A Satellite-Based Method for National Winter Wheat Yield Estimating in China
Abstract
:1. Introduction
2. Materials and Methods
2.1. Study Area
2.2. Data
2.2.1. Model Forcing Data
2.2.2. Eddy Covariance Measurement
2.2.3. Winter-Wheat-Related Data
2.3. Method of Winter Wheat Yield Estimation
2.4. Model Evaluation
3. Results
3.1. GPP Simulation
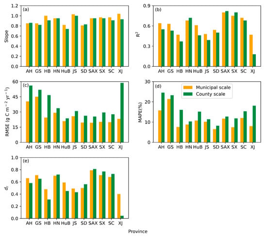
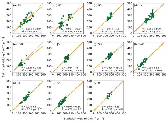
3.2. Yield and Production Estimation
3.3. Harvest Index Distribution
4. Discussion
5. Conclusions
Author Contributions
Funding
Institutional Review Board Statement
Informed Consent Statement
Data Availability Statement
Acknowledgments
Conflicts of Interest
References
- Liu, X. International perspectives on food safety and regulations-a need for harmonized regulations: Perspectives in China. J. Sci. Food Agric. 2014, 94, 1928–1931. [Google Scholar] [CrossRef]
- FAOSTAT: Food and Agriculture Organization of the United Nations (FAO): FAO Statistical Databases. 2018. Available online: https://www.fao.org/3/ca1796en/ca1796en.pdf (accessed on 18 November 2021).
- FAOSTAT: Food and Agriculture Organization of the United Nations (FAO): FAO Statistical Databases. 2020. Available online: https://www.fao.org/3/cb1329en/CB1329EN.pdf (accessed on 18 November 2021).
- Sternberg, T. Chinese drought, bread and the Arab Spring. Appl Geogr. 2012, 34, 519–524. [Google Scholar] [CrossRef]
- Yuan, W.; Liu, S.; Liu, W.; Zhao, S.; Dong, W.; Tao, F.; Chen, M.; Lin, H. Opportunistic Market-Driven Regional Shifts of Cropping Practices Reduce Food Production Capacity of China. Earths Future. 2018, 6, 634–642. [Google Scholar] [CrossRef] [Green Version]
- Qader, S.; Dash, J.; Atkinson, P. Forecasting wheat and barley crop production in arid and semi-arid regions using remotely sensed primary productivity and crop phenology: A case study in Iraq. Sci. Total Environ. 2018, 613–614, 250–262. [Google Scholar] [CrossRef] [PubMed] [Green Version]
- Balaghi, R.; Tychon, B.; Eerens, H.; Jlibene, M. Empirical regression models using NDVI, rainfall and temperature data for the early prediction of wheat grain yields in Morocco. Int. J. Appl. Earth Obs. Geoinf. 2008, 10, 438–452. [Google Scholar] [CrossRef] [Green Version]
- Peng, B.; Guan, K.; Pan, M.; Li, Y. Benefits of seasonal climate prediction and satellite data for forecasting US maize yield. Geophys. Res. Lett. 2018, 45, 9662–9671. [Google Scholar] [CrossRef]
- Johnson, D. An assessment of pre- and within-season remotely sensed variables for forecasting corn and soybean yields in the United States. Remote Sens. Environ. 2014, 141, 116–128. [Google Scholar] [CrossRef]
- Zhang, X.; Zhang, Q. Monitoring interannual variation in global crop yield using long-term AVHRR and MODIS observations. ISPRS J. Photogramm. Remote Sens. 2016, 114, 191–205. [Google Scholar] [CrossRef]
- Cao, J.; Zhang, Z.; Tao, F.; Zhang, L.; Luo, Y.; Han, J. Identifying the Contributions of Multi-Source Data for Winter Wheat Yield Prediction in China. Remote Sens. 2020, 12, 750. [Google Scholar] [CrossRef] [Green Version]
- Cheng, Z.; Meng, J.; Wang, Y. Improving spring maize yield estimation at field scale by assimilating time-series HJ-1 CCD data into the WOFOST model using a new method with fast algorithms. Remote Sens. 2016, 8, 303. [Google Scholar] [CrossRef] [Green Version]
