Landsat Image-Based Retrieval and Analysis of Spatiotemporal Variation of Total Suspended Solid Concentration in Jiaozhou Bay, China
Abstract
:1. Introduction
2. Materials and Methods
2.1. In-Situ Data
2.2. Acquisition and Preprocessing of Landsat Data
2.3. Acquisition and Preprocessing of GOCI Data
2.4. Other Data
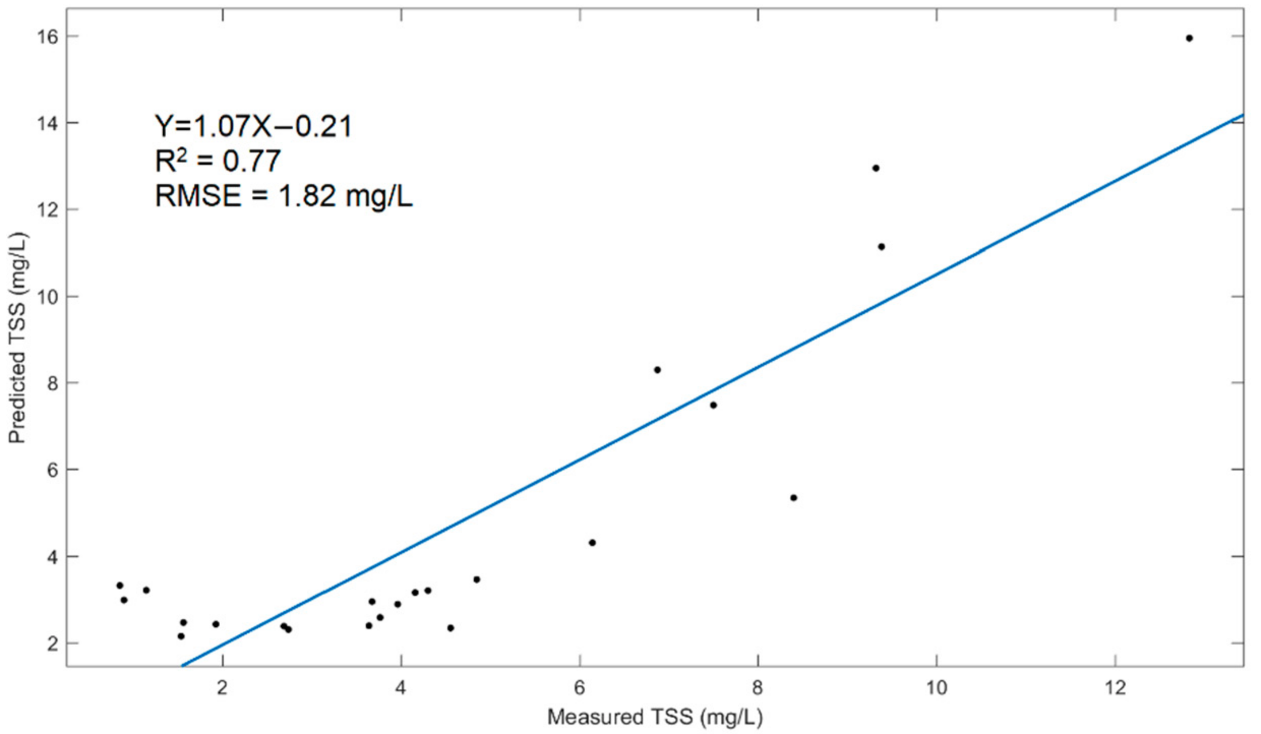
2.5. TSS Algorithm Development
3. Results
3.1. Spatiotemporal Distribution of TSS
3.2. Comparison of Landsat and GOCI
4. Discussion
4.1. Uncertainties
4.2. Dominant Drivers of TSS
4.2.1. Tide
4.2.2. River Discharge
4.2.3. Wind
5. Conclusions
Author Contributions
Funding
Conflicts of Interest
References
- Yang, G.; Jiang, T.; Zhao, Y.; Huang, J. Study on variation in chlorophyll-a concentration and its influencing factors of Jiaozhou Bay based on long term remote sensing images. Haiyang Xuebao 2019, 41, 183–190, (In Chinese with English Abstract). [Google Scholar]
- Yuan, Y.; Jalón-Rojas, I.; Wang, X.; Song, D. Design, construction and application of a regional ocean database: A case study in Jiaozhou Bay, China. Limnol. Oceanogr. Meth. 2019, 17, 210–222. [Google Scholar] [CrossRef]
- Zhang, Y.; Wu, Z.; Liu, M.; He, J.; Wang, M.; Yu, Z. Thermal structure and response to long-term climatic changes in Lake Qiandaohu, a deep subtropical reservoir in China. Limnol. Oceanogr. 2014, 59, 1193–1202. [Google Scholar] [CrossRef]
- Zhang, M. Distribution and seasonal variation of suspended matter in sea water of Jiaozhou Bay. Studia Mar. Sin. 2000, 2000, 49–54. (In Chinese) [Google Scholar]
- Bi, L.; Bai, J.; Zhao, Z.; Li, Y.; Yuan, Z. Characteristic of suspended particles in summer in Jiaozhou Bay. Mar. Environ. Sci. 2007, 6, 518–522, (In Chinese with English Abstract). [Google Scholar]
- Yu, S.; Mantravadi, V.S. Study on Distribution Characteristics of Suspended Sediment in Yellow River Estuary Based on Remote Sensing. J. Indian Soc. Remote Sens. 2019, 47, 1507–1513. [Google Scholar] [CrossRef]
- Zhang, M.; Tang, J.; Dong, Q.; Song, Q.; Ding, J. Retrieval of total suspended matter concentration in the Yellow and East China Seas from MODIS imagery. Remote Sens. Environ. 2009, 114, 114,392–403. [Google Scholar] [CrossRef]
- Hou, L.; Ma, A.; Hu, J.; Shan, G.; Deng, J.; Han, J.; Ding, Z. Study on remote sensing retrieval model optimization of suspended sediment concentration in Jiaozhou Bay. Period. Ocean Univ. China 2018, 48, 98–108, (In Chinese with English Abstract). [Google Scholar]
- Han, X.; Chen, X.; Feng, L. Four decades of winter wetland changes in Poyang Lake based on Landsat observations between 1973 and 2013. Remote Sens. Environ. 2015, 156, 426–437. [Google Scholar] [CrossRef]
