Use of Multi-Seasonal Satellite Images to Predict SOC from Cultivated Lands in a Montane Ecosystem
Abstract
:1. Introduction
2. Materials and Methods
2.1. Study Area
2.2. Land Cover Mapping
2.3. Soil Sampling and Laboratory Analysis
2.4. Covariates
2.5. Prediction Models
- Model 1. Sentinel-2 (Feb)
 - Model 2. Sentinel-2 (May)
 - Model 3. Sentinel-2 (Nov)
 - Model 4. Sentinel-2 (Feb, May, Nov)
 - Model 5. Terrain only
 - Model 6. Terrain + Sentinel-2 (Feb)
 - Model 7. Terrain + Sentinel-2 (May)
 - Model 8. Terrain + Sentinel-2 (Nov)
 - Model 9. All (Terrain + Sentinel-2 (Feb, May, Nov))
 
2.6. Model Evaluation and Uncertainty
2.6.1. Evaluation of Prediction
2.6.2. Measure of Prediction Uncertainty
3. Results
3.1. Land Cover Map
3.2. General Statistics
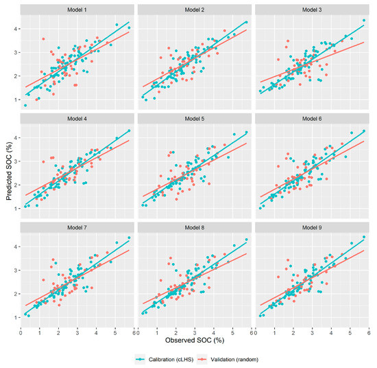
3.3. Evaluation of Prediction Models
3.4. Spatial Distribution of SOC in the Catchment
3.5. Uncertainty Assessment
3.6. Variable Importance
4. Discussion
5. Conclusions
Author Contributions
Funding
Acknowledgments
Conflicts of Interest
References
- Drewniak, B.; Mishra, U.; Song, J.; Prell, J.; Kotamarthi, V. Modeling the impact of agricultural land use and management on US carbon budgets. Biogeosciences 2015, 12, 2119–2129. [Google Scholar] [CrossRef] [Green Version]
 - Ren, W.; Banger, K.; Tao, B.; Yang, J.; Huang, Y.; Tian, H. Global pattern and change of cropland soil organic carbon during 1901–2010: Roles of climate, atmospheric chemistry, land use and management. Geogr. Sustain. 2020, 1, 59–69. [Google Scholar] [CrossRef]
 - McHunu, C.; Chaplot, V. Land degradation impact on soil carbon losses through water erosion and CO2 emissions. Geoderma 2012, 177–178, 72–79. [Google Scholar] [CrossRef]
 - de Gruijter, J.J.; McBratney, A.B.; Minasny, B.; Wheeler, I.; Malone, B.P.; Stockmann, U. Farm-scale soil carbon auditing. Geoderma 2016, 265, 120–130. [Google Scholar] [CrossRef]
 - Vaudour, E.; Gomez, C.; Lagacherie, P.; Loiseau, T.; Baghdadi, N.; Urbina-Salazar, D.; Loubet, B.; Arrouays, D. Temporal mosaicking approaches of Sentinel-2 images for extending topsoil organic carbon content mapping in croplands. Int. J. Appl. Earth Obs. Geoinf. 2021, 96, 102277. [Google Scholar] [CrossRef]
 - Zhou, T.; Geng, Y.; Ji, C.; Xu, X.; Wang, H.; Pan, J.; Bumberger, J.; Haase, D.; Lausch, A. Prediction of soil organic carbon and the C:N ratio on a national scale using machine learning and satellite data: A comparison between Sentinel-2, Sentinel-3 and Landsat-8 images. Sci. Total Environ. 2021, 755, 142661. [Google Scholar] [CrossRef] [PubMed]
 - Vaudour, E.; Gomez, C.; Loiseau, T.; Baghdadi, N.; Loubet, B.; Arrouays, D.; Ali, L.; Lagacherie, P. The Impact of Acquisition Date on the Prediction Performance of Topsoil Organic Carbon from Sentinel-2 for Croplands. Remote Sens. 2019, 11, 2143. [Google Scholar] [CrossRef] [Green Version]
