Characteristics of Spatiotemporal Changes in the Occurrence of Forest Fires
Abstract
1. Introduction
2. Self-Organized Criticality of Forest Fire Data and LITB Calculation Method
2.1. Detrended Fluctuation Analysis
2.2. LITB
3. Construction of Forest Fire Occurrence Data and Method to Explore the Spatiotemporal Characteristics of Forest Fires
3.1. Construction of Forest Fire Damage Range Data
3.2. Method to Explore the Spatiotemporal Characteristics of the Burst of Forest Fire Occurrences in Korea
4. Results
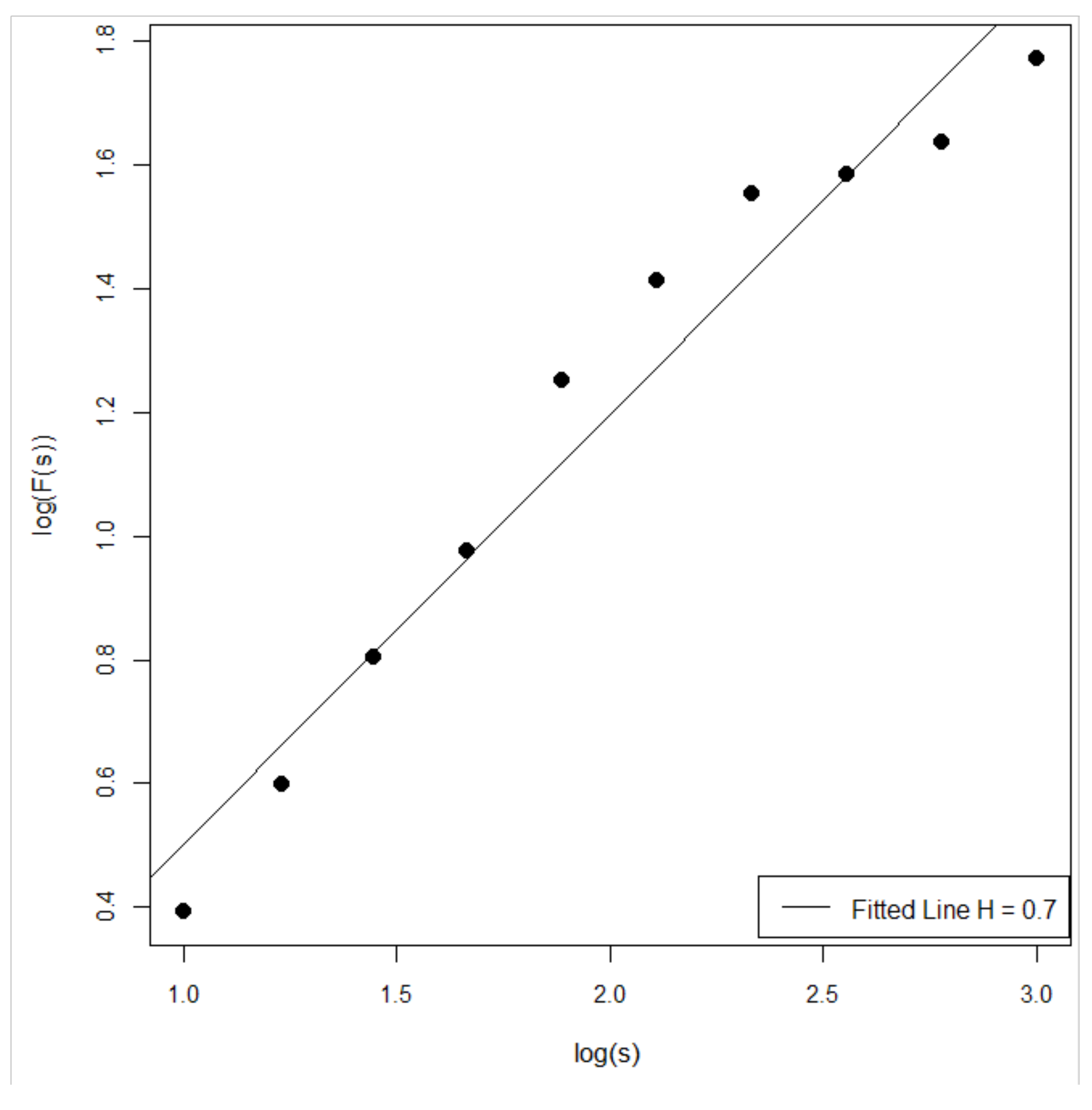
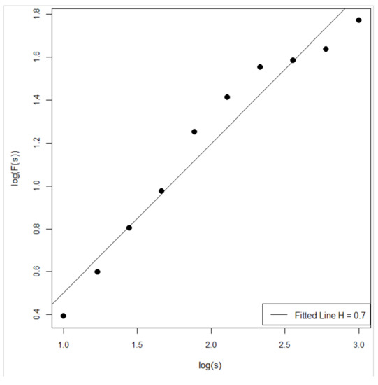
4.1. Results of Detrended Fluctuation Analysis
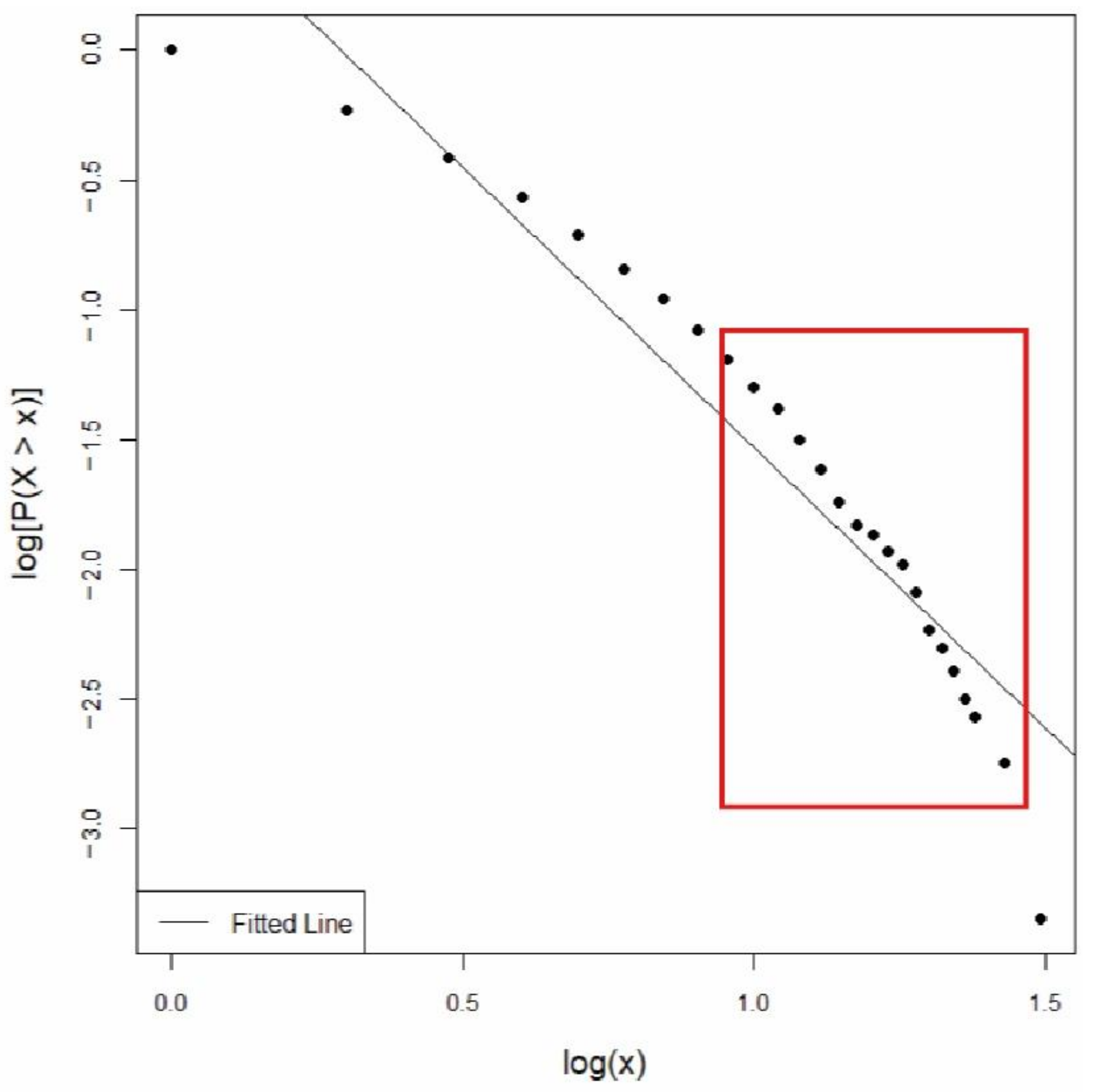
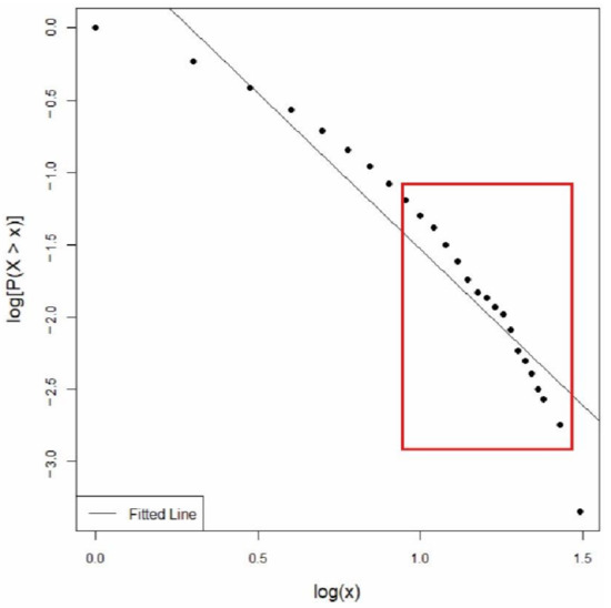
4.2. Results of LITB Application
5. Discussion
6. Conclusions
Author Contributions
Funding
Institutional Review Board Statement
Informed Consent Statement
Data Availability Statement
Conflicts of Interest
References
- Kumari, B.; Pandey, A.C. MODIS based forest fire hotspot analysis and its relationship with climatic variables. Spat. Inf. Res. 2020, 28, 87–99. [Google Scholar] [CrossRef]
- Ahmad, F.; Goparaju, L. A geospatial analysis of climate variability and its impact on forest fire: A case study in Orissa state of India. Spat. Inf. Res. 2018, 26, 587–598. [Google Scholar] [CrossRef]
- Korea Forest Service. Available online: https://www.forest.go.kr/kfsweb/kfi/kfs/frfr/selectFrfrStats.do?mn=NKFS_02_02_01_05 (accessed on 13 October 2021).
- Statistics Korea. E-National Index. Available online: https://www.index.go.kr/potal/main/EachDtlPageDetail.do?idx_cd=1309 (accessed on 13 October 2021).
- Bak, P.; Tang, C.; Wiesenfeld, K. Self-organized criticality. Phys. Rev. A 1988, 38, 364. [Google Scholar] [CrossRef]
- Song, W.; Wang, J.; Satoh, K.; Fan, W. Three types of power-law distribution of forest fires in Japan. Ecol. Model. 2006, 196, 527–532. [Google Scholar] [CrossRef]
- Lu, J.; Zhou, T.; Li, B.; Zhang, H.; Wu, C. Self-organized criticality in wildfire time series from China. Nat. Hazards Rev. 2017, 18, 04017014. [Google Scholar] [CrossRef]
