Azimuth Multichannel Reconstruction Based on Advanced Hyperbolic Range Equation
Abstract
:1. Introduction
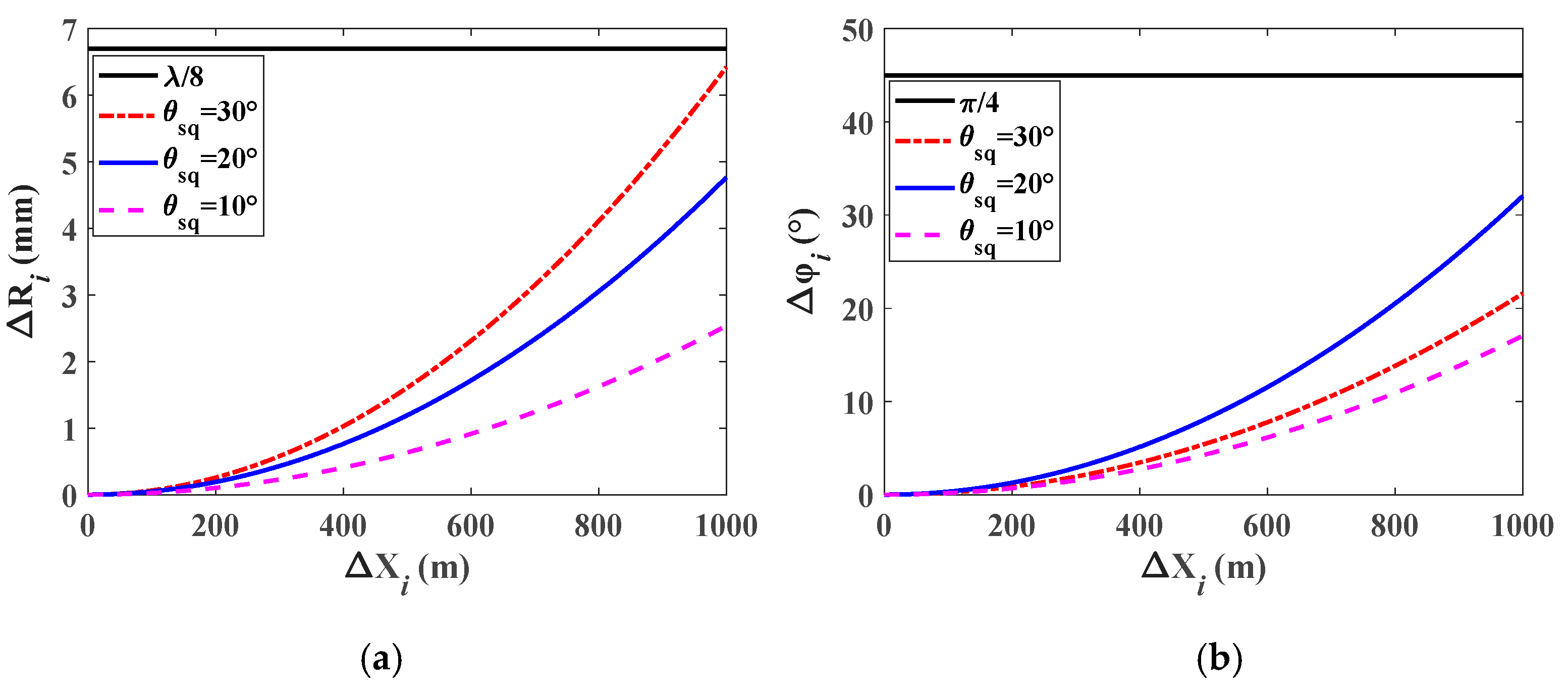
2. Geometric Model and Slant Range Analysis
3. Azimuth Multichannel Reconstruction Based on AHRE
3.1. One-Dimensional Azimuth Multichannel Reconstruction
3.2. Two-Dimensional Azimuth Multichannel Reconstruction
4. Simulation Experiments
4.1. Simulation Experiments on Point Targets
4.2. Simulation Experiments of Distributed Scene targets
5. Conclusions
Author Contributions
Funding
Institutional Review Board Statement
Informed Consent Statement
Data Availability Statement
Conflicts of Interest
References
- Ma, X.; Sun, Z.; Dong, Z.; Huang, H. Azimuth ambiguity of multichannel SAR. In Proceedings of the 2012 IEEE International Geoscience and Remote Sensing Symposium, Munich, Germany, 22–27 July 2012; pp. 3807–3810. [Google Scholar]
- Suess, M.; Grafmueller, B.; Zahn, R. A novel high resolution, wide swath SAR system. In IGARSS 2001 Scanning the Present and Resolving the Future, Proceedings of the IEEE 2001 International Geoscience and Remote Sensing Symposium, Sydney, Australia, 9–13 July 2002; IEEE: Manhattan, NY, USA, 2001; Volume 3, pp. 1013–1015. [Google Scholar]
- Yang, J.; Qiu, X.; Zhong, L.; Shang, M.; Ding, C. A simultaneous imaging scheme of stationary clutter and moving targets for maritime scenarios with the first Chinese dual-channel spaceborne SAR sensor. Remote. Sens. 2019, 11, 2275. [Google Scholar] [CrossRef] [Green Version]
- Wang, W.-Q.; Peng, Q.; Cai, J. Digital beamforming for near-space wide-swath SAR imaging. In Proceedings of the 8th International Symposium on Antennas, Propagation and EM Theory, Kunming, China, 2–5 November 2008; pp. 1270–1273. [Google Scholar]
- Wang, W.-Q.; Cai, J.; Peng, Q. Conceptual design of near-space synthetic aperture radar for high-resolution and wide-swath imaging. Aerosp. Sci. Technol. 2009, 13, 340–347. [Google Scholar] [CrossRef]
- Wang, W.-Q. Near-space wide-swath radar imaging with multi-aperture antenna. IEEE Antennas Wirel. Propag. Lett. 2009, 8, 461–464. [Google Scholar] [CrossRef]
- Xu, W.; Deng, Y. Multichannel SAR with reflector antenna for high-resolution wide-swath imaging. IEEE Antennas Wirel. Propag. Lett. 2010, 9, 1123–1126. [Google Scholar] [CrossRef]
- Lin, D.; Peiguo, L. Noise-modulated oppressive jamming for DPC MAB SAR. In Proceedings of the 2008 International Conference on Microwave and Millimeter Wave Technology, Nanjing, China, 21–24 April 2008; pp. 2040–2042. [Google Scholar]