- Zhang, Z.; Jin, Y.; Chen, B.; Brown, P. California almond yield prediction at the orchard level with a machine learning approach. Front. Plant Sci. 2019, 10, 1–18. [Google Scholar] [CrossRef] [PubMed] [Green Version]
- Pantazi, X.; Moshou, D.; Alexandridis, T.; Whetton, R.; Mouazen, A. Wheat yield prediction using machine learning and advanced sensing techniques. Comput. Electron. Agric. 2016, 121, 57–65. [Google Scholar] [CrossRef]
- Hengl, T.; Mendes de Jesus, J.; Heuvelink, G.B.; Ruiperez Gonzalez, M.; Kilibarda, M.; Blagotić, A.; Wei, S.; Wright, M.; Geng, X.; Bauer-Marschallinger, B.; et al. SoilGrids250m: Global gridded soil information based on machine learning. PLoS ONE 2017, 12, e0169748. [Google Scholar] [CrossRef] [Green Version]
- Kang, Y.; Ozdogan, M.; Zhu, X.; Ye, Z.; Hain, C.; Anderson, M. Comparative assessment of environmental variables and machine learning algorithms for maize yield prediction in the US Midwest. Environ. Res. Lett. 2020, 15, 064005. [Google Scholar] [CrossRef]
- Ahmad, M.; Khan, A.M.; Mazzara, M.; Distefano, S.; Ali, M.; Sarfraz, M.S. A fast and compact 3-D CNN for hyperspectral image classification. IEEE Geosci. Remote Sens. Lett. 2020, 1–5. [Google Scholar] [CrossRef]
- Qiao, M.; He, X.; Cheng, X.; Li, P.; Luo, H.; Zhang, L.; Tian, Z. Crop yield prediction from multi-spectral, multi-temporal remotely sensed imagery using recurrent 3D convolutional neural networks. Int. J. Appl. Earth Obs. Geoinf. 2021, 102, 102436. [Google Scholar] [CrossRef]
- Brisson, N.; Mary, B.; Ripoche, D.; Jeuffroy, M.; Ruget, F.; Nicoullaud, B.; Gate, P.; Barret, F.; Antonioletti, R.; Durr, C.; et al. STICS: A generic model for the simulation of crops and their water and nitrogen balances. I. Theory and parameterization applied to wheat and corn. Agronomie 1998, 18, 311–346. [Google Scholar] [CrossRef]
- Huang, J.; Tian, L.; Liang, S.; Ma, H.; Becker-Reshef, I.; Huang, Y.; Su, W.; Zhang, X.; Zhu, D.; Wu, W. Improving winter wheat yield estimation by assimilation of the leaf area index from Landsat TM and MODIS data into the WOFOST model. Agric. For. Meteorol. 2015, 204, 106–121. [Google Scholar] [CrossRef] [Green Version]
- Jin, X.; Li, Z.; Yang, G.; Yang, H.; Feng, H.; Xu, X.; Wang, J.; Li, X.; Luo, J. Winter wheat yield estimation based on multi-source medium resolution optical and radar imaging data and the AquaCrop model using the particle swarm optimization algorithm. ISPRS J. Photogramm. Remote Sens. 2017, 126, 24–37. [Google Scholar] [CrossRef]
- Marshall, M.; Thenkabail, P. Developing in situ non-destructive estimates of crop biomass to address issues of scale in remote sensing. Remote Sens. 2015, 7, 808–835. [Google Scholar] [CrossRef] [Green Version]
- Ovando, G.; Sayago, S.; Bocco, M. Evaluating accuracy of DSSAT model for soybean yield estimation using satellite weather data. ISPRS J. Photogramm. Remote Sens. 2018, 138, 208–217. [Google Scholar] [CrossRef]
- Huang, J.; Gómez-Dans, J.; Huang, H.; Ma, H.; Wu, Q.; Lewis, P.; Liang, S.; Chen, Z.; Xue, J.; Wu, Y.; et al. Assimilation of remote sensing into crop growth models: Current status and perspectives. Agric. For. Meteorol. 2019, 276–277, 107609. [Google Scholar] [CrossRef]
