.; Ferrier, B.; Ware, R.; Pavolonis, M.; Kuhn, T.; et al. A review on ice fog measurements and monitoring. Atmos. Res. 2015, 151, 2–19. [Google Scholar] [CrossRef] [Green Version]
- Güldner, J.; Spänkuch, D. Remote sensing of the thermodynamic state of the atmospheric boundary layer by ground-based microwave radiometry. J. Atmos. Ocean. Technol. 2001, 18, 925–933. [Google Scholar] [CrossRef] [Green Version]
- Cimini, D.; De Angelis, F.; Dupont, J.C.; Pal, S.; Haeffelin, M. Mixing layer height retrievals by multichannel microwave radiometer observations. Atmos. Meas. Tech. 2013, 6, 4971–4998. [Google Scholar] [CrossRef] [Green Version]
- Cimini, D.; Campos, E.; Ware, R.; Albers, S.; Graziano, G.; Oreamuno, J.; Joe, P.; Koch, S.; Cober, S.; Westwater, E. Thermodynamic atmospheric profiling during the 2010 winter Olympics using ground-based microwave radiometry. IEEE Trans. Geosci. Remote Sens. 2011, 49, 4959–4969. [Google Scholar] [CrossRef]
- Cimini, D.; Nelson, M.; Güldner, J.; Ware, R. Forecast indices from a ground-based microwave radiometer for operational meteorology. Atmos. Meas. Tech. 2015, 8, 315–333. [Google Scholar] [CrossRef] [Green Version]
- Löhnert, U.; Maier, O. Operational profiling of temperature using ground-based microwave radiometry at Payerne: Prospects and challenges. Atmos. Meas. Tech. 2012, 5, 1121–1134. [Google Scholar] [CrossRef] [Green Version]
- Cimini, D.; Hewison, T.J.; Martin, L.; Güldner, J.; Gaffard, C.; Marzano, F. Temperature and humidity profile retrievals from ground-based microwave radiometers during TUC. Meteorol. Z. 2006, 15, 45–56. [Google Scholar] [CrossRef]
- Hewison, T. 1D-VAR retrievals of temperature and humidity profiles from a ground-based microwave radiometer. IEEE Trans. Geosci. Remote Sens. 2007, 45, 2163–2168. [Google Scholar] [CrossRef]
- Löhnert, U.; Crewell, S.; Simmer, C. An integrated approach towards retrieving physically consistent profiles of temperature, humidity, and cloud liquid water. J. Appl. Meteorol. 2004, 43, 1295–1307. [Google Scholar] [CrossRef] [Green Version]
- Wang, Z.H.; Cao, X.; Huang, J.; Chu, Y.; Li, Q. Analysis on the working state of a ground-based microwave radiometer based on radiative transfer model and meteorological data variation features. Trans. Atmos. Sci. 2014, 37, 1–8. (In Chinese) [Google Scholar] [CrossRef]
- Goldberg, M.D.; Crosby, D.S.; Zhou, L.H. The limb adjustment of AMSU-A observations: Methodology and validation. J. Appl. Meteorol. 2001, 40, 70–83. [Google Scholar] [CrossRef]
- Lu, Q.; Bell, W.; Bauer, P.; Bormann, N.; Peubey, C. An evaluation of FY-3A satellite data for numerical weather prediction. Q. J. R. Meteor. Soc. 2011, 137, 1298–1311. [Google Scholar] [CrossRef]
- Weng, F. Advances in radiative transfer modeling in support of satellite data assimilation. J. Atmos. Sci. 2007, 64, 3799–3807. [Google Scholar] [CrossRef]
- Clough, S.A.; Shephard, M.W.; Mlawer, E.J.; Delamere, J.S.; Iacono, M.J.; Cady-Pereira, K.; Boukabara, S.; Brown, P.D. Atmospheric radiative transfer modeling: A summary of the AER codes. J. Quant. Spectrosc. Radiat. Transf. 2005, 91, 233–244. [Google Scholar] [CrossRef]
- Hewison, T.J.; Cimini, D.; Martin, L.; Gaffard, C.; Nash, J. Validating clear air absorption model using ground-based microwave radiometers and vice-versa. Meteorol. Z. 2006, 15, 27–36. [Google Scholar] [CrossRef] [Green Version]
- Li, Q.; Hu, F.; Chu, Y.; Wang, Z.H.; Huang, J.; Wang, Y.; Zhu, Y. A consistency analysis and correction of the brightness temperature data observed with a ground-based microwave radiometer in Beijing. Remote Sens. Technol. Appl. 2014, 29, 547–556. [Google Scholar] [CrossRef]
- Mao, J.; Zhang, X.; Wang, Z.; Yang, R.; Pan, X.; Ji, C.; Guo, R. Comparison of brightness temperature of multi-type ground-based microwave radiometers. J. Appl. Meteorol. Sci. 2018, 29, 724–736. (In Chinese) [Google Scholar] [CrossRef]