- Zou, Q.; Xin, Q.; Cheng, P. Non-uniformly sampled signal reconstruction of DPC-MAB FMCW SAR based on fractional fourier transform. In Proceedings of the IEEE International Geoscience and Remote Sensing Symposium, Milan, Italy, 26–31 July 2015; pp. 4578–4581. [Google Scholar]
- Gebert, N.; Krieger, G.; Moreira, A. SAR signal reconstruction from non-uniform displaced phase centre sampling in the presence of perturbations. In Proceedings of the IEEE International Geoscience and Remote Sensing Symposium, Seoul, Korea, 29 July 2005; Volume 2, pp. 1034–1037. [Google Scholar]
- Pitz, W.; Miller, D. The TerraSAR-X satellite. IEEE Trans. Geosci. Remote. Sens. 2010, 48, 615–622. [Google Scholar] [CrossRef]
- Cerutti-Maori, D.; Sikaneta, I.; Gierull, C.H. Optimum SAR/GMTI processing and its application to the radar satellite RADARSAT-2 for traffic monitoring. IEEE Trans. Geosci. Remote. Sens. 2012, 50, 3868–3881. [Google Scholar] [CrossRef]
- Jiang, S.; Qiu, X.; Han, B.; Sun, J.; Ding, C. Error source analysis and correction of GF-3 polarimetric data. Remote. Sens. 2018, 10, 1685. [Google Scholar] [CrossRef] [Green Version]
- Zhong, L.; Qiu, X.; Han, B.; Hu, Y. An improved descalloping method combined with imaging parameters for GaoFen-3 ScanSAR. Remote. Sens. 2020, 12, 822. [Google Scholar] [CrossRef] [Green Version]
- Brown, J. Multichannel sampling of low-pass signals. IEEE Trans. Circuits Syst. 1981, 28, 101–106. [Google Scholar] [CrossRef]
- Krieger, G.; Gebert, N.; Moreira, A. Unambiguous SAR signal reconstruction from nonuniform displaced phase center sampling. IEEE Geosci. Remote. Sens. Lett. 2004, 1, 260–264. [Google Scholar] [CrossRef] [Green Version]
- Goodman, N.A.; Sih Chung, L.; Rajakrishna, D.; Stiles, J.M. Processing of multiple-receiver spaceborne arrays for wide-area SAR. IEEE Transactions on Geoscience and Remote Sensing 2002, 40, 841–852. [Google Scholar] [CrossRef]
- Sakar, N.; Rodriguez-Cassola, M.; Prats-Iraola, P.; Reigber, A.; Moreira, A. Analysis of geometrical approximations in signal reconstruction methods for multistatic SAR constellations with large along-track baseline. IEEE Geosci. Remote. Sens. Lett. 2018, 15, 892–896. [Google Scholar] [CrossRef]
- Xu, W.; Wei, Z.; Huang, P.; Tan, W.; Liu, B.; Gao, Z.; Dong, Y. Azimuth multichannel reconstruction for moving targets in Geosynchronous Spaceborne–Airborne bistatic SAR. Remote. Sens. 2020, 12, 1703. [Google Scholar] [CrossRef]
- Gao, H.; Chen, J.; Quegan, S.; Yang, W.; Li, C. Parameter estimation and error calibration for multichannel beam-steering SAR systems. Remote. Sens. 2019, 11, 1415. [Google Scholar] [CrossRef] [Green Version]
- Moreira, A.; Huang, Y. Airborne SAR processing of highly squinted data using a chirp scaling approach with integrated motion compensation. IEEE Trans. Geosci. Remote. Sens. 1994, 32, 1029–1040. [Google Scholar] [CrossRef]
