PM2.5 Modeling and Historical Reconstruction over the Continental USA Utilizing GOES-16 AOD
Abstract
:1. Introduction
1.1. An Overview of PM Modeling and Estimation Approaches
1.2. A Machine Learning Approach Using Data from Geostationary Satellites
2. Materials and Methods
2.1. Data Sources and Pre-Processing
2.1.1. Nation Level PM Ground Observations
2.1.2. ECMWF Grid
2.1.3. GOES-16
2.1.4. Ancillary Data
2.2. Data Matching
2.3. Experiment Design
2.4. Machine Learning Approach
2.4.1. Random Forest
2.4.2. Extra Tree
3. Results
3.1. Model Comparison and Finalization
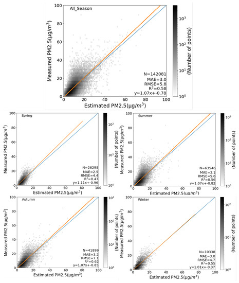
3.2. Model Validation by Seasons
3.3. Model Validation by Time of Day
3.4. Model Validation by Ancillary Data
3.4.1. Model Validation by Elevation and Population Density
3.4.2. Model Validation by Landcover
3.5. PM Reconstruction and Fire Events Visualization
4. Discussion
5. Conclusions
Author Contributions
Funding
Institutional Review Board Statement
Informed Consent Statement
Data Availability Statement
Acknowledgments
Conflicts of Interest
References
- Boucher, O. Atmospheric aerosols. In Atmospheric Aerosols; Springer: Berlin, Germany, 2015; pp. 9–24. [Google Scholar]
- Dubovik, O.; Holben, B.; Eck, T.F.; Smirnov, A.; Kaufman, Y.J.; King, M.D.; Tanré, D.; Slutsker, I. Variability of absorption and optical properties of key aerosol types observed in worldwide locations. J. Atmos. Sci. 2002, 59, 590–608. [Google Scholar] [CrossRef]
- Ramanathan, V.; Crutzen, P.; Kiehl, J.; Rosenfeld, D. Aerosols, climate, and the hydrological cycle. Science 2001, 294, 2119–2124. [Google Scholar] [CrossRef] [Green Version]
- Sun, Y.; Zhuang, G.; Tang, A.; Wang, Y.; An, Z. Chemical characteristics of PM2.5 and PM10 in haze-fog episodes in Beijing. Environ. Sci. Technol. 2006, 40, 3148–3155. [Google Scholar] [CrossRef] [PubMed]
- Zhang, R.; Tian, P.; Ji, Y.; Lin, Y.; Peng, J.; Pan, B.; Wang, Y.; Wang, G.; Li, G.; Wang, W.; et al. Overview of Persistent Haze Events in China. In Air Pollution in Eastern Asia: An Integrated Perspective; Springer: Berlin, Germany, 2017; pp. 3–25. [Google Scholar]
- Pope, C.A., III; Burnett, R.T.; Thun, M.J.; Calle, E.E.; Krewski, D.; Ito, K.; Thurston, G.D. Lung cancer, cardiopulmonary mortality, and long-term exposure to fine particulate air pollution. JAMA 2002, 287, 1132–1141. [Google Scholar] [CrossRef] [Green Version]
- Pope, C.A., III; Dockery, D.W. Health effects of fine particulate air pollution: Lines that connect. J. Air Waste Manag. Assoc. 2006, 56, 709–742. [Google Scholar] [CrossRef]
- Hua, J.; Yin, Y.; Peng, L.; Du, L.; Geng, F.; Zhu, L. Acute effects of black carbon and PM2.5 on children asthma admissions: A time-series study in a Chinese city. Sci. Total Environ. 2014, 481, 433–438. [Google Scholar] [CrossRef]