- Kim, E.K. Local Indicators of Temporal Burstiness for Spatio-Temporal Event Analysis. Ph.D. Dissertation, Pennsylvania State University, State College, PA, USA, 12 December 2017. [Google Scholar]
- Zheng, H.; Song, W.; Wang, J. Detrended fluctuation analysis of forest fires and related weather parameters. Phys. A Stat. Mech. Its Appl. 2008, 387, 2091–2099. [Google Scholar] [CrossRef]
- Kato, A.; Thau, D.; Hudak, A.T.; Meigs, G.W.; Moskal, L.M. Quantifying fire trends in boreal forests with Landsat time series and self-organized criticality. Remote Sens. Environ. 2020, 237, 111525. [Google Scholar] [CrossRef]
- Lee, S.Y.; Kang, Y.S.; An, S.H.; Oh, J.S. Characteristic Analysis of Forest Fire Burned Area using GIS. J. Korean Assoc. Geogr. Inf. Stud. 2002, 5, 20–26. [Google Scholar]
- Kwak, H.B.; Lee, W.K.; Lee, S.Y.; Won, M.S.; Lee, M.B.; Koo, K.S. The Analysis of Relationship between Forest Fire Distribution and Topographic, Geographic, and Climatic Factors. In Proceedings of the GIS 2008 Joint Spring Conference on The Korean Society for Geospatial Information Science, Seoul, Korea, 13 June 2008; pp. 465–470. [Google Scholar]
- Lee, B.D.; Song, J.E.; Lee, M.B.; Chung, J.S. The Relationship between Characteristics of Forest Fires and Spatial Patterns of Forest Types by the Ecoregions of South Korea. J. Korean For. Soc. 2008, 97, 1–9. [Google Scholar]
- Kwak, H.B.; Lee, W.K.; Lee, S.Y.; Won, M.S.; Koo, K.S.; Lee, B.D.; Lee, M.B. Cause-specific Spatial Point Pattern Analysis of Forest Fire in Korea. J. Korean Soc. For. Sci. 2010, 99, 259–266. [Google Scholar]
- Lee, B.D.; Song, J.E. The Relationship between Spatial Patterns of Forest Distribution and Forest Fire Characteristics in the Regional Administrative Unit in Korea. Crisisonomy 2016, 12, 51–61. [Google Scholar] [CrossRef]
- Ahn, H.Y.; Lee, B.D.; Kwon, C.G.; Kim, S.Y. Identification of Fire-prone Areas Using Spatial Analysis of the Forest Fire Location Data. Crisisonomy 2017, 13, 95–104. [Google Scholar] [CrossRef]
- Giglio, L.; Descloitres, J.; Justice, C.O.; Kaufman, Y.J. An enhanced contextual fire detection algorithm for MODIS. Remote Sens. Environ. 2003, 87, 273–282. [Google Scholar] [CrossRef]
