Evaluation and Intercomparison of Topographic Correction Methods Based on Landsat Images and Simulated Data
Abstract
:1. Introduction
2. Methods
2.1. Topographic Correction Models
2.2. Evaluation Methods
- (1)
- Outliers percentage
- (2)
- Difference in sunlit and shady areas
- (3)
- Interquartile range reduction
- (4)
- Evaluation using simulated images
3. Materials
3.1. Study Area
3.2. Data
3.3. Data Processing
4. Results
4.1. Outlier Analysis
4.2. Difference in Sunlit and Shadow Areas
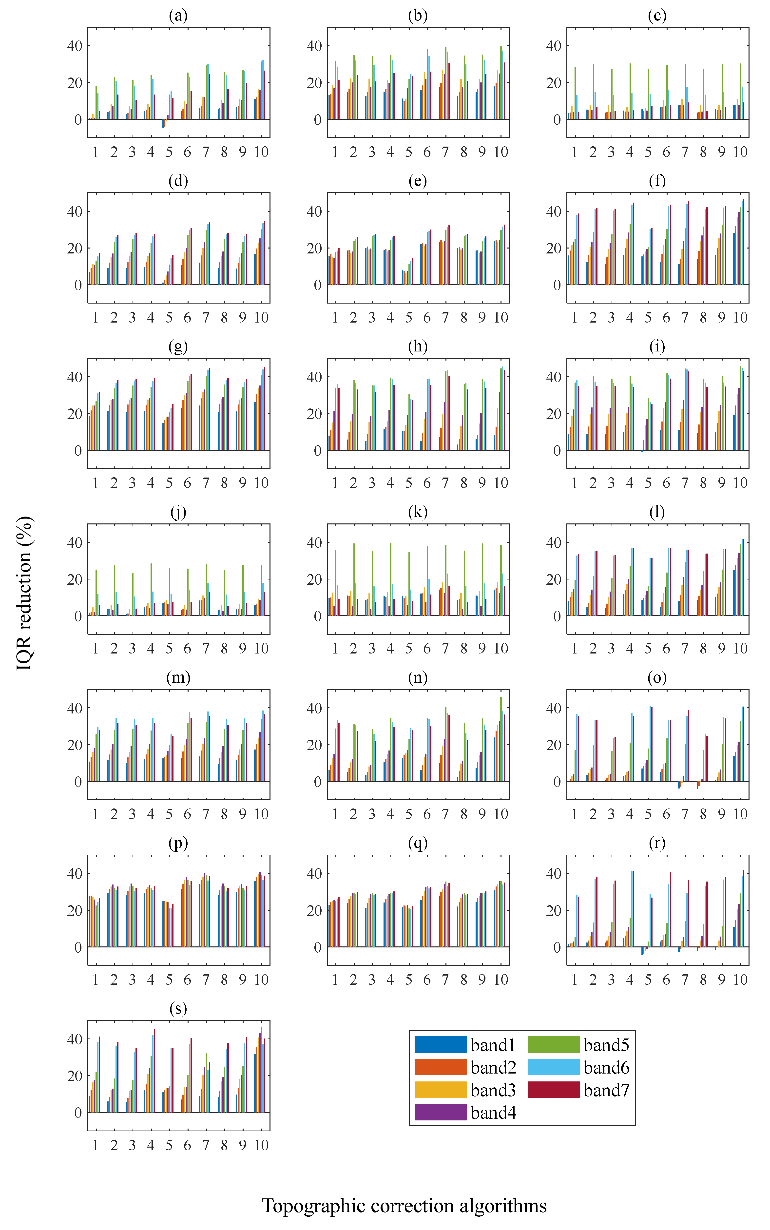
4.3. IQR Analysis
4.4. Evaluation with LESS Simulation
5. Discussion
5.1. Analysis of Evaluation Results
5.2. Summary of Different Topographic Correction Algorithms
5.3. Limitations and Applications
6. Conclusions
Author Contributions
Funding
Acknowledgments
Conflicts of Interest
References
- Blyth, S.; Lysenko, I.; Groombridge, B.; Miles, L.; Newton, A. Mountain Watch: Environmental Change and Sustainable Development in Mountains; UNEP-WCMC: Cambridge, UK, 2002. [Google Scholar]
- Bian, J.; Li, A.; Lei, G.; Zhang, Z.; Nan, X. Global high-resolution mountain green cover index mapping based on Landsat images and Google Earth Engine. ISPRS J. Photogramm. Remote Sens. 2020, 162, 63–76. [Google Scholar] [CrossRef]
- Immerzeel, W.W.; Lutz, A.F.; Andrade, M.; Bahl, A.; Biemans, H.; Bolch, T.; Hyde, S.; Brumby, S.; Davies, B.J.; Elmore, A.C.; et al. Importance and vulnerability of the world’s water towers. Nature 2020, 577, 364–369. [Google Scholar] [CrossRef]
- Meyer, P.; Itten, K.I.; Kellenberger, T.; Sandmeier, S.; Sandmeier, R. Radiometric corrections of topographically induced effects on Landsat TM data in an alpine environment. ISPRS J. Photogramm. Remote Sens. 1993, 48, 17–28. [Google Scholar] [CrossRef]
- Jin, H.; Li, A.; Xu, W.; Xiao, Z.; Jiang, J.; Xue, H. Evaluation of topographic effects on multiscale leaf area index estimation using remotely sensed observations from multiple sensors. ISPRS J. Photogramm. Remote Sens. 2019, 154, 176–188. [Google Scholar] [CrossRef]
- Moreira, E.P.; Valeriano, M.M. Application and evaluation of topographic correction methods to improve land cover mapping using object-based classification. Int. J. Appl. Earth Obs. Geoinf. 2014, 32, 208–217. [Google Scholar] [CrossRef]
- Phiri, D.; Morgenroth, J.; Xu, C.; Hermosilla, T. Effects of pre-processing methods on Landsat OLI-8 land cover classification using OBIA and random forests classifier. Int. J. Appl. Earth Obs. Geoinf. 2018, 73, 170–178. [Google Scholar] [CrossRef]
- Cuo, L.; Vogler, J.B.; Fox, J.M. Topographic normalization for improving vegetation classification in a mountainous watershed in Northern Thailand. Int. J. Remote Sens. 2010, 31, 3037–3050. [Google Scholar] [CrossRef]
- Yu, W.; Li, J.; Liu, Q.; Yin, G.; Zeng, Y.; Lin, S.; Zhao, J. A Simulation-Based Analysis of Topographic Effects on LAI Inversion Over Sloped Terrain. IEEE J. Sel. Top. Appl. Earth Obs. Remote Sens. 2020, 13, 794–806. [Google Scholar] [CrossRef]
- Hantson, S.; Chuvieco, E. Evaluation of different topographic correction methods for Landsat imagery. Int. J. Appl. Earth Obs. Geoinf. 2011, 13, 691–700. [Google Scholar] [CrossRef]