- Lim, S.S.; Vos, T.; Flaxman, A.D.; Danaei, G.; Shibuya, K.; Adair-Rohani, H.; AlMazroa, M.A.; Amann, M.; Anderson, H.R.; Andrews, K.G.; et al. A comparative risk assessment of burden of disease and injury attributable to 67 risk factors and risk factor clusters in 21 regions, 1990–2010: A systematic analysis for the Global Burden of Disease Study 2010. Lancet 2012, 380, 2224–2260. [Google Scholar] [CrossRef] [Green Version]
- Yu, W.; Liu, S.; Jiang, J.; Chen, G.; Luo, H.; Fu, Y.; Xie, L.; Li, B.; Li, N.; Chen, S.; et al. Burden of ischemic heart disease and stroke attributable to exposure to atmospheric PM2.5 in Hubei province, China. Atmos. Environ. 2020, 221, 117079. [Google Scholar] [CrossRef]
- Bartell, S.M.; Longhurst, J.; Tjoa, T.; Sioutas, C.; Delfino, R.J. Particulate air pollution, ambulatory heart rate variability, and cardiac arrhythmia in retirement community residents with coronary artery disease. Environ. Health Perspect. 2013, 121, 1135–1141. [Google Scholar] [CrossRef]
- Lary, M.A.; Allsopp, L.; Lary, D.J.; Sterling, D.A. Using machine learning to examine the relationship between asthma and absenteeism. Environ. Monit. Assess. 2019, 191, 332. [Google Scholar] [CrossRef]
- Clark, N.M.; Brown, R.; Joseph, C.L.; Anderson, E.W.; Liu, M.; Valerio, M.A. Effects of a comprehensive school-based asthma program on symptoms, parent management, grades, and absenteeism. Chest 2004, 125, 1674–1679. [Google Scholar] [CrossRef] [PubMed]
- Tsakiris, A.; Iordanidou, M.; Paraskakis, E.; Tsalkidis, A.; Rigas, A.; Zimeras, S.; Katsardis, C.; Chatzimichael, A. The presence of asthma, the use of inhaled steroids, and parental education level affect school performance in children. BioMed Res. Int. 2013, 2013, 762805. [Google Scholar] [CrossRef] [Green Version]
- EPA. Air Quality System (AQS) API. 2020. Available online: https://aqs.epa.gov/aqsweb/documents/data_api.html (accessed on 22 November 2021).
- Lary, D.J.; Alavi, A.H.; Gandomi, A.H.; Walker, A.L. Machine learning in geosciences and remote sensing. Geosci. Front. 2016, 7, 3–10. [Google Scholar] [CrossRef] [Green Version]
- Lary, D.J.; Zewdie, G.K.; Liu, X.; Wu, D.; Levetin, E.; Allee, R.J.; Malakar, N.; Walker, A.; Mussa, H.; Mannino, A.; et al. Machine Learning Applications for Earth Observation. In Earth Observation Open Science and Innovation; ISSI Scientific Report Series; Springer: Berlin, Germany, 2018; Volume 15, pp. 165–218. [Google Scholar]
- Zewdie, G.K.; Lary, D.J.; Liu, X.; Wu, D.; Levetin, E. Estimating the daily pollen concentration in the atmosphere using machine learning and NEXRAD weather radar data. Environ. Monit. Assess. 2019, 191, 418. [Google Scholar] [CrossRef] [PubMed]
- Wijeratne, L.O.; Kiv, D.R.; Aker, A.R.; Talebi, S.; Lary, D.J. Using Machine Learning for the Calibration of Airborne Particulate Sensors. Sensors 2020, 20, 99. [Google Scholar] [CrossRef] [PubMed] [Green Version]
- Lary, D.J.; Faruque, F.S.; Malakar, N.; Moore, A.; Roscoe, B.; Adams, Z.L.; Eggelston, Y. Estimating the global abundance of ground level presence of particulate matter (PM2.5). Geospat. Health 2014, 8, 611–630. [Google Scholar] [CrossRef]