- Burke, M.; Lobell, D.B. Satellite-based assessment of yield variation and its determinants in smallholder African systems. Proc. Natl. Acad. Sci. USA 2017, 114, 2189–2194. [Google Scholar] [CrossRef] [Green Version]
- Morel, J.; Todoroff, P.; Bégué, A.; Bury, A.; Martiné, J.F.; Petit, M. Toward a satellite-based system of sugarcane yield estimation and forecasting in smallholder farming conditions: A case study on Reunion Island. Remote Sens. 2014, 6, 6620–6635. [Google Scholar] [CrossRef] [Green Version]
- Atzberger, C. Advances in remote sensing of agriculture: Context description, existing operational monitoring systems and major information needs. Remote Sens. 2013, 5, 949–981. [Google Scholar] [CrossRef] [Green Version]
- Rembold, F.; Atzberger, C.; Rojas, O.; Savin, I. Using low resolution satellite imagey for yield prediction and yield anomaly detection. Remote Sens. 2013, 5, 1704–1733. [Google Scholar] [CrossRef] [Green Version]
- Xin, Q.; Gong, P.; Yu, C.; Yu, L.; Broich, M.; Suyker, A.; Myneni, R. A production efficiency model-based method for satellite estimates of corn and soybean yields in the midwestern US. Remote Sens. 2013, 5, 5926–5943. [Google Scholar] [CrossRef] [Green Version]
- Chen, T.; van der Werf, G.; Gobron, N.; Moors, E.; Dolman, A. Global crop-land monthly gross primary production in the year 2000. Biogeosciences 2014, 11, 3871–3880. [Google Scholar] [CrossRef] [Green Version]
- Monteith, J. Solar radiation and productivity in tropical ecosystems. J. Appl. Ecol. 1972, 9, 747–766. [Google Scholar] [CrossRef] [Green Version]
- Monteith, J. Climate and the efficiency of crop production in Britain. Phil. Trans. R. Soc. Lond. 1977, 281, 277–294. [Google Scholar]
- Potter, C.; Randerson, J.; Field, C.; Matson, P.; Vitousek, P.; Mooney, H.; Klooster, S. Terrestrial ecosystem production: A process model based on global satellite and surface data. Global Biogeochem. Cycles 1993, 74, 811–841. [Google Scholar] [CrossRef]
- Turner, D.; Ritts, W.; Styles, J.; Yang, Z.; Cohen, W.; Law, B.; Thornton, P. A diagnostic carbon flux model to monitor the effects of disturbance and interannual variation in climate on regional NEP. Tellus B Chem Phys Meteorol. 2006, 58(5), 476–490. [Google Scholar] [CrossRef] [Green Version]
- Huntzinger, D.; Post, W.; Wei, Y.; Michalak, A.; West, T.; Jacobson, A.; Baker, I.; Chen, J.; Davis, K.; Hayes, D.; et al. North American Carbon Program NACP regional interim synthesis: Terrestrial biospheric model intercomparison. Ecol. Modell. 2012, 232, 144–157. [Google Scholar] [CrossRef] [Green Version]
- Raczka, B.; Davis, K.; Huntzinger, D.; Neilson, R.; Poulter, B.; Richardson, A.; Xiao, J.; Baker, I.; Ciais, P.; Keenan, T.; et al. Evaluation of continental carbon cycle simulations with North American flux tower observations. Ecol. Monogr. 2013, 83, 531–556. [Google Scholar] [CrossRef] [Green Version]
- Cai, W.; Yuan, W.; Liang, S.; Zhang, X.; Dong, W.; Xia, J.; Fu, Y.; Chen, Y.; Liu, D.; Zhang, Q. Improved estimations of gross primary production using satellite-derived photosynthetically active radiation. J. Geophys. Res. Biosci. 2014, 119, 110–123. [Google Scholar] [CrossRef]