- Won, M.S.; Koo, K.S.; Lee, M.B. An Quantitative Analysis of Severity Classification and Burn Severity for the Large Forest Fire Areas using Normalized Burn Ratio of Landsat Imagery. J. Korean Assoc. Geogr. Inf. Stud. 2007, 10, 80–92. [Google Scholar]
- Kim, S.H. Development of an Algorithm for Detecting Sub-Pixel Scale Forest Fires Using MODIS Data. Master’s Dissertation, Inha University, Incheon, Korea, 2009. [Google Scholar]
- Schroeder, W.; Oliva, P.; Giglio, L.; Csiszar, I.A. The New VIIRS 375 m active fire detection data product: Algorithm description and initial assessment. Remote Sens. Environ. 2014, 143, 85–96. [Google Scholar] [CrossRef]
- Mallinis, G.; Mitsopoulos, I.; Chrysafi, I. Evaluating and comparing Sentinel 2A and Landsat-8 Operational Land Imager (OLI) spectral indices for estimating fire severity in a Mediterranean pine ecosystem of Greece. GISci. Remote Sens. 2018, 55, 1–18. [Google Scholar] [CrossRef]
- Oliva, P.; Schroeder, W. Assessment of VIIRS 375 m active fire detection product for direct burned area mapping. Remote Sens. Environ. 2015, 160, 144–155. [Google Scholar] [CrossRef]
- Hua, L.; Shao, G. The progress of operational forest fire monitoring with infrared remote sensing. J. For. Res. 2017, 28, 215–229. [Google Scholar] [CrossRef]
- Waigl, C.F.; Stuefer, M.; Prakash, A.; Ichoku, C. Detecting high and low-intensity fires in Alaska using VIIRS I-band data: An improved operational approach for high latitudes. Remote Sens. Environ. 2017, 199, 389–400. [Google Scholar] [CrossRef]
- Briones-Herrera, C.I.; Vega-Nieva, D.J.; Monjarás-Vega, N.A.; Briseño-Reyes, J.; López-Serrano, P.M.; Corral-Rivas, J.J.; Alvarado-Celestino, E.; Arellano-Pérez, S.; Álvarez-González, J.G.; Ruiz-González, A.D. Near Real-Time Automated Early Mapping of the Perimeter of Large Forest Fires from the Aggregation of VIIRS and MODIS Active Fires in Mexico. Remote Sens. 2020, 12, 2061. [Google Scholar] [CrossRef]
- NASA NPP. NPOESS Preparatory Project: Building a Bridge to a New Era of Earth Observations; NASA: Washington, DC, USA, 2011. [Google Scholar]
- Kim, T.H.; Choi, J.M. The Method of Linking Fire Survey Data with Satellite Image-based Fire Data. Korean J. Remote Sens. 2020, 36, 1125–1137. [Google Scholar]