- Lary, D.; Lary, T.; Sattler, B. Using Machine Learning to Estimate Global PM2.5 for Environmental Health Studies. Environ. Health Insights 2015, 1, 41–52. [Google Scholar] [CrossRef]
- Zang, Z.; Li, D.; Guo, Y.; Shi, W.; Yan, X. Superior PM2.5 Estimation by Integrating Aerosol Fine Mode Data from the Himawari-8 Satellite in Deep and Classical Machine Learning Models. Remote Sens. 2021, 13, 2779. [Google Scholar] [CrossRef]
- Liu, J.; Weng, F.; Li, Z.; Cribb, M.C. Hourly PM2.5 estimates from a geostationary satellite based on an ensemble learning algorithm and their spatiotemporal patterns over central east China. Remote Sens. 2019, 11, 2120. [Google Scholar] [CrossRef] [Green Version]
- Engel-Cox, J.A.; Hoff, R.M.; Haymet, A. Recommendations on the use of satellite remote-sensing data for urban air quality. J. Air Waste Manag. Assoc. 2004, 54, 1360–1371. [Google Scholar] [CrossRef]
- Hoff, R.M.; Christopher, S.A. Remote sensing of particulate pollution from space: Have we reached the promised land? J. Air Waste Manag. Assoc. 2009, 59, 645–675. [Google Scholar] [CrossRef] [PubMed]
- Song, W.; Jia, H.; Huang, J.; Zhang, Y. A satellite-based geographically weighted regression model for regional PM2.5 estimation over the Pearl River Delta region in China. Remote Sens. Environ. 2014, 154, 1–7. [Google Scholar] [CrossRef]
- Zheng, C.; Zhao, C.; Zhu, Y.; Wang, Y.; Shi, X.; Wu, X.; Chen, T.; Wu, F.; Qiu, Y. Analysis of influential factors for the relationship between PM2.5 and AOD in Beijing. Atmos. Chem. Phys. 2017, 17, 13473–13489. [Google Scholar] [CrossRef] [Green Version]
- Zhang, H.; Hoff, R.M.; Engel-Cox, J.A. The relation between Moderate Resolution Imaging Spectroradiometer (MODIS) aerosol optical depth and PM2.5 over the United States: A geographical comparison by US Environmental Protection Agency regions. J. Air Waste Manag. Assoc. 2009, 59, 1358–1369. [Google Scholar] [CrossRef] [Green Version]
- Yang, Q.; Yuan, Q.; Yue, L.; Li, T.; Shen, H.; Zhang, L. The relationships between PM2.5 and aerosol optical depth (AOD) in mainland China: About and behind the spatio-temporal variations. Environ. Pollut. 2019, 248, 526–535. [Google Scholar] [CrossRef]
- Drury, E.; Jacob, D.J.; Spurr, R.J.; Wang, J.; Shinozuka, Y.; Anderson, B.E.; Clarke, A.D.; Dibb, J.; McNaughton, C.; Weber, R. Synthesis of satellite (MODIS), aircraft (ICARTT), and surface (IMPROVE, EPA-AQS, AERONET) aerosol observations over eastern North America to improve MODIS aerosol retrievals and constrain surface aerosol concentrations and sources. J. Geophys. Res. Atmos. 2010, 115, D14204. [Google Scholar] [CrossRef] [Green Version]
- Just, A.C.; De Carli, M.M.; Shtein, A.; Dorman, M.; Lyapustin, A.; Kloog, I. Correcting measurement error in satellite aerosol optical depth with machine learning for modeling PM2.5 in the Northeastern USA. Remote Sens. 2018, 10, 803. [Google Scholar] [CrossRef] [Green Version]