- Benjamin, B.; Jochem, V.; Jean-Philippe, G. Assessment of Workflow Feature Selection on Forest LAI Prediction with Sentinel-2A MSI, Landsat 7 ETM+ and Landsat 8 OLI. Remote Sens. 2020, 12, 915. [Google Scholar]
- Yu, X.; Salama, M.S.; Shen, F.; Verhoef, W. Retrieval of the diffuse attenuation coefficient from GOCI images using the 2SeaColor model: A case study in the Yangtze Estuary. Remote Sens. Environ. 2016, 175, 109–119. [Google Scholar] [CrossRef] [Green Version]
- Xu, J.; Bao, J.; Yu, C.; Yang, F. Ocean Tides and Water Level Control; Wuhan University Press: Wuhan, China, 2020. (In Chinese) [Google Scholar]
- Li, M.; Kong, F.; Li, Y.; Zhang, J.; Xi, M. Ecological indication based on source, content, and structure characteristics of dissolved organic matter in surface sediment from Dagu River estuary, China. Environ. Sci. Pollut. Res. 2020, 27, 45499–45512. [Google Scholar] [CrossRef] [PubMed]
- Gao, Z.; Song, C.; Cai, Y.; Wang, M.; Feng, J.; Zhang, C. Construction and Practice of Hydrological Elements Monitoring System in Dagu River Basin; Water Resources and Hydropower Press: Beijing, China, 2017. (In Chinese) [Google Scholar]
- Feng, L.; Hu, C.; Chen, X. Influence of the Three Gorges Dam on total suspended matters in the Yangtze Estuary and its adjacent coastal waters: Observations from MODIS. Remote Sens. Environ. 2014, 140, 779–788. [Google Scholar] [CrossRef]
- Kuang, R.; Zhao, Y.; Luo, W.; Zhang, G.; Chen, Y. Study on inversion model of suspended sediment concentration based on optical classification of water body in Poyang Lake. J. China Hydrol. 2017, 37, 23–28. [Google Scholar]
- Yao, R.; Cai, L.; Liu, J.; Zhou, M. GF-1 Satellite Observations of Suspended Sediment Injection of Yellow River Estuary, China. Remote Sens. 2020, 12, 3126. [Google Scholar] [CrossRef]
- Huang, J.; Wu, M.; Cui, T.; Yang, F. Quantifying DOC and its controlling factors in major Arctic Rivers during ice-free conditions using Sentinel-2 data. Remote Sens. 2019, 11, 2904. [Google Scholar] [CrossRef] [Green Version]
- Gao, G.; Wang, X.; Bao, X.; Song, D.; Lin, X.; Qiao, L. The impacts of land reclamation on suspended-sediment dynamics in Jiaozhou Bay, Qingdao, China. Estuar. Coast. Shelf Sci. 2018, 206, 61–75. [Google Scholar] [CrossRef]
- Li, Y.; Wang, X. Tracking the multidecadal variability of the surface turbidity maximum zone in Hangzhou Bay, China. Int. J. Remote Sens. 2019, 40, 9519–9540. [Google Scholar] [CrossRef]
- He, X.; Bai, Y.; Pan, D.; Huang, N.; Dong, X.; Chen, J. Using geostationary satellite ocean color data to map the diurnal dynamics of suspended particulate matter in coastal waters. Remote Sens. Environ. 2013, 133, 225–239. [Google Scholar] [CrossRef]