 - Fathololoumi, S.; Vaezi, A.R.; Alavipanah, S.K.; Ghorbani, A.; Saurette, D.; Biswas, A. Improved digital soil mapping with multitemporal remotely sensed satellite data fusion: A case study in Iran. Sci. Total Environ. 2020, 721, 137703. [Google Scholar] [CrossRef]
 - McBratney, A.B.; Mendonça Santos, M.L.; Minasny, B. On digital soil mapping. Geoderma 2003, 117, 3–52. [Google Scholar] [CrossRef]
 - Rawlins, B.G.; Marchant, B.P.; Smyth, D.; Scheib, C.; Lark, R.M.; Jordan, C. Airborne radiometric survey data and a DTM as covariates for regional scale mapping of soil organic carbon across Northern Ireland. Eur. J. Soil Sci. 2009, 60, 44–54. [Google Scholar] [CrossRef] [Green Version]
 - Taghizadeh-Mehrjardi, R.; Nabiollahi, K.; Kerry, R. Digital mapping of soil organic carbon at multiple depths using different data mining techniques in Baneh region, Iran. Geoderma 2016, 266, 98–110. [Google Scholar] [CrossRef]
 - Peng, Y.; Xiong, X.; Adhikari, K.; Knadel, M.; Grunwald, S.; Greve, M.H. Modeling soil organic carbon at regional scale by combining multi-spectral images with laboratory spectra. PLoS ONE 2015, 10, e0142295. [Google Scholar] [CrossRef] [Green Version]
 - Angelopoulou, T.; Tziolas, N.; Balafoutis, A.; Zalidis, G.; Bochtis, D. Remote Sensing Techniques for Soil Organic Carbon Estimation: A Review. Remote Sens. 2019, 11, 676. [Google Scholar] [CrossRef] [Green Version]
 - Castaldi, F.; Hueni, A.; Chabrillat, S.; Ward, K.; Buttafuoco, G.; Bomans, B.; Vreys, K.; Brell, M.; van Wesemael, B. Evaluating the capability of the Sentinel 2 data for soil organic carbon prediction in croplands. ISPRS J. Photogramm. Remote Sens. 2019, 147, 267–282. [Google Scholar] [CrossRef]
 - Gholizadeh, A.; Žižala, D.; Saberioon, M.; Borůvka, L. Soil organic carbon and texture retrieving and mapping using proximal, airborne and Sentinel-2 spectral imaging. Remote Sens. Environ. 2018, 218, 89–103. [Google Scholar] [CrossRef]
 - Li, X.; Ding, J.; Liu, J.; Ge, X.; Zhang, J. Digital Mapping of Soil Organic Carbon Using Sentinel Series Data: A Case Study of the Ebinur Lake Watershed in Xinjiang. Remote Sens. 2021, 13, 769. [Google Scholar] [CrossRef]
 - Dou, X.; Wang, X.; Liu, H.; Zhang, X.; Meng, L.; Pan, Y.; Yu, Z.; Cui, Y. Prediction of soil organic matter using multi-temporal satellite images in the Songnen Plain, China. Geoderma 2019, 356, 113896. [Google Scholar] [CrossRef]
 - Hill, J.; Schütt, B. Mapping Complex Patterns of Erosion and Stability in Dry Mediterranean Ecosystems. Remote Sens. Environ. 2000, 74, 557–569. [Google Scholar] [CrossRef]
 - Kauth, R.J.; Thomas, G. The tasselled cap—A graphic description of the spectral-temporal development of agricultural crops as seen by Landsat. In Proceedings of the LARS Symposia, West Lafayette, IN, USA, 29 June–1 July 1976; p. 159. [Google Scholar]
 - ESRI. Tasseled Cap Function. Available online: https://pro.arcgis.com/en/pro-app/latest/help/analysis/raster-functions/tasseled-cap-function.htm (accessed on 30 June 2021).