- Yuan, W.; Chen, Y.; Xia, J.; Dong, W.; Magliulo, V.; Moors, E.; Olesen, J.E.; Zhang, H. Estimating crop yield using a satellite-based light use efficiency model. Ecol. Ind. 2016, 60, 702–709. [Google Scholar] [CrossRef] [Green Version]
- Marshall, M.; Tu, K.; Brown, J. Optimizing a remote sensing production efficiency model for macro-scale GPP and yield estimation in agroecosystems. Remote Sens. Environ. 2018, 217, 258–271. [Google Scholar] [CrossRef]
- He, M.; Kimball, J.; Maneta, M.; Maxwell, B.; Moreno, A.; Beguería, S.; Wu, X. Regional crop gross primary productivity and yield estimation using fused Landsat-MODIS data. Remote Sens. 2018, 10, 372. [Google Scholar] [CrossRef] [Green Version]
- Dong, J.; Lu, H.; Wang, Y.; Ye, T.; Yuan, W. Estimating winter wheat yield based on a light use efficiency model and wheat variety data. ISPRS J. Photogramm. 2020, 160, 18–32. [Google Scholar] [CrossRef]
- Moriondo, M.; Maselli, F.; Bindi, M. A simple model of regional wheat yield based on NDVI data. Eur. J. Agron. 2007, 26, 266–274. [Google Scholar] [CrossRef]
- Wang, L.; Tian, Y.; Yao, X.; Zhu, Y.; Cao, W. Predicting grain yield and protein content in wheat by fusing multi-sensor and multi-temporal remote-sensing images. Field Crop. Res. 2014, 164, 178–188. [Google Scholar] [CrossRef]
- Magney, T.; Eitel, J.; Huggins, D.; Vierling, L. Proximal NDVI derived phenology improves in-season predictions of wheat quantity and quality. Agric. For. Meteorol. 2016, 217, 46–60. [Google Scholar] [CrossRef]
- Duveiller, G.; Defourny, P. A conceptual framework to define the spatial resolution requirements for agricultural monitoring using remote sensing. Remote Sens. Environ. 2010, 114, 2637–2650. [Google Scholar] [CrossRef]
- Weiss, M.; Jacob, F.; Duveiller, G. Remote sensing for agricultural applications: A meta-review. Remote Sens. Environ. 2020, 236, 111402. [Google Scholar] [CrossRef]
- López-Lozano, R.; Duveiller, G.; Seguini, L.; Meroni, M.; García-Condado, S.; Hooker, J.; Leo, O.; Baruth, B. Towards regional grain yield forecasting with 1km-resolution EO biophysical products: Strengths and limitations at pan-European level. Agric. For. Meteorol. 2015, 206, 12–32. [Google Scholar] [CrossRef]
- Reeves, M.; Zhao, M.; Running, S. Usefulness and limits of MODIS GPP for estimating wheat yield. Int. J. Remote Sens. 2005, 26, 1403–1421. [Google Scholar] [CrossRef]
- Yuan, W.; Liu, S.; Zhou, G.; Zhou, G.; Tieszen, L.; Baldocchi, D.; Bernhofer, C.; Gholz, H.; Goldstein, A.H.; Goulden, M.L.; et al. Deriving a light use efficiency model from eddy covariance flux data for predicting daily gross primary production across biomes. Agric. For. Meteorol. 2007, 143, 189–207. [Google Scholar] [CrossRef] [Green Version]
- Yuan, W.; Liu, S.; Yu, G.; Bonnefond, J.M.; Chen, J.; Davis, K.; Desai, A.R.; Goldstein, H.; Gianelle, D.; Rossi, F.; et al. Global estimates of evapotranspiration and gross primary production based on MODIS and global meteorology data. Remote Sens. Environ. 2010, 114, 1416–1431. [Google Scholar] [CrossRef] [Green Version]