- Li, L. A robust deep learning approach for spatiotemporal estimation of satellite AOD and PM2.5. Remote Sens. 2020, 12, 264. [Google Scholar] [CrossRef] [Green Version]
- Li, T.; Shen, H.; Yuan, Q.; Zhang, X.; Zhang, L. Estimating ground-level PM2.5 by fusing satellite and station observations: A geo-intelligent deep learning approach. Geophys. Res. Lett. 2017, 44, 11–985. [Google Scholar] [CrossRef] [Green Version]
- Jung, C.R.; Chen, W.T.; Nakayama, S.F. A National-Scale 1-km Resolution PM2.5 Estimation Model over Japan Using MAIAC AOD and a Two-Stage Random Forest Model. Remote Sens. 2021, 13, 3657. [Google Scholar] [CrossRef]
- Schneider, R.; Vicedo-Cabrera, A.M.; Sera, F.; Masselot, P.; Stafoggia, M.; de Hoogh, K.; Kloog, I.; Reis, S.; Vieno, M.; Gasparrini, A. A satellite-based spatio-temporal machine learning model to reconstruct daily PM2.5 concentrations across Great Britain. Remote Sens. 2020, 12, 3803. [Google Scholar] [CrossRef]
- Tang, Y.; Deng, R.; Li, J.; Liang, Y.; Xiong, L.; Liu, Y.; Zhang, R.; Hua, Z. Estimation of Ultrahigh Resolution PM2.5 Mass Concentrations Based on Mie Scattering Theory by Using Landsat8 OLI Images over Pearl River Delta. Remote Sens. 2021, 13, 2463. [Google Scholar] [CrossRef]
- Geng, G.; Zhang, Q.; Martin, R.V.; van Donkelaar, A.; Huo, H.; Che, H.; Lin, J.; He, K. Estimating long-term PM2.5 concentrations in China using satellite-based aerosol optical depth and a chemical transport model. Remote Sens. Environ. 2015, 166, 262–270. [Google Scholar] [CrossRef]
- Beckerman, B.S.; Jerrett, M.; Serre, M.; Martin, R.V.; Lee, S.J.; Van Donkelaar, A.; Ross, Z.; Su, J.; Burnett, R.T. A hybrid approach to estimating national scale spatiotemporal variability of PM2.5 in the contiguous United States. Environ. Sci. Technol. 2013, 47, 7233–7241. [Google Scholar] [CrossRef] [PubMed] [Green Version]
- Wu, D.; Lary, D.J.; Zewdie, G.K.; Liu, X. Using machine learning to understand the temporal morphology of the PM2.5 annual cycle in East Asia. Environ. Monit. Assess. 2019, 191, 272. [Google Scholar] [CrossRef] [PubMed]
- Liu, X.; Wu, D.; Zewdie, G.K.; Wijerante, L.; Timms, C.I.; Riley, A.; Levetin, E.; Lary, D.J. Using machine learning to estimate atmospheric Ambrosia pollen concentrations in Tulsa, OK. Environ. Health Insights 2017, 11, 1178630217699399. [Google Scholar] [CrossRef] [Green Version]
- Breiman, L. Random forests. Mach. Learn. 2001, 45, 5–32. [Google Scholar] [CrossRef] [Green Version]
- Bin, C.; Song, Z.; Pan, F.; Huang, Y. Obtaining vertical distribution of PM2.5 from CALIOP data and machine learning algorithms. Sci. Total Environ. 2021, 805, 150338. [Google Scholar]
- Geurts, P.; Ernst, D.; Wehenkel, L. Extremely randomized trees. Mach. Learn. 2006, 63, 3–42. [Google Scholar] [CrossRef] [Green Version]