- Wu, Q.; Jin, Y.; Fan, H. Evaluating and comparing performances of topographic correction methods based on multi-source DEMs and Landsat-8 OLI data. Int. J. Remote Sens. 2016, 37, 4712–4730. [Google Scholar] [CrossRef]
- Zhang, W.; Gao, Y. Topographic correction algorithm for remotely sensed data accounting for indirect irradiance. Int. J. Remote Sens. 2011, 32, 1807–1824. [Google Scholar] [CrossRef]
- Wen, J.; Liu, Q.; Liu, Q.; Xiao, Q.; Li, X. Parametrized BRDF for atmospheric and topographic correction and albedo estimation in Jiangxi rugged terrain, China. Int. J. Remote Sens. 2009, 30, 2875–2896. [Google Scholar] [CrossRef]
- Balthazar, V.; Vanacker, V.; Lambin, E.F. Evaluation and parameterization of ATCOR3 topographic correction method for forest cover mapping in mountain areas. Int. J. Appl. Earth Obs. Geoinf. 2012, 18, 436–450. [Google Scholar] [CrossRef]
- Blesius, L.; Weirich, F. The use of the Minnaert correction for land-cover classification in mountainous terrain. Int. J. Remote Sens. 2005, 26, 3831–3851. [Google Scholar] [CrossRef]
- Sandmeier, S.; Itten, K.I. A physically-based model to correct atmospheric and illumination effects in optical satellite data of rugged terrain. IEEE Trans. Geosci. Remote Sens. 1997, 35, 708–717. [Google Scholar] [CrossRef] [Green Version]
- Zhao, W.; Li, X.; Wang, W.; Wen, F.; Yin, G. DSRC: An Improved Topographic Correction Method for Optical Remote-Sensing Observations Based on Surface Downwelling Shortwave Radiation. IEEE Trans. Geosci. Remote Sens. 2021, 1–15. [Google Scholar] [CrossRef]
- Soenen, S.A.; Peddle, D.R.; Coburn, C.A.; Hall, R.J.; Hall, F.G. Improved topographic correction of forest image data using a 3-D canopy reflectance model in multiple forward mode. Int. J. Remote Sens. 2008, 29, 1007–1027. [Google Scholar] [CrossRef]
- Li, X.; Strahler, A.H. Geometric-optical bidirectional reflectance modeling of the discrete crown vegetation canopy: Effect of crown shape and mutual shadowing. IEEE Trans. Geosci. Remote Sens. 1992, 30, 276–292. [Google Scholar] [CrossRef]
- Li, F.; Jupp, D.L.B.; Thankappan, M.; Lymburner, L.; Mueller, N.; Lewis, A.; Held, A. A physics-based atmospheric and BRDF correction for Landsat data over mountainous terrain. Remote Sens. Environ. 2012, 124, 756–770. [Google Scholar] [CrossRef]
- Yin, G.; Li, A.; Wu, S.; Fan, W.; Zeng, Y.; Yan, K.; Xu, B.; Li, J.; Liu, Q. PLC: A simple and semi-physical topographic correction method for vegetation canopies based on path length correction. Remote Sens. Environ. 2018, 215, 184–198. [Google Scholar] [CrossRef]
- Szantoi, Z.; Simonetti, D. Fast and robust topographic correction method for medium resolution satellite imagery using a stratified approach. IEEE J. Sel. Top. Appl. Earth Obs. Remote Sens. 2013, 6, 1921–1933. [Google Scholar] [CrossRef]
- Smith, J.A.; Lin, T.L.; Ranson, K.L. The Lambertian assumption and Landsat data. Photogramm. Eng. Remote Sens. 1980, 46, 1183–1189. [Google Scholar]
- Minnaert, M. The reciprocity principle in lunar photometry. Astrophys. J. 1941, 93, 403–410. [Google Scholar] [CrossRef]