- Chen, J.; Jonsson, P.; Tamura, M.; Gu, Z.; Matsushita, B.; Eklundh, L. A simple method for reconstructing a high-quality NDVI time-series data set based on the Savitzky-Golay filter. Remote Sens. Environ. 2004, 91, 332–344. [Google Scholar] [CrossRef]
- Zhang, Y.; Jiang, H.; Zhang, C.; Shen, Y. Daily fluxes dataset of the typical irrigated agro-ecosystem in the North China Plain: A Case Study of Luancheng Station (2007–2013). Sci. Data Bank. 2020, 5. [Google Scholar] [CrossRef]
- Liu, S.; Xu, Z.; Zhu, Z.; Jia, Z.; Zhu, M. Measurements of evapotranspiration from eddy-covariance systems and large aperture scintillometers in the Hai River Basin, China. J. Hydrol. 2013, 487, 24–38. [Google Scholar] [CrossRef]
- Wutzler, T.; Lucas-Moffat, A.; Migliavacca, M.; Knauer, J.; Sickel, K.; Šigut, L.; Menzer, O.; Reichstein, M. Basic and extensible post-processing of eddy covariance flux data with REddyProc. Biogeosciences 2019, 15, 5015–5030. [Google Scholar] [CrossRef] [Green Version]
- Xu, T.; White, L.; Hui, D.; Luo, Y. Probabilistic inversion of a terrestrial ecosystem model: Analysis of uncertainty in parameter estimation and model prediction. Glob. Biogeochem. Cycles. 2006, 20, GB2007. [Google Scholar] [CrossRef]
- Yuan, W.; Liang, S.; Liu, S.; Weng, E.; Luo, Y.; Hollinger, D.; Zhang, H. Improving model parameter estimation using coupling relationships between vegetation production and ecosystem respiration. Ecol. Model. 2012, 240, 29–40. [Google Scholar] [CrossRef]
- Dong, J.; Fu, Y.; Wang, J.; Tian, H.; Fu, S.; Niu, Z.; Han, W.; Zheng, Y.; Huang, J.; Yuan, W. Early-season mapping of winter wheat in China based on Landsat and Sentinel images. Earth Syst. Sci. Data. 2020, 12, 3081–3095. [Google Scholar] [CrossRef]
- Prince, S.D.; Haskett, J.; Steininger, M.; Strand, H.; Wright, R. Net primary production of U.S. Midwest croplands from agricultural harvest yield data. Ecol. Appl. 2001, 1, 1194–1205. [Google Scholar] [CrossRef]
- Lobell, D.B.; Hicke, J.A.; Asner, G.P.; Field, C.B.; Tucker, C.J.; Los, S.O. Satellite estimates of productivity and light use efficiency in United States agriculture, 1982–98. Glob. Change Biol. 2002, 8, 722–735. [Google Scholar] [CrossRef]
- Donald, C.M.; Hamblin, J. The biological yield and harvest index of cereals as agronomic and plant breeding criteria. Adv. Agron. 1976, 28, 361–415. [Google Scholar]
- Hay, R.K. Harvest index: A review of its use in plant breeding and crop physiology. Ann. Appl. Biol. 1995, 126, 197–216. [Google Scholar] [CrossRef]
- Yuan, W.; Cai, W.; Liu, S.; Dong, W.; Chen, J.; Arain, M.A.; Blanken, P.D.; Cescatti, A.; ohlfahrt, G.; Georgiadis, T.; et al. Vegetation-specific model parameters re not required for estimating gross primary production. Ecol. Model. 2014, 292, 1–10. [Google Scholar] [CrossRef]
- Running, S.; Zhao, M. Daily GPP and Annual NPP (MOD17A2/A3) Products NASA Earth Observing System MODIS land algorithm. MOD17 User’s Guide 2015, 2015, 1–28. [Google Scholar]
- Willmott, C.; Roberson, S.; Matsuura, K. A Refined Index of Model Performance. Int. J. Climatol. 2012, 32, 2088–2094. [Google Scholar] [CrossRef]
- Wang, F.; He, Z.; Sayre, K.; Li, S.; Si, J.; Feng, B.; Kong, L. Wheat cropping systems and technologies in China. Field Crops Res. 2009, 111, 181–188. [Google Scholar] [CrossRef]