- Wang, C.; Liu, Z.; Harris, C.K.; Wu, X.; Wang, H.; Bian, C.; Bi, N.; Duan, H.; Xu, J. The Impact of Winter Storms on Sediment Transport Through a Narrow Strait, Bohai, China. J. Geophys. Res. Ocean. 2020, 125, e2020JC016069. [Google Scholar] [CrossRef]
- Zhang, X.; Fichot, C.; Baracco, C.; Guo, R.; Neugebauer, S.; Bengtsson, Z.; Ganju, N.; Fagherazzi, S. Determining the drivers of suspended sediment dynamics in tidal marsh-influenced estuaries using high-resolution ocean color remote sensing. Remote Sens. Environ. 2020, 240, 111682. [Google Scholar] [CrossRef]
- Zhao, K.; Qiao, L.; Shi, J.; He, S.; Li, G.; Yin, P. Evolution of sedimentary dynamic environment in the western Jiaozhou Bay, Qingdao, China in the last 30 years. Estuar. Coast. Shelf Sci. 2015, 163, 244–253. [Google Scholar] [CrossRef]
- Ou, S.; Yang, Q.; Luo, X.; Zhu, F.; Luo, K.; Yang, H. The influence of runoff and wind on the dispersion patterns of suspended sediment in the Zhujiang(Pearl) River Estuary based on MODIS data. Acta Oceanol. Sin. 2019, 38, 26–35. [Google Scholar] [CrossRef]
- Anthony, R.; James, C.G.; Phillippe, E.T. Estuarine Suspended Sediment Dynamics: Observations Derived from over a Decade of Satellite Data. Front. Mar. Sci. 2017, 4, 233. [Google Scholar]
- Colosimo, I.; de Vet, P.L.M.; van Maren, D.S.; Reniers, A.J.H.M.; Winter, J.C.; van Prooijen, B.C. The Impact of Wind on Flow and Sediment Transport over Intertidal Flats. J. Mar. Sci. Eng. 2020, 8, 910. [Google Scholar] [CrossRef]
- Zarzuelo, C.; Lopez-Ruiz, A.; D’Alpaos, A.; Carniello, L.; Ortega-Sanchez, M. Assessing the morphodynamic response of human-altered tidal embayments. Geomorphology 2018, 320, 127–141. [Google Scholar] [CrossRef]
- Zhang, W.; Chi, W.; Hu, Z.; Liu, J.; Zhang, Y. Numerical study on the effect of the Jiaozhou Bay Bridge construction on the Hydrodynamic conditions in the surrounding sea area. Coast. Eng. 2015, 34, 40–50, (In Chinese with English Abstract). [Google Scholar]
- Yuan, Y.; Jalón-Rojas, I.; Wang, X. Impact of Coastal Infrastructure on Ocean Colour Remote Sensing: A Case Study in Jiaozhou Bay, China. Remote Sens. 2019, 11, 946. [Google Scholar] [CrossRef] [Green Version]












| Acquisition Date | Sampling Sites | Sensor Path/Row |
|---|---|---|
| 17 November 2015 | JZB05 JZB06 | TM 120/35 |
| 16 February 2011 | JZB01 JZB03 JZB04 JZB05 JZB06 JZB07 | ETM+ 120/35 |
| 11 May 2011 | JZB01 JZB03 JZB04 JZB05 JZB06 JZB07 | ETM+ 120/35 |
| 11 November 2011 | JZB01 JZB03 JZB04 JZB05 JZB06 JZB07 | ETM+ 120/35 |
| 19 August 2013 | JZB12 JZB13 | ETM+ 120/35 |
| Band Combination * | Correlation Coefficient (r) |
|---|---|
| (G + R)/(G/R) | 0.82 |
| G + R | 0.80 |
| NIR/R | 0.79 |
| (G + R)/(B/R) | 0.79 |
| (R − B)/(R + B) | 0.77 |