- Peng, C.K.; Buldyrev, S.V.; Havlin, S.; Simons, M.; Stanley, H.E.; Goldberger, A.L. Mosaic organization of DNA nucleotides. Phys. Rev. E 1994, 49, 1685. [Google Scholar] [CrossRef]
- Hurst, H. Long-term storage capacity of reservoirs. Trans. Am. Soc. Civ. Eng. 1951, 116, 770–799. [Google Scholar] [CrossRef]
- Barunik, J.; Kristoufek, L. On Hurst exponent estimation under heavy-tailed distributions. Phys. A Stat. Mech. Its Appl. 2010, 389, 3844–3855. [Google Scholar] [CrossRef]
- Goh, K.I.; Barabási, A.L. Burstiness and memory in complex systems. EPL 2008, 81, 48002. [Google Scholar] [CrossRef]
- Barabasi, A.L. The origin of bursts and heavy tails in human dynamics. Nature 2005, 435, 207–211. [Google Scholar] [CrossRef] [PubMed]
- Karsai, M.; Jo, H.H.; Kaski, K. Bursty Human Dynamics; Springer: Berlin/Heidelberg, Germany, 2018; pp. 1–23. [Google Scholar]
- Karsai, M.; Kaski, K.; Barabási, A.L.; Kertész, J. Universal features of correlated bursty behaviour. Sci. Rep. 2012, 2, 397. [Google Scholar] [CrossRef]
- Kim, E.K.; MacEachren, A.M. An index for characterizing spatial bursts of movements: A case study with geo-located Twitter data. In Proceedings of the GIScience 2014 Workshop on Analysis of Movement Data, Vienna, Austria, 23 September 2014. [Google Scholar]
- Jo, H.H.; Perotti, J.I.; Kaski, K.; Kertész, J. Correlated bursts and the role of memory range. Phys. Rev. E 2015, 92, 022814. [Google Scholar] [CrossRef]
- Kim, E.K.; Jo, H.H. Measuring burstiness for finite event sequences. Phys. Rev. E 2016, 94, 032311. [Google Scholar] [CrossRef] [PubMed]
- NASA. Suomi NPP VIIRS Land. Available online: https://viirsland.gsfc.nasa.gov/Products/NASA/FireESDR.html (accessed on 13 October 2021).
- NASA. Fire Information for Resource Management System (FIRMS). Available online: https://earthdata.nasa.gov/earth-observation-data/near-real-time/firms (accessed on 13 October 2021).
- Kim, Y.K.; Kim, S.P.; Cho, H.S.; Sohn, H.G. A Study of Power Law Distribution of Korean Disaster and Identification of Focusing Events. J. Korean Soc. Civ. Eng. 2016, 36, 181–190. [Google Scholar] [CrossRef]