 - Tadono, T.; Takaku, J.; Tsutsui, K.; Oda, F.; Nagai, H. Status of “ALOS World 3D (AW3D)” global DSM generation. In Proceedings of the 2015 IEEE International Geoscience and Remote Sensing Symposium (IGARSS), Milan, Italy, 26–31 July 2015; pp. 3822–3825. [Google Scholar]
 - Talchabhadel, R.; Karki, R.; Thapa, B.R.; Maharjan, M.; Parajuli, B. Spatio-temporal variability of extreme precipitation in Nepal. Int. J. Climatol. 2018, 38, 4296–4313. [Google Scholar] [CrossRef]
 - NARC/AFACI. 3rd Annual Technical Report on Agro-Meteorological Information for the Adaptation to Climate Change in Nepal; NARC/AFACI—AMIS Project: Khumaltar, Lalitpur, Nepal, 2015. [Google Scholar]
 - Lamichhane, S.; Kumar, L.; Adhikari, K. Updating the national soil map of Nepal through digital soil mapping. Geoderma 2021, 394, 115041. [Google Scholar] [CrossRef]
 - Exelis Visual Information Solutions; ENVI, 5.5; L3 Harris Geospatial: Boulder, CO, USA, 2019.
 - Minasny, B.; McBratney, A.B. A conditioned Latin hypercube method for sampling in the presence of ancillary information. Comput. Geosci. 2006, 32, 1378–1388. [Google Scholar] [CrossRef]
 - Brus, D. Design-based and model-based sampling strategies for soil monitoring. In Proceedings of the 19th World Congress of Soil Science, Solutions for a Changing World, Brisbane, Australia, 1–6 August 2010. [Google Scholar]
 - Brus, D.J.; Kempen, B.; Heuvelink, G.B.M. Sampling for validation of digital soil maps. Eur. J. Soil Sci. 2011, 62, 394–407. [Google Scholar] [CrossRef]
 - Walkley, A.J.; Black, I.A. Estimation of soil organic carbon by the chromic acid titration method. Soil Sci. 1934, 37, 29–38. [Google Scholar] [CrossRef]
 - Nelson, D.W.; Sommers, L.E. Total Carbon, Organic Carbon, and Organic Matter. In Methods of Soil Analysis Part 3—Chemical Methods; Sparks, D.L., Page, A.L., Helmke, P.A., Loeppert, R.H., Eds.; SSSA Book Series; Soil Science Society of America, American Society of Agronomy: Madison, WI, USA, 1996; pp. 961–1010. [Google Scholar]
 - Van Bemmelen, J. Über die Bestimmung des Wassers, des Humus, des Schwefels, der in den colloïdalen Silikaten gebundenen Kieselsäure, des Mangans usw im Ackerboden. Die Landwirthschaftlichen Versuchs-Stationen 1890, 37, e290. [Google Scholar]
 - Conrad, O.; Bechtel, B.; Bock, M.; Dietrich, H.; Fischer, E.; Gerlitz, L.; Wehberg, J.; Wichmann, V.; Böhner, J. System for automated geoscientific analyses (SAGA) v. 2.1. 4. Geosci. Model Dev. Discuss. 2015, 8, 1991–2007. [Google Scholar] [CrossRef] [Green Version]
 - Shi, T.; Xu, H. Derivation of Tasseled Cap Transformation Coefficients for Sentinel-2 MSI At-Sensor Reflectance Data. IEEE J. Sel. Top. Appl. Earth Obs. Remote Sens. 2019, 12, 4038–4048. [Google Scholar] [CrossRef]
 - Pasqualotto, N.; Delegido, J.; Van Wittenberghe, S.; Rinaldi, M.; Moreno, J. Multi-crop green LAI estimation with a new simple Sentinel-2 LAI Index (SeLI). Sensors 2019, 19, 904. [Google Scholar] [CrossRef] [PubMed] [Green Version]
 - Lindsay, J.B. WhiteboxTools User Manual; Geomorphometry and Hydrogeomatics Research Group, University of Guelph: Guelph, ON, Canada, 2018. [Google Scholar]