- Moreira, A.; Mittermayer, J.; Scheiber, R. Extended chirp scaling algorithm for air- and spaceborne SAR data processing in stripmap and ScanSAR imaging modes. IEEE Trans. Geosci. Remote. Sens. 1996, 34, 1123–1136. [Google Scholar] [CrossRef]
- Huang, L.; Qiu, X.; Hu, D.; Ding, C. Focusing of medium-earth-orbit SAR with advanced nonlinear chirp scaling algorithm. IEEE Trans. Geosci. Remote. Sens. 2010, 49, 500–508. [Google Scholar] [CrossRef]
- Eldhuset, K. A new fourth order SAR processing algorithm for very high resolution. In IGARSS ’98 Sensing and Managing the Environment, Proceedings of the IEEE International Geoscience and Remote Sensing, Seattle, WA, USA, 6–10 July 1998; IEEE: Manhattan, NY, USA, 1998; Volume 5, p. 2633. [Google Scholar]
- Eldhuset, K. A new fourth-order processing algorithm for spaceborne SAR. IEEE Trans. Aerosp. Electron. Syst. 1998, 34, 824–835. [Google Scholar] [CrossRef] [Green Version]
- Wu, X.; Zhang, S.; Xiao, B. An advanced range equation for geosynchronous SAR image formation. In Proceedings of the IET International Conference on Radar Systems, Glasgow, UK, 22–25 October 2012; pp. 1–4. [Google Scholar]
- Wu, X.; Zhang, S.; Li, J.; Cao, W. Geosynchronous SAR image formation based on advanced hyperbolic range equation. In Proceedings of the IEEE International Geoscience and Remote Sensing Symposium, Munich, Germany, 22–27 July 2012; pp. 4042–4045. [Google Scholar]
- Lijia, H.; Xiaolan, Q.; Donghui, H.; Chibiao, D. An advanced 2-D spectrum for high-resolution and MEO spaceborne SAR. In Proceedings of the 2nd Asian-Pacific Conference on Synthetic Aperture Radar, Shanxi, China, 26–30 October 2009; pp. 447–450. [Google Scholar]
- Yang, L.; Bi, G. SAR imaging method for high speed and maneuverability based on modified hyperbolic range equation. In Proceedings of the IET International Radar Conference 2013, Xi’an, China, 14–16 April 2013; pp. 1–6. [Google Scholar]
- Fan, W.; Zhang, M.; Li, J.; Wei, P. Modified range-doppler algorithm for high squint SAR echo processing. IEEE Geosci. Remote. Sens. Lett. 2018, 16, 422–426. [Google Scholar] [CrossRef]
- Huang, P.; Xu, W.; Li, S. Spaceborne squinted multichannel synthetic aperture radar data focusing. IET Radar Sonar Navig. 2014, 8, 1073–1080. [Google Scholar] [CrossRef]
- Sun, G.; Jiang, X.; Xing, M.; Qiao, Z.-J.; Wu, Y.; Bao, Z. Focus improvement of highly squinted data based on Azimuth nonlinear scaling. IEEE Trans. Geosci. Remote. Sens. 2011, 49, 2308–2322. [Google Scholar] [CrossRef]