- Teillet, P.; Guindon, B.; Goodenough, D. On the slope-aspect correction of multispectral scanner data. Can. J. Remote Sens. 1982, 8, 84–106. [Google Scholar] [CrossRef] [Green Version]
- Gu, D.; Gillespie, A. Topographic normalization of Landsat TM images of forest based on subpixel Sun–Canopy–Sensor geometry. Remote Sens. Environ. 1998, 64, 166–175. [Google Scholar] [CrossRef]
- Soenen, S.A.; Peddle, D.R.; Coburn, C.A. SCS+C: A modified Sun-canopy-sensor topographic correction in forested terrain. IEEE Trans. Geosci. Remote Sens. 2005, 43, 2148–2159. [Google Scholar] [CrossRef]
- Vincini, M.; Reeder, D.; Frazzi, E. An empirical topographic normalization method for forest TM data. In Proceedings of the IEEE International Geoscience and Remote Sensing Symposium, Toronto, ON, Canada, 24–28 June 2002; Volume 4, pp. 2091–2093. [Google Scholar]
- Gao, Y.; Zhang, W. Variable empirical coefficient algorithm for removal of topographic effects on remotely sensed data from rugged terrain. In Proceedings of the IEEE International Geoscience and Remote Sensing Symposium, Barcelona, Spain, 23–28 July 2007; pp. 4733–4736. [Google Scholar]
- Riano, D.; Chuvieco, E.; Salas, J.; Aguado, I. Assessment of different topographic corrections in Landsat-TM data for mapping vegetation types (2003). IEEE Trans. Geosci. Remote Sens. 2003, 41, 1056–1061. [Google Scholar] [CrossRef] [Green Version]
- Lu, D.S.; Ge, H.L.; He, S.Z.; Xu, A.J.; Zhou, G.M.; Du, H.Q. Pixel-based Minnaert correction method for reducing topographic effects on a Landsat 7 ETM+ image. Photogramm. Eng. Remote Sens. 2008, 74, 1343–1350. [Google Scholar] [CrossRef] [Green Version]
- Reese, H.; Olsson, H. C-correction of optical satellite data over alpine vegetation areas: A comparison of sampling strategies for determining the empirical c-parameter. Remote Sens. Environ. 2011, 115, 1387–1400. [Google Scholar] [CrossRef] [Green Version]
- Vázquez-Jiménez, R.; Romero-Calcerrada, R.; Ramos-Bernal, R.N.; Arrogante-Funes, P.; Novillo, C.J. Topographic correction to Landsat imagery through slope classification by applying the SCS + C method in mountainous forest areas. ISPRS Int. J. Geo-Inf. 2017, 6, 287. [Google Scholar] [CrossRef]
- Sola, I.; Gonzalez-Audicana, M.; Alvarez-Mozos, J. Multi-criteria evaluation of topographic correction methods. Remote Sens. Environ. 2016, 184, 247–262. [Google Scholar] [CrossRef] [Green Version]
- Dong, C.; Zhao, G.; Meng, Y.; Li, B.; Peng, B. The Effect of Topographic Correction on Forest Tree Species Classification Accuracy. Remote Sens. 2020, 12, 787. [Google Scholar] [CrossRef] [Green Version]
- Gao, Y.; Zhang, W. A simple empirical topographic correction method for ETM+ imagery. Int. J. Remote Sens. 2009, 30, 2259–2275. [Google Scholar] [CrossRef]
- Richter, R. Correction of satellite imagery over mountainous terrain. Appl. Opt. 1998, 37, 4004–4015. [Google Scholar] [CrossRef] [PubMed]
- Ghasemi, N.; Mohammadzadeh, A.; Sahebi, M.R. Assessment of different topographic correction methods in ALOS AVNIR-2 data over a forest area. Int. J. Digit. Earth 2013, 6, 504–520. [Google Scholar] [CrossRef]