- Qiao, S.; Wang, H.; Prentice, I.C.; Harrison, S.P. Extending a first-principles primary production model to predict wheat yields. Agric. For. Meteorol. 2020, 287, 107932. [Google Scholar] [CrossRef]
- Beaven, E.S. Breeding Cereals for Increased Production. Farmers Club J. 1920, 6, 107–131. [Google Scholar]
- Donald, C.M. In search of yield. J. Aust. Inst. Agric. 1962, 28, 171–178. [Google Scholar]
- Raes, D.; Steduto, P.; Hsiao, T.C.; Fereres, E. AquaCrop reference manual, FAO-Land and water division. In Land and Water Division; FAO: Rome, Italy, 2011. [Google Scholar]
- Shi, W.; Wang, M.; Liu, Y. Crop yield and production responses to climate disasters in China. Sci. Total Environ. 2020, 750. [Google Scholar] [CrossRef]
- Hay, R.; Gilbert, R. Variation in the harvest index of tropical maize: Evaluation of recent evidence from Mexico and Malawi. Ann. Appl. Biol. 2001, 138, 103–109. [Google Scholar] [CrossRef]
- Zhang, X.; Zhao, X.; Wang, Y.; Pu, C.; Baoer, J.M.; Chen, F.; Zhang, H. Effects of tillage practices on photosynthetic performance diurnal variation during filling stage and grain yield of winter wheat. Chin. J. Appl. Ecol. 2017, 28, 885–893. [Google Scholar]
- Zhang, S.; Wang, H.; Sun, X.; Fan, J.; Zhang, F.; Zheng, J.; Li, Y. Effects of farming practices on yield and crop water productivity of wheat, maize and potato in China: A meta-analysis. Agric Water Manag. 2021, 243, 106444. [Google Scholar] [CrossRef]
- Dai, J.; Bean, B.; Brown, B.; Bruening, W.; Edwards, J.; Flowers, M.; Karow, R.; Lee, C.; Morgan, G.; Ottman, M.; et al. Harvest index and straw yield of five classes of wheat. Biomass Bioenergy. 2016, 85, 223–227. [Google Scholar] [CrossRef] [Green Version]
- Campoy, J.; Campos, I.; Plaza, C.; Calera, M.; Bodas, V.; Calera, A. Estimation of harvest index in wheat crops using a remote sensing-based approach. Field Crops Res. 2020, 256, 107910. [Google Scholar] [CrossRef]
- Ran, H.; Kang, S.; Hu, X.; Li, F.; Du, T.; Tong, L.; Parsons, D. Newly developed water productivity and harvest index models for maize in an arid region. Field Crops Res. 2019, 234, 73–86. [Google Scholar] [CrossRef]
- De Wit, C.T. Transpiration and Crop Yields. Agricultural Research Reports 64.6 Pudoc; Institute of Biological and Chemical Research of Field Crops and herbage: Wageningen, The Netherlands, 1958; p. 88. [Google Scholar] [CrossRef]
- Passioura, J.B. Grain yield, harvest index and water use of wheat. J. Aust. Inst. Agric. 1977, 43, 117–120. [Google Scholar]
- Richards, R.A.; Townley-Smith, T.F. Variation in leaf area development and its effect on water use, yield and harvest index of droughted wheat. Aust. J. Agric. Res. 1987, 38, 983. [Google Scholar] [CrossRef]
- Sadras, V.; Connor, D. Physiological basis of the response of harvest index to the fraction of water transpired after anthesis: A simple model to estimate harvest index for determinate species. Field Crops Res. 1991, 26, 227–239. [Google Scholar] [CrossRef]
- Samarasinghe, G. Growth and yields of Sri Lanka’s major crops interpreted from public domain satellites. Agric. Water Manag. 2003, 58, 145–157. [Google Scholar] [CrossRef]