- Sakar, N.; Rodriguez-Cassola, M.; Prats-Iraola, P.; Moreira, A. Azimuth reconstruction algorithm for multistatic SAR formations with large along-track baselines. IEEE Trans. Geosci. Remote. Sens. 2019, 58, 1931–1940. [Google Scholar] [CrossRef]




















| Parameter | Value |
|---|---|
| Sensor velocity | 7482.7 m/s |
| Slant range of scene center | 600 km |
| Carrier frequency | 5.6 GHz |
| Equivalent transmit antenna length | 4 m |
| Receive antenna length | 3.33 m |
| Number of azimuth channels | 3 |
| The additional linear coefficient | −445 m/s |
| Pulse repetition frequency | 1530 Hz |
| Pulse bandwidth | 200 MHz |
| Range sampling frequency | 240 MHz |
| Method | Target | Azimuth | Range | MFTA (dB) | ||||
|---|---|---|---|---|---|---|---|---|
| Res.(m) | PSLR(dB) | ISLR(dB) | Res.(m) | PSLR(dB) | ISLR(dB) | |||
| Conventional | P1 | 1.75 | −13.28 | −10.06 | 0.67 | −13.18 | −10.01 | −34.43 |
| P2 | 1.75 | −13.26 | −10.01 | 0.67 | −13.36 | −10.03 | −31.95 | |
| P3 | 1.75 | −13.26 | −10.03 | 0.67 | −13.25 | −10.09 | −35.04 | |
| Proposed | P1 | 1.74 | −13.27 | −10.01 | 0.67 | −13.22 | −10.08 | −78.89 |
| P2 | 1.74 | −13.27 | −10.03 | 0.67 | −13.34 | −10.14 | −76.68 | |
| P3 | 1.74 | −13.26 | −10.09 | 0.67 | −13.38 | −10.15 | −82.56 | |
| Theoretical value | P1 | 1.73 | −13.23 | −9.80 | 0.66 | −13.23 | −9.80 | −− |
| P2 | 1.73 | −13.23 | −9.80 | 0.66 | −13.23 | −9.80 | −− | |
| P3 | 1.73 | −13.23 | −9.80 | 0.66 | −13.23 | −9.80 | −− | |
Publisher’s Note: MDPI stays neutral with regard to jurisdictional claims in published maps and institutional affiliations. |
© 2021 by the authors. Licensee MDPI, Basel, Switzerland. This article is an open access article distributed under the terms and conditions of the Creative Commons Attribution (CC BY) license (https://creativecommons.org/licenses/by/4.0/).
Share and Cite
Xu, W.; Li, R.; Fang, C.; Huang, P.; Tan, W.; Qi, Y. Azimuth Multichannel Reconstruction Based on Advanced Hyperbolic Range Equation. Remote Sens. 2021, 13, 4705. https://doi.org/10.3390/rs13224705
Xu W, Li R, Fang C, Huang P, Tan W, Qi Y. Azimuth Multichannel Reconstruction Based on Advanced Hyperbolic Range Equation. Remote Sensing. 2021; 13(22):4705. https://doi.org/10.3390/rs13224705
Chicago/Turabian StyleXu, Wei, Ruibo Li, Chonghua Fang, Pingping Huang, Weixian Tan, and Yaolong Qi. 2021. "Azimuth Multichannel Reconstruction Based on Advanced Hyperbolic Range Equation" Remote Sensing 13, no. 22: 4705. https://doi.org/10.3390/rs13224705
APA StyleXu, W., Li, R., Fang, C., Huang, P., Tan, W., & Qi, Y. (2021). Azimuth Multichannel Reconstruction Based on Advanced Hyperbolic Range Equation. Remote Sensing, 13(22), 4705. https://doi.org/10.3390/rs13224705