- Vanonckelen, S.; Lhermitte, S.; Balthazar, V.; Van Rompaey, A. Performance of atmospheric and topographic correction methods on Landsat imagery in mountain areas. Int. J. Remote Sens. 2014, 35, 4952–4972. [Google Scholar] [CrossRef] [Green Version]
- Civco, D.L. Topographic normalization of landsat thematic mapper digital imagery. Photogramm. Eng. Remote Sens. 1989, 55, 1303–1309. [Google Scholar]
- Sola, I.; González-Audícana, M.; Álvarez-Mozos, J.; Torres, J.L. Synthetic Images for Evaluating Topographic Correction Algorithms. IEEE Trans. Geosci. Remote Sens. 2014, 52, 1799–1810. [Google Scholar] [CrossRef]
- Hurni, K.; Van Den Hoek, J.; Fox, J. Assessing the spatial, spectral, and temporal consistency of topographically corrected Landsat time series composites across the mountainous forests of Nepal. Remote Sens. Environ. 2019, 231, 111225. [Google Scholar] [CrossRef]
- Richter, R.; Kellenberger, T.; Kaufmann, H. Comparison of Topographic Correction Methods. Remote Sens. 2009, 1, 184–196. [Google Scholar] [CrossRef] [Green Version]
- Hoshikawa, K.; Umezaki, M. Effects of terrain-induced shade removal using global DEM data sets on land-cover classification. Int. J. Remote Sens. 2014, 35, 1331–1355. [Google Scholar] [CrossRef]
- Gao, M.; Zhao, W.; Gong, Z.; Gong, H.; Chen, Z.; Xin-Ming, T. Topographic correction of ZY-3 satellite images and its effects on estimation of shrub leaf biomass in mountainous areas. Remote Sens. 2014, 6, 2745–2764. [Google Scholar] [CrossRef] [Green Version]
- Qi, J.; Xie, D.; Yin, T.; Yan, G.; Gastellu-Etchegorry, J.-P.; Li, L.; Zhang, W.; Mu, X.; Norford, L.K. LESS: LargE-Scale remote sensing data and image simulation framework over heterogeneous 3D scenes. Remote Sens. Environ. 2019, 221, 695–706. [Google Scholar] [CrossRef]
- Torma, M.; Harma, P. Topographic correction of Landsat ETM-images in finnish lapland. In Proceedings of the IEEE Geoscience and Remote Sensing Symposium, Toulouse, France, 21–25 July 2003. [Google Scholar]
- Bishop, M.P.; Schroder, J.F.; Colby, J.D. Remote sensing and geomorphometry for studying relief production in high mountains. Geomorphology 2003, 55, 345–361. [Google Scholar] [CrossRef] [Green Version]
- Frantz, D.; Röder, A.; Stellmes, M.; Hill, J. An Operational Radiometric Landsat Preprocessing Framework for Large-Area Time Series Applications. IEEE Trans. Geosci. Remote Sens. 2016, 54, 3928–3943. [Google Scholar] [CrossRef]
- Tokola, T.; Sarkeala, J.; Van Der Linden, M. Use of topographic correction in Landsat TM-based forest interpretation in Nepal. Int. J. Remote Sens. 2001, 22, 551–563. [Google Scholar] [CrossRef]
- Zhang, H.; Zhang, F.; Zhang, G.; Che, T.; Yan, W.; Ye, M.; Ma, N. Ground-based evaluation of MODIS snow cover product V6 across China: Implications for the selection of NDSI threshold. Sci. Total Environ. 2019, 651, 2712–2726. [Google Scholar] [CrossRef]
- Qu, Y.; Liu, Q.; Liang, S.; Wang, L.; Liu, N.; Liu, S. Direct-Estimation Algorithm for Mapping Daily Land-Surface Broadband Albedo From MODIS Data. IEEE Trans. Geosci. Remote Sens. 2014, 52, 907–919. [Google Scholar] [CrossRef]