- Lee, M.; Lee, S.; Lee, J. Study of the Characteristics of Forest Fire Based on Statistics of Forest Fire in Korea. J. Korean Soc. Hazard Mitig. 2012, 12, 185–192. [Google Scholar] [CrossRef][Green Version]
- Bae, M.; Chae, H. Regional Characteristics of Forest Fire Occurrences in Korea from 1990 to 2018. J. Korean Soc. Hazard Mitig. 2019, 19, 305–313. [Google Scholar] [CrossRef]
- Won, M.; Yoon, S.; Koo, G.; Kim, G. Spatio-Temporal Analysis of Forest Fire Occurrences during the Dry Season between 1990s and 2000s in South Korea. J. Korean Assoc. Geogr. Inf. Stud. 2011, 14, 150–162. [Google Scholar] [CrossRef]








| Occurrence Time | Time to Extinguish | Location_Office | Location_Sido | |
|---|---|---|---|---|
| 28 December 2019 10:28 | 28 December 2019 14:00 | Kyeonggi | Kyeonggi | |
| Location_Sigungu | Location_Eupmyun | Location_DongLi | Cause_Type | |
| Gwangju | Mok | Gi | ||
| Cause_Detail | Cause of Occurrence_Others | Damage Area_Total (Ha) | ||
| Accidental fire at the workplace | 0.33 | |||
Publisher’s Note: MDPI stays neutral with regard to jurisdictional claims in published maps and institutional affiliations. |
© 2021 by the authors. Licensee MDPI, Basel, Switzerland. This article is an open access article distributed under the terms and conditions of the Creative Commons Attribution (CC BY) license (https://creativecommons.org/licenses/by/4.0/).
Share and Cite
Kim, T.; Hwang, S.; Choi, J. Characteristics of Spatiotemporal Changes in the Occurrence of Forest Fires. Remote Sens. 2021, 13, 4940. https://doi.org/10.3390/rs13234940
Kim T, Hwang S, Choi J. Characteristics of Spatiotemporal Changes in the Occurrence of Forest Fires. Remote Sensing. 2021; 13(23):4940. https://doi.org/10.3390/rs13234940
Chicago/Turabian StyleKim, Taehee, Suyeon Hwang, and Jinmu Choi. 2021. "Characteristics of Spatiotemporal Changes in the Occurrence of Forest Fires" Remote Sensing 13, no. 23: 4940. https://doi.org/10.3390/rs13234940
APA StyleKim, T., Hwang, S., & Choi, J. (2021). Characteristics of Spatiotemporal Changes in the Occurrence of Forest Fires. Remote Sensing, 13(23), 4940. https://doi.org/10.3390/rs13234940