| B + R | 0.76 |
| B + NIR | 0.73 |
| R/G | 0.68 |
| Figure | Date | Sensors | Tidal Current Magnitude/ Direction | Wind Speed (m/s) | Wind Direction (°) | Dagu River Discharge (m3/s) | TSS (mg/L) | Dominant Condition |
|---|---|---|---|---|---|---|---|---|
| Figure 7a,c | 29 July 2014 | OLI | Spring tide/ebb | 2.9 | 180 | 4915.90 | 9.69 | Spring tide |
| Figure 7b,c | 8 July 2015 | ETM+ | Neap tide/ebb | 2.2 | 180 | 4915.90 | 6.89 | Neap tide |
| Figure 7d,f | 21 April 2013 | OLI | Moderate tide/flood | 3.6 | 22.5 | 729.75 | 7.92 | Flood tide |
| Figure 7e,f | 25 May 2009 | TM | Moderate tide/ebb | 2.7 | 22.5 | 1167.94 | 12.10 | Ebb tide |
| Figure 7g,i | 19 August 2013 | ETM+ | Moderate tide/flood | 2.3 | 337.5 | 18,983.77 | 12.19 | High river discharge |
| Figure 7h,i | 5 January 2012 | ETM+ | Moderate tide/flood | 1.8 | 337.5 | 45.37 | 7.90 | Low river discharge |
| Figure 7j,l | 11 February 2014 | OLI | Neap tide/flood | 6.9 | 315 | 192.23 | 10.16 | High wind speed |
| Figure 7k,l | 18 November 2014 | OLI | Neap tide/flood | 1.8 | 315 | 192.23 | 3.43 | Low wind speed |
| Figure 7m,o | 7 July 2013 | OLI | Moderate tide/flood | 3.2 | 0 | 1066.42 | 11.01 | Northern wind |
| Figure 7n,o | 24 April 2014 | OLI | Moderate tide/flood | 3.5 | 135 | 729.75 | 11.88 | Southeastern wind |
Publisher’s Note: MDPI stays neutral with regard to jurisdictional claims in published maps and institutional affiliations. |
© 2021 by the authors. Licensee MDPI, Basel, Switzerland. This article is an open access article distributed under the terms and conditions of the Creative Commons Attribution (CC BY) license (https://creativecommons.org/licenses/by/4.0/).
Share and Cite
Zhang, X.; Song, Y.; Chen, J.; Huang, J. Landsat Image-Based Retrieval and Analysis of Spatiotemporal Variation of Total Suspended Solid Concentration in Jiaozhou Bay, China. Remote Sens. 2021, 13, 4796. https://doi.org/10.3390/rs13234796
Zhang X, Song Y, Chen J, Huang J. Landsat Image-Based Retrieval and Analysis of Spatiotemporal Variation of Total Suspended Solid Concentration in Jiaozhou Bay, China. Remote Sensing. 2021; 13(23):4796. https://doi.org/10.3390/rs13234796
Chicago/Turabian StyleZhang, Xiang, Yu Song, Junjie Chen, and Jue Huang. 2021. "Landsat Image-Based Retrieval and Analysis of Spatiotemporal Variation of Total Suspended Solid Concentration in Jiaozhou Bay, China" Remote Sensing 13, no. 23: 4796. https://doi.org/10.3390/rs13234796
APA StyleZhang, X., Song, Y., Chen, J., & Huang, J. (2021). Landsat Image-Based Retrieval and Analysis of Spatiotemporal Variation of Total Suspended Solid Concentration in Jiaozhou Bay, China. Remote Sensing, 13(23), 4796. https://doi.org/10.3390/rs13234796