 - Kumar, L.; Skidmore, A.K.; Knowles, E. Modelling topographic variation in solar radiation in a GIS environment. Int. J. Geogr. Inf. Sci. 1997, 11, 475–497. [Google Scholar] [CrossRef]
 - Breiman, L. Random Forests. Mach. Learn. 2001, 45, 5–32. [Google Scholar] [CrossRef] [Green Version]
 - Lamichhane, S.; Kumar, L.; Wilson, B. Digital soil mapping algorithms and covariates for soil organic carbon mapping and their implications: A review. Geoderma 2019, 352, 395–413. [Google Scholar] [CrossRef]
 - Forkuor, G.; Hounkpatin, O.K.L.; Welp, G.; Thiel, M. High resolution mapping of soil properties using Remote Sensing variables in south-western Burkina Faso: A comparison of machine learning and multiple linear regression models. PLoS ONE 2017, 12, e0170478. [Google Scholar] [CrossRef]
 - Zeraatpisheh, M.; Ayoubi, S.; Jafari, A.; Tajik, S.; Finke, P. Digital mapping of soil properties using multiple machine learning in a semi-arid region, central Iran. Geoderma 2019, 338, 445–452. [Google Scholar] [CrossRef]
 - Hengl, T.; Nussbaum, M.; Wright, M.N.; Heuvelink, G.B.M.; Gräler, B. Random forest as a generic framework for predictive modeling of spatial and spatio-temporal variables. PeerJ 2018, 6, e5518. [Google Scholar] [CrossRef] [PubMed] [Green Version]
 - Meinshausen, N. Quantile regression forests. J. Mach. Learn. Res. 2006, 7, 983–999. [Google Scholar]
 - Vaysse, K.; Lagacherie, P. Using quantile regression forest to estimate uncertainty of digital soil mapping products. Geoderma 2017, 291, 55–64. [Google Scholar] [CrossRef]
 - Dharumarajan, S.; Kalaiselvi, B.; Suputhra, A.; Lalitha, M.; Vasundhara, R.; Kumar, K.S.A.; Nair, K.M.; Hegde, R.; Singh, S.K.; Lagacherie, P. Digital soil mapping of soil organic carbon stocks in Western Ghats, South India. Geoderma Reg. 2021, 25, e00387. [Google Scholar] [CrossRef]
 - Meinshausen, N. Quantregforest: Quantile Regression Forests; R Package Version 1.3-7; Zurich, Switzerland, 2017; Available online: https://cran.r-project.org/web/packages/quantregForest/index.html (accessed on 6 September 2021).
 - R Core Team. R: A Language and Environment for Statistical Computing; The R Foundation for Statistical Computing: Vienna, Austria, 2020. [Google Scholar]
 - Yigini, Y.; Olmedo, G.F.; Reiter, S.; Baritz, R.; Viatkin, K.; Vargas, R. (Eds.) Soil Organic Carbon Mapping Cookbook, 2nd ed.; FAO: Rome, Italy, 2018; p. 220. [Google Scholar]
 - Ploton, P.; Mortier, F.; Réjou-Méchain, M.; Barbier, N.; Picard, N.; Rossi, V.; Dormann, C.; Cornu, G.; Viennois, G.; Bayol, N.; et al. Spatial validation reveals poor predictive performance of large-scale ecological mapping models. Nat. Commun. 2020, 11, 4540. [Google Scholar] [CrossRef]
 - Moran, P.A. Notes on continuous stochastic phenomena. Biometrika 1950, 37, 17–23. [Google Scholar] [CrossRef]
 - Ghimire, R.; Lamichhane, S.; Acharya, B.S.; Bista, P.; Sainju, U.M. Tillage, crop residue, and nutrient management effects on soil organic carbon in rice-based cropping systems: A review. J. Integr. Agric. 2017, 16, 1–15. [Google Scholar] [CrossRef]
 - Baldock, J.A. Composition and Cycling of Organic Carbon in Soil. In Nutrient Cycling in Terrestrial Ecosystems; Marschner, P., Rengel, Z., Eds.; Springer: Berlin/Heidelberg, Germany, 2007; pp. 1–35. [Google Scholar]