- Huang, X.Y.; Zhang, X.; Leng, L.; Li, F.; Fan, Y.W. Study on retrieval methods with MonoRTM for microwave radiometer measurements. J. Meteorol. Sci. 2013, 33, 138–145. (In Chinese) [Google Scholar] [CrossRef]
- Zou, R.S.; He, W.Y.; Wang, P.C.; Mao, J.J.; Chen, H.B.; Li, J.; Nan, W.D.; Chang, Y. Assessment of Radiative Transfer Models Based on Observed Brightness Temperature from Ground-Based Microwave Radiometer. Chin. J. Atmos. Sci. 2021, 45, 1–12. [Google Scholar] [CrossRef]
- Rose, T.; Crewell, S.; Löhnert, U.; Simmer, C. A network suitable microwave radiometer for operational monitoring of the cloudy atmosphere. Atmos. Res. 2005, 75, 183–200. [Google Scholar] [CrossRef]
- Hersbach, H.; Bell, B.; Berrisford, P.; Hirahara, S.; Horányi, A.; Muñoz-Sabater, J.; Nicolas, J.; Peubey, C.; Radu, R.; Schepers, D.; et al. The ERA5 global reanalysis. Q. J. R. Meteorol. Soc. 2020, 146, 1999–2049. [Google Scholar] [CrossRef]
- Liu, G.S. A fast and accurate model for microwave radiance calculations. J. Meteorol. Soc. Jpn. 1998, 76, 335–343. [Google Scholar] [CrossRef] [Green Version]
- Rosenkranz, P.W. Absorption of Microwaves by Atmospheric Gases, Chapter 2. In Atmospheric Remote Sensing by Microwave Radiometry; Janssen, M.A., Ed.; John Wiley & Sons, Inc.: Hoboken, NJ, USA, 1993; pp. 37–90. [Google Scholar]
- Rosenkranz, P.W. Water vapor microwave continuum absorption: A comparison of measurements and models. Radio Sci. 1998, 33, 919–928. [Google Scholar] [CrossRef]
- Liebe, H.J.; Rosenkranz, P.W.; Hufford, G.A. Atmospheric 60-GHz oxygen spectrum: New laboratory measurements and line parameters. J. Quant. Spectrosc. Radiat. Transf. 1992, 45, 629–643. [Google Scholar] [CrossRef]
- Liu, G.S. Approximation of single scattering properties of ice and snow particles for high microwave frequencies. J. Atmos. Sci. 2004, 61, 2441–2456. [Google Scholar] [CrossRef]
- Poore, K.D.; Wang, J.H.; Rossow, W.B. Cloud layer thicknesses from a combination of surface and upper-air observations. J. Clim. 1995, 8, 550–568. [Google Scholar] [CrossRef] [Green Version]
- Cimini, D.; Rosenkranz, P.W.; Tretyakov, M.Y.; Koshelev, M.A.; Romano, F. Uncertainty of atmospheric microwave absorption model: Impact on ground-based radiometer simulations and retrievals. Atmos. Chem. Phys. 2018, 18, 15231–15259. [Google Scholar] [CrossRef] [Green Version]






Publisher’s Note: MDPI stays neutral with regard to jurisdictional claims in published maps and institutional affiliations. |
© 2021 by the authors. Licensee MDPI, Basel, Switzerland. This article is an open access article distributed under the terms and conditions of the Creative Commons Attribution (CC BY) license (https://creativecommons.org/licenses/by/4.0/).
Share and Cite
He, W.; Cheng, Y.; Zou, R.; Wang, P.; Chen, H.; Li, J.; Xia, X. Radiative Transfer Model Simulations for Ground-Based Microwave Radiometers in North China. Remote Sens. 2021, 13, 5161. https://doi.org/10.3390/rs13245161
He W, Cheng Y, Zou R, Wang P, Chen H, Li J, Xia X. Radiative Transfer Model Simulations for Ground-Based Microwave Radiometers in North China. Remote Sensing. 2021; 13(24):5161. https://doi.org/10.3390/rs13245161
Chicago/Turabian StyleHe, Wenying, Yunchu Cheng, Rongshi Zou, Pucai Wang, Hongbin Chen, Jun Li, and Xiangao Xia. 2021. "Radiative Transfer Model Simulations for Ground-Based Microwave Radiometers in North China" Remote Sensing 13, no. 24: 5161. https://doi.org/10.3390/rs13245161
APA StyleHe, W., Cheng, Y., Zou, R., Wang, P., Chen, H., Li, J., & Xia, X. (2021). Radiative Transfer Model Simulations for Ground-Based Microwave Radiometers in North China. Remote Sensing, 13(24), 5161. https://doi.org/10.3390/rs13245161