- Shearman, V.; Sylvester-Bradley, R.; Scott, R.; Foulkes, M. Physiological processes associated with wheat yield progress in the UK. Crop Sci. 2005, 45, 12. [Google Scholar]
- Unkovich, M.J.; Baldock, J.; Forbes, M. Australian Crop Yields and Harvest Indices (Microsoft Access Database). CSIRO Land and Water: Adelaide, Australia, 2006. [Google Scholar]
- Hu, C.; Sadras, V.; Lu, G.; Zhang, R.; Yang, X.; Zhang, S. Root pruning enhances wheat yield, harvest index and water-use efficiency in semiarid area. Field Crop. Res. 2019, 230, 62–71. [Google Scholar] [CrossRef]
- Song, X.; Potapov, P.; Krylov, A.; King, L.; Di Bella, C.; Hudson, A.; Hansen, M. National-scale soybean mapping and area estimation in the United States using medium resolution satellite imagery and field survey. Remote Sens. Environ. 2017, 190, 383–395. [Google Scholar] [CrossRef]
- Dong, J.; Xiao, X.; Kou, W.; Qin, Y.; Zhang, G.; Li, L.; Jin, C.; Zhou, Y.; Wang, J.; Biradar, C.; et al. Tracking the dynamics of paddy rice planting area in 1986–2010 through time series Landsat images and phenology-based algorithms. Remote Sens. Environ. 2015, 160, 99–113. [Google Scholar] [CrossRef]
- Yao, X.; Zhu, Y.; Tian, Y.; Feng, W.; Cao, W. Exploring hyperspectral bands and estimation indices for leaf nitrogen accumulation in wheat. Int. J. Appl. Earth Observ. Geoinf. 2010, 12, 89–100. [Google Scholar] [CrossRef]
- Xia, J.; Yuan, W.; Lienert, S.; Joos, F.; Ciais, P.; Viovy, N.; Wang, Y.; Wang, X.; Zhang, H.; Chen, Y.; et al. Global patterns in net primary production allocation regulated by environmental conditions and forest stand age: A model-data comparison. J. Geophys. Res. Biogeosci. 2019, 124, 2039–2059. [Google Scholar] [CrossRef] [Green Version]
- Xu, X.; McGrath, S.; Zhao, F. Rapid reduction of arsenate in the medium mediated by plant roots. New Phytol. 2007, 176, 590–599. [Google Scholar] [CrossRef] [PubMed]
- Chirinda, N.; Olesen, J.; Porter, J. Root carbon input in organic and inorganic fertilizer-based systems. Plant Soil. 2012, 359, 321–333. [Google Scholar] [CrossRef]
- Wolf, J.; West, T.; Le Page, Y.; Kyle, G.; Zhang, X.; Collatz, G.; Imhoff, M. Biogenic carbon fluxes from global agricultural production and consumption. Global Biogeochem. Cycles. 2015, 29, 1617–1639. [Google Scholar] [CrossRef] [Green Version]
- Suyker, A.; Verma, S.; Burba, G.; Arkebauer, T.; Walters, D.; Hubbard, K. Growing season carbon dioxide exchange in irrigated and rainfed maize. Agric. For. Meteorol. 2004, 124, 1–13. [Google Scholar] [CrossRef]
- Hollinger, S.E.; Bernacchi, C.J.; Meyers, T.P. Carbon budget of mature no-till ecosystem in north central regions of the United States. Agric. For. Meteorol. 2005, 130, 59–69. [Google Scholar] [CrossRef]
- Amos, B.; Walters, D.T. Maize root biomass and net rhizodeposited carbon. Soil Sci. Soc. Am. J. 2006, 70, 1489–1503. [Google Scholar] [CrossRef]
- Moureaux, C.; Debacq, A.; Hoyaux, J.; Suleau, M.; Tourneur, D.; Vancutsem, F.; Bodson, B.; Aubinet, M. Carbon balance assessment of a Belgian winter wheat crop (Triticum aestivum L.). Glob. Chang. Biol. 2008, 14, 1353–1366. [Google Scholar] [CrossRef]
- Abiven, S.; Recous, S.; Reyes, V.; Oliver, R. Mineralisation of C and N from root, stem and leaf residues in soil and role of their biochemical quality. Biol. Fertil. Soils. 2005, 42, 119–128. [Google Scholar] [CrossRef]