- Han, S.; Sun, B. Impact of population density on PM2.5 concentrations: A case study in Shanghai, China. Sustainability 2019, 11, 1968. [Google Scholar] [CrossRef] [Green Version]
- Alvarez, H.B.; Echeverria, R.S.; Alvarez, P.S.; Krupa, S. Air quality standards for particulate matter (PM) at high altitude cities. Environ. Pollut. 2013, 173, 255–256. [Google Scholar] [CrossRef] [PubMed]
- Yang, W.; Jiang, X. Evaluating the influence of land use and land cover change on fine particulate matter. Sci. Rep. 2021, 11, 17612. [Google Scholar] [CrossRef] [PubMed]
- Gopalakrishnan, V.; Hirabayashi, S.; Ziv, G.; Bakshi, B.R. Air quality and human health impacts of grasslands and shrublands in the United States. Atmos. Environ. 2018, 182, 193–199. [Google Scholar] [CrossRef] [Green Version]
- Langmann, B.; Duncan, B.; Textor, C.; Trentmann, J.; Van Der Werf, G.R. Vegetation fire emissions and their impact on air pollution and climate. Atmos. Environ. 2009, 43, 107–116. [Google Scholar] [CrossRef]
- Hayasaka, H.; Noguchi, I.; Putra, E.I.; Yulianti, N.; Vadrevu, K. Peat-fire-related air pollution in Central Kalimantan, Indonesia. Environ. Pollut. 2014, 195, 257–266. [Google Scholar] [CrossRef]
- Marlier, M.E.; DeFries, R.S.; Voulgarakis, A.; Kinney, P.L.; Randerson, J.T.; Shindell, D.T.; Chen, Y.; Faluvegi, G. El Niño and health risks from landscape fire emissions in southeast Asia. Nat. Clim. Chang. 2013, 3, 131–136. [Google Scholar] [CrossRef] [Green Version]
- World Health Organization. Air Quality Guidelines: Global Update 2005: Particulate Matter, Ozone, Nitrogen Dioxide, and Sulfur Dioxide; World Health Organization: Geneva, Switzerland, 2006. [Google Scholar]














| Source | Var Name | Description |
|---|---|---|
| ECMWF | u10 | Eastward component of 10 m wind |
| v10 | Northward component of the 10 m wind | |
| d2m | Dewpoint temperature at 2 m | |
| t2m | Temperature at 2 m | |
| lai_hv | Leaf area index, high vegetation | |
| lai_lv | Leaf area index, low vegetation | |
| sp | Surface pressure | |
| blh | Boundary layer hight | |
| GOES-16 | AOD | Aerosol Optical Depth |
| DQF | Data Quality Flag | |
| Solar Angles | SAA | Solar Azimuth Angle |
| SZA | Solar Zenith Angle | |
| Ancillary Data | popden | Population Density |
| landcover | Landcover Type | |
| soil | Soil Type | |
| glim | Global Lithology Type | |
| gebco | Elevations |
| Model Name | ECMWF | AOD | Ancillary | Mean R | STD |
|---|---|---|---|---|---|
| Base Model | ✓ | 0.467 | 0.012 | ||
| Base_Ancillary Model | ✓ | ✓ | 0.532 | 0.01 | |
| Base_AOD Model | ✓ | ✓ | 0.538 | 0.01 | |
| Full Model | ✓ | ✓ | ✓ | 0.586 | 0.01 |
| Bin | Breaks (m) | MM (g/m) | MAE | RMSE | R | N |
|---|---|---|---|---|---|---|
| 1 | 121 | 9.5 | 3.2 | 6.2 | 0.63 | 53,668 |
| 2 | 271 | 8.9 | 3 | 5.1 | 0.54 | 43,415 |
| 3 | 538 | 7.8 | 2.7 | 4.7 | 0.47 | 28,284 |
| 4 | 976 | 7.1 | 2.8 | 4.9 | 0.67 | 8362 |