 - Wang, Y.; Wang, S.; Adhikari, K.; Wang, Q.; Sui, Y.; Xin, G. Effect of cultivation history on soil organic carbon status of arable land in northeastern China. Geoderma 2019, 342, 55–64. [Google Scholar] [CrossRef]
 - Mandal, U. Spectral color indices based geospatial modeling of soil organic matter in Chitwan district, Nepal. ISPRS—Int. Arch. Photogramm. Remote Sens. Spat. Inf. Sci. 2016, XLI-B2, 43–48. [Google Scholar] [CrossRef] [Green Version]
 - Hengl, T.; Heuvelink, G.B.M.; Kempen, B.; Leenaars, J.G.B.; Walsh, M.G.; Shepherd, K.D.; Sila, A.; MacMillan, R.A.; De Jesus, J.M.; Tamene, L.; et al. Mapping soil properties of Africa at 250 m resolution: Random forests significantly improve current predictions. PLoS ONE 2015, 10, e0125814. [Google Scholar] [CrossRef]
 - Vaysse, K.; Lagacherie, P. Evaluating Digital Soil Mapping approaches for mapping GlobalSoilMap soil properties from legacy data in Languedoc-Roussillon (France). Geoderma Reg. 2015, 4, 20–30. [Google Scholar] [CrossRef]
 - Nayava, J.L. Estimation of Temperature over Nepal. Himal. Rev. 1982, 14, 12–24. [Google Scholar]
 - Geiger, R.; Aron, R.H.; Todhunter, P. The Climate near the Ground, 5th ed.; Vieweg: Braunschweig, Germany, 1995. [Google Scholar]
 







| Crop | Jan | Feb | Mar | Apr | May | Jun | Jul | Aug | Sep | Oct | Nov | Dec | ||||||||||||
|---|---|---|---|---|---|---|---|---|---|---|---|---|---|---|---|---|---|---|---|---|---|---|---|---|
| Cauliflower | ||||||||||||||||||||||||
| Cabbage | ||||||||||||||||||||||||
| Radish | ||||||||||||||||||||||||
| Chilli | ||||||||||||||||||||||||
| Coriander | ||||||||||||||||||||||||
| Potato | ||||||||||||||||||||||||
| Maize | ||||||||||||||||||||||||
| Symbols | Sowing/transplanting | Mid-season | Harvesting | |||||||||||||||||||||
| Seasons | Winter | Pre-monsoon | Monsoon | Post-monsoon | ||||||||||||||||||||
| Covariate | Description | Reference | 
|---|---|---|
| Remote sensing-based | ||
| bright_feb | K-T transformed brightness component for an at-sensor Sentinel-2 median image of February 2020 | [19,33] | 
| green_feb | K-T transformed greenness component for an at-sensor Sentinel-2 median image of February 2020 | [19,33] | 
| Wet_feb | K-T transformed wetness component for an at-sensor Sentinel-2 median image of February 2020 | [19,33] | 
| SeLI_feb | Sentinel-2 LAI Index for February 2020 | [34] | 
| bright_may | K-T transformed brightness component for an at-sensor Sentinel-2 median image of May 2020 | [19,33] | 
| green_may | K-T transformed greenness component for an at-sensor Sentinel-2 median image of May 2020 | [19,33] | 
| Wet_may | K-T transformed wetness component for an at-sensor Sentinel-2 median image of May 2020 | [19,33] | 
| SeLI_may | Sentinel-2 LAI Index for May 2020 | [34] | 
| bright_nov | K-T transformed brightness component for an at-sensor Sentinel-2 median image of November 2019 | [19,33] | 
| green_nov | K-T transformed greenness component for an at-sensor Sentinel-2 median image of November 2019 | [19,33] | 
| Wet_nov | K-T transformed wetness component for an at-sensor Sentinel-2 median image of November 2019 | [19,33] | 
| SeLI_nov | Sentinel-2 LAI Index for November 2019 | [34] | 