- Sharkey, T. Understanding carbon partitioning and its role in determining plant growth. Plant Cell Environ. 2015, 38, 1963–1964. [Google Scholar] [CrossRef] [Green Version]
- Kölling, K.; Thalmann, M.; Muller, A.; Jenny, C.; Zeeman, S. Carbon Partitioning in Arabidopsis thaliana is a dynamic process controlled by the plants’ metabolic status and its circadian clock. Plant Cell Environ. 2015, 38, 1965–1979. [Google Scholar] [CrossRef] [Green Version]
- Vos, J.; Marcelis, L.; Visser, P.; Struik, P.; Evers, J. Functional Structural Plant Modelling in Crop Production: Adding a dimension. Frontis 2007, 22, 103–111. [Google Scholar]
- Suleau, M.; Moureaux, C.; Dufranne, D.; Buysse, P.; Bodson, B.; Destain, J.P.; Aubinet, M. Respiration of three Belgian crops: Partitioning of total ecosystem respiration in its heterotrophic, above- and below-ground autotrophic components. Agric. For. Meteorol. 2011, 151, 633–643. [Google Scholar] [CrossRef]
- Zhang, Q.; Lei, H.; Yang, D. Seasonal variations in soil respiration, heterotrophic respiration and autotrophic respiration of a wheat and maize rotation cropland in the North China Plain. Agric. For. Meteorol. 2013, 180, 34–43. [Google Scholar] [CrossRef]
- Demyan, M.S.; Ingwersen, J.; Funkuin, Y.N.; Ali, R.S.; Mirzaeitalarposhti, R.; Rasche, F.; Cadisch, G. Partitioning of ecosystem respiration in winter wheat and silage maize-modeling seasonal temperature effects. Agric. Ecosyst. Environ. 2016, 224, 131–144. [Google Scholar] [CrossRef]
- Zhang, Q.; Lei, H.; Yang, D.; Xiong, L.; Liu, P.; Fang, B. Decadal variation in CO2 fluxes and its budget in a wheat and maize rotation cropland over the North China Plain. Biogeosciences 2020, 17, 2245–2262. [Google Scholar] [CrossRef] [Green Version]









Publisher’s Note: MDPI stays neutral with regard to jurisdictional claims in published maps and institutional affiliations. |
© 2021 by the authors. Licensee MDPI, Basel, Switzerland. This article is an open access article distributed under the terms and conditions of the Creative Commons Attribution (CC BY) license (https://creativecommons.org/licenses/by/4.0/).
Share and Cite
Fu, Y.; Huang, J.; Shen, Y.; Liu, S.; Huang, Y.; Dong, J.; Han, W.; Ye, T.; Zhao, W.; Yuan, W. A Satellite-Based Method for National Winter Wheat Yield Estimating in China. Remote Sens. 2021, 13, 4680. https://doi.org/10.3390/rs13224680
Fu Y, Huang J, Shen Y, Liu S, Huang Y, Dong J, Han W, Ye T, Zhao W, Yuan W. A Satellite-Based Method for National Winter Wheat Yield Estimating in China. Remote Sensing. 2021; 13(22):4680. https://doi.org/10.3390/rs13224680
Chicago/Turabian StyleFu, Yangyang, Jianxi Huang, Yanjun Shen, Shaomin Liu, Yong Huang, Jie Dong, Wei Han, Tao Ye, Wenzhi Zhao, and Wenping Yuan. 2021. "A Satellite-Based Method for National Winter Wheat Yield Estimating in China" Remote Sensing 13, no. 22: 4680. https://doi.org/10.3390/rs13224680
APA StyleFu, Y., Huang, J., Shen, Y., Liu, S., Huang, Y., Dong, J., Han, W., Ye, T., Zhao, W., & Yuan, W. (2021). A Satellite-Based Method for National Winter Wheat Yield Estimating in China. Remote Sensing, 13(22), 4680. https://doi.org/10.3390/rs13224680