| 5 | 1444 | 8.2 | 3.1 | 5.6 | 0.64 | 3861 |
| 6 | 3021 | 8.3 | 3.1 | 8.6 | 0.53 | 4411 |
| Bin | Breaks (Person/) | MM | MAE | RMSE | R | N |
|---|---|---|---|---|---|---|
| 1 | 957 | 8.7 | 3 | 5.6 | 0.56 | 67,034 |
| 2 | 2413 | 8.6 | 3 | 6 | 0.56 | 41,015 |
| 3 | 4065 | 9.1 | 2.8 | 4.9 | 0.73 | 21,309 |
| 4 | 6467 | 9.2 | 3.1 | 5.7 | 0.61 | 8294 |
| 5 | 13,254 | 9.4 | 3 | 5 | 0.62 | 2007 |
| 6 | 22,391 | 8.2 | 2.5 | 3.5 | 0.44 | 230 |
| Landcover Type | MM (g/m) | MAE | RMSE | R | N |
|---|---|---|---|---|---|
| Water | 7.6 | 2.5 | 3.6 | 0.52 | 3205 |
| Forest | 7.7 | 2.6 | 4.1 | 0.55 | 8111 |
| Wetland | 7.7 | 2.7 | 3.9 | 0.48 | 1881 |
| Hay/Pasture | 8.3 | 2.9 | 4 | 0.46 | 3079 |
| Developed | 8.8 | 2.9 | 5.4 | 0.6 | 111,585 |
| Cultivated Crop | 9.2 | 3.5 | 6.3 | 0.58 | 6100 |
| Shrub | 9.6 | 4.4 | 9.9 | 0.54 | 3895 |
| Grass | 10.1 | 4.2 | 9.6 | 0.62 | 3650 |
| Main Fires | Start Date |
|---|---|
| AUGUST COMPLEX | 20 August |
| MENDOCINO COMPLEX | 18 July |
| SCU LIGHTNING COMPLEX | 20 August |
| CREEK | 20 September |
| LNU LIGHTNING COMPLEX | 20 August |
| NORTH COMPLEX | 20 August |
| THOMAS | 17 December |
| CAAR | 18 July |
| CA | Nationwide | |||||
|---|---|---|---|---|---|---|
| Cases | Mean | Median | Std | Mean | Median | Std |
| Fire | 17.6 | 15 | 11.8 | 9.8 | 8.7 | 5.7 |
| Without Fire | 9 | 8.2 | 3.5 | 7.7 | 7.6 | 2.4 |
| ALL | 11.7 | 11 | 4.6 | 8.4 | 8.2 | 2.9 |
| Platform | Instrument | Spatial Resolution | Temporal Resolution | Orbit |
|---|---|---|---|---|
| Terra/Aqua | MODIS | 10/3/1 km | 1 to 2 days | Polar |
| Suoni NPP | VIIRS | 0.75/6 km | 12 h | Polar |
| Himawari8 | AHI | 2 km | 10/2.5 min | Geos |
| GOES-16 | ABI | 2 km | 5 min | Geos |
Publisher’s Note: MDPI stays neutral with regard to jurisdictional claims in published maps and institutional affiliations. |
© 2021 by the authors. Licensee MDPI, Basel, Switzerland. This article is an open access article distributed under the terms and conditions of the Creative Commons Attribution (CC BY) license (https://creativecommons.org/licenses/by/4.0/).
Share and Cite
Yu, X.; Lary, D.J.; Simmons, C.S. PM2.5 Modeling and Historical Reconstruction over the Continental USA Utilizing GOES-16 AOD. Remote Sens. 2021, 13, 4788. https://doi.org/10.3390/rs13234788
Yu X, Lary DJ, Simmons CS. PM2.5 Modeling and Historical Reconstruction over the Continental USA Utilizing GOES-16 AOD. Remote Sensing. 2021; 13(23):4788. https://doi.org/10.3390/rs13234788
Chicago/Turabian StyleYu, Xiaohe, David J. Lary, and Christopher S. Simmons. 2021. "PM2.5 Modeling and Historical Reconstruction over the Continental USA Utilizing GOES-16 AOD" Remote Sensing 13, no. 23: 4788. https://doi.org/10.3390/rs13234788
APA StyleYu, X., Lary, D. J., & Simmons, C. S. (2021). PM2.5 Modeling and Historical Reconstruction over the Continental USA Utilizing GOES-16 AOD. Remote Sensing, 13(23), 4788. https://doi.org/10.3390/rs13234788