| Terrain based | ||
| elevation | Elevation (meters above sea level) | [21] | 
| maxElDev | Maximum elevation deviation | [35] | 
| mid_slope | Mid-slope position | [32] | 
| ls_factor | Slope length and steepness factor | [32] | 
| curv_plan | Plan curvature | [32] | 
| insolation | Direct annual solar radiation | [36] | 
| twi | Topographic wetness index (SAGA) | [32] | 
| mrrtf | Multi-resolution index of ridge-top flatness | [32] | 
| mTPI | Multiscale topographic position index | [32] | 
| Statistics | Calibration | Validation | All | 
|---|---|---|---|
| Number of samples (n) | 114 | 38 | 152 | 
| Min (g kg−1) | 2.50 | 4.54 | 2.50 | 
| Mean (g kg−1) ± 95% Confidence interval | 24.21 ± 2.27 | 27.04 ± 3.52 | 24.98 ± 1.9 | 
| Median (g kg−1) | 22.94 | 26.50 | 23.72 | 
| Max (g kg−1) | 57.32 | 57.12 | 57.32 | 
| Standard deviation (g kg−1) | 11.20 | 10.41 | 11.02 | 
| Standard error of the mean (g kg−1) | 1.14 | 1.73 | 0.96 | 
| Skewness | 0.49 | 0.62 | 0.5 | 
| Kurtosis | −0.02 | 0.84 | 0.22 | 
| Prediction Models | R2 | RMSE | MAE | |||
|---|---|---|---|---|---|---|
| Cal | Val | Cal | Val | Cal | Val | |
| Model1 [Sentinel-2 (Feb)] | 0.69 | 0.35 | 2.81 | 5.31 | 2.17 | 4.10 | 
| Model 2 [Sentinel-2 (May)] | 0.67 | 0.31 | 2.99 | 5.64 | 2.24 | 4.23 | 
| Model 3 [Sentinel-2 (Nov)] | 0.64 | 0.22 | 3.05 | 5.75 | 2.26 | 4.27 | 
| Model 4 [Sentinel-2 (Feb, May, Nov)] | 0.76 | 0.42 | 2.73 | 5.16 | 2.12 | 4.00 | 
| Model 5 [Terrain only] | 0.68 | 0.35 | 2.84 | 5.35 | 2.22 | 4.19 | 
| Model 6 [Terrain + Sentinel-2 (Feb)] | 0.79 | 0.45 | 2.67 | 5.04 | 2.08 | 3.93 | 
| Model 7 [Terrain + Sentinel-2 (May)] | 0.73 | 0.40 | 2.72 | 5.13 | 2.13 | 4.02 | 
| Model 8 [Terrain + Sentinel-2 (Nov)] | 0.71 | 0.37 | 2.90 | 5.47 | 2.17 | 4.10 | 
| Model 9 [All (Terrain + Sentinel-2 (Feb, May, Nov)] | 0.81 | 0.46 | 2.16 | 4.08 | 2.07 | 3.91 | 
Publisher’s Note: MDPI stays neutral with regard to jurisdictional claims in published maps and institutional affiliations.  | 
© 2021 by the authors. Licensee MDPI, Basel, Switzerland. This article is an open access article distributed under the terms and conditions of the Creative Commons Attribution (CC BY) license (https://creativecommons.org/licenses/by/4.0/).
Share and Cite
Lamichhane, S.; Adhikari, K.; Kumar, L. Use of Multi-Seasonal Satellite Images to Predict SOC from Cultivated Lands in a Montane Ecosystem. Remote Sens. 2021, 13, 4772. https://doi.org/10.3390/rs13234772
Lamichhane S, Adhikari K, Kumar L. Use of Multi-Seasonal Satellite Images to Predict SOC from Cultivated Lands in a Montane Ecosystem. Remote Sensing. 2021; 13(23):4772. https://doi.org/10.3390/rs13234772
Chicago/Turabian StyleLamichhane, Sushil, Kabindra Adhikari, and Lalit Kumar. 2021. "Use of Multi-Seasonal Satellite Images to Predict SOC from Cultivated Lands in a Montane Ecosystem" Remote Sensing 13, no. 23: 4772. https://doi.org/10.3390/rs13234772
APA StyleLamichhane, S., Adhikari, K., & Kumar, L. (2021). Use of Multi-Seasonal Satellite Images to Predict SOC from Cultivated Lands in a Montane Ecosystem. Remote Sensing, 13(23), 4772. https://doi.org/10.3390/rs13234772
        
                                                