- Burns, P.; Nolin, A. Using atmospherically-corrected Landsat imagery to measure glacier area change in the Cordillera Blanca, Peru from 1987 to 2010. Remote Sens. Environ. 2014, 140, 165–178. [Google Scholar] [CrossRef] [Green Version]
- Riihimäki, H.; Heiskanen, J.; Luoto, M. The effect of topography on arctic-alpine aboveground biomass and NDVI patterns. Int. J. Appl. Earth Obs. Geoinf. 2017, 56, 44–53. [Google Scholar] [CrossRef] [Green Version]
- Henry Reeder, D. Topographic Correction of Satellite Images: Theory and Application; Dartmouth College: Hanover, NH, USA, 2002. [Google Scholar]
- Li, X.; Toshio, K.; Cheng, G. Retrieval of snow reflectance from Landsat data in rugged terrain. Ann. Glaciol. 2002, 34, 31–37. [Google Scholar] [CrossRef] [Green Version]
- Luisa, E.M.; Frederic, B.; Marie, W. Slope correction for LAI estimation from gap fraction measurements. Agric. For. Meteorol. 2008, 148, 1553–1562. [Google Scholar] [CrossRef]
- Vicente-Serrano, S.M.; Pérez-Cabello, F.; Lasanta, T. Assessment of radiometric correction techniques in analyzing vegetation variability and change using time series of Landsat images. Remote Sens. Environ. 2008, 112, 3916–3934. [Google Scholar] [CrossRef]
- Qi, J.; Xie, D.; Guo, D.; Yan, G. A Large-Scale Emulation System for Realistic Three-Dimensional (3-D) Forest Simulation. IEEE J. Sel. Top. Appl. Earth Obs. Remote Sens. 2017, 10, 4834–4843. [Google Scholar] [CrossRef]
- Nan, X.; Li, A.; Yu, C.; Wei, D. Design and compilation of digital mountain map of China (1:6,700,000) in vertical layout. Remote Sens. Technol. Appl. 2016, 31, 451–458. [Google Scholar]
- Zhang, X.; Liu, L.; Chen, X.; Gao, Y.; Xie, S.; Mi, J. GLC_FCS30: Global land-cover product with fine classification system at 30 m using time-series Landsat imagery. Earth Syst. Sci. Data 2021, 13, 2753–2776. [Google Scholar] [CrossRef]
- Vermote, E.; Justice, C.; Claverie, M.; Franch, B. Preliminary analysis of the performance of the Landsat 8/OLI land surface reflectance product. Remote Sens. Environ. 2016, 185, 46–56. [Google Scholar] [CrossRef] [PubMed]
- Carrera-Hernández, J.J. Not all DEMs are equal: An evaluation of six globally available 30 m resolution DEMs with geodetic benchmarks and LiDAR in Mexico. Remote Sens. Environ. 2021, 261, 112474. [Google Scholar] [CrossRef]
- Li, H.; Xu, L.; Shen, H.; Zhang, L. A general variational framework considering cast shadows for the topographic correction of remote sensing imagery. ISPRS J. Photogramm. Remote Sens. 2016, 117, 161–171. [Google Scholar] [CrossRef]
- Qiu, S.; Zhu, Z.; He, B. Fmask 4.0: Improved cloud and cloud shadow detection in Landsats 4–8 and Sentinel-2 imagery. Remote Sens. Environ. 2019, 231, 111205. [Google Scholar] [CrossRef]
- Sola, I.; González-Audícana, M.; Álvarez-Mozos, J. The Added Value of Stratified Topographic Correction of Multispectral Images. Remote Sens. 2016, 8, 131. [Google Scholar] [CrossRef] [Green Version]
- Vanonckelen, S.; Lhermitte, S.; Van Rompaey, A. The effect of atmospheric and topographic correction methods on land cover classification accuracy. Int. J. Appl. Earth Obs. Geoinf. 2013, 24, 9–21. [Google Scholar] [CrossRef] [Green Version]
- Lin, X.; Wu, S.; Hao, D.; Wen, J.; Xiao, Q.; Liu, Q. Sloping Surface Reflectance: The Best Option for Satellite-Based Albedo Retrieval Over Mountainous Areas. IEEE Geosci. Remote Sens. Lett. 2021, 1–5. [Google Scholar] [CrossRef]
- He, T.; Liang, S.; Wang, D.; Cao, Y.; Gao, F.; Yu, Y.; Feng, M. Evaluating land surface albedo estimation from Landsat MSS, TM, ETM+, and OLI data based on the unified direct estimation approach. Remote Sens. Environ. 2018, 204, 181–196. [Google Scholar] [CrossRef]
- He, T.; Liang, S.; Wang, D.; Shi, Q.; Goulden, M.L. Estimation of high-resolution land surface net shortwave radiation from AVIRIS data: Algorithm development and preliminary results. Remote Sens. Environ. 2015, 167, 20–30. [Google Scholar] [CrossRef] [Green Version]
- Zhao, W.; Duan, S.-B.; Li, A.; Yin, G. A practical method for reducing terrain effect on land surface temperature using random forest regression. Remote Sens. Environ. 2019, 221, 635–649. [Google Scholar] [CrossRef]








| Number | Topographic Correction Model | Expression | Presenter |
|---|---|---|---|
| 1 | Teillet regression | Teillet et al. [25] | |
| 2 | C | Teillet et al. [25] | |
| 3 | Minnaert+SCS | Henry Reeder [55] | |
| 4 | b correction | Vincini et al. [28] | |
| 5 | SCS+C | Soenen et al. [27] | |
| 6 | VECA | Gao and Zhang [29] | |
| 7 | PLC | Yin et al. [21] |
| WRS2 PathRow | Center Coordinate | Elevation Range/m (Average Elevation/m) | Average Slope/° | Main Land Cover | Main Terrain |
|---|---|---|---|---|---|
| 120029 | 30° N 118° E | 1-1821 (277) | 16.1 | Evergreen forest | Middle and low mountains |
| 121024 | 52° N 124° E | 277-1519 (699) | 8.5 | Deciduous forest | Low mountains, hills |
| 121042 | 26° N 116° E | 42-1522 (393) | 13.9 | Evergreen forest and cropland | Low hills |
| 122035 | 36° N 117° E | 0-1524 (144) | 5.0 | Cropland and grassland | Hills, relatively flat |
| 124032 | 40° N 115° E | 15-2849 (1029) | 13.5 | Cropland and grassland | Hills, plains, and mountains |
| 128036 | 34° N 108° E | 419-3753 (1366) | 18.1 | Evergreen forest | High mountains |
| 129043 | 24° N 103° E | 341-2983 (1830) | 14.2 | Forest and grassland | Mountains, plateaus, basins |
| 131035 | 36° N 103° E | 1436-4767 (2487) | 17.2 | Grassland and cropland | High mountains |
| 131038 | 32° N 102° E | 1812-5479 (3888) | 26.7 | Grassland and evergreen forest | Hilly plateau |
| 139040 | 28° N 88° E | 3725-7073 (4723) | 16.0 | Bare areas and grassland | Mountains and wide valleys |
| 143030 | 44° N 87° E | 516-5248 (2394) | 18.9 | Sparse vegetation and forest | Vast mountains |
| WRS2 Path/Row | Date | Solar Zenith Angle/° | Snow Cover Percentage | WRS2 Path/Row | Date | Solar Zenith Angle/° | Snow Cover Percentage |
|---|---|---|---|---|---|---|---|
| 120/029 | 20170126 | 54.7 | 1.46% | 131/035 | 20180110 | 61.9 | 34.88% |
| 20170518 | 22.1 | 0.55% | 20180502 | 27.6 | 4.34% | ||
| 20170721 | 23.5 | 0.35% | 20180721 | 25.2 | 0.15% | ||
| 20160920 | 35.1 | 0.64% | 20180923 | 40.2 | 0.28% | ||
| 20181129 | 54.9 | 0.69% | 20171107 | 54.7 | 2.86% | ||
| 121/024 | 20180528 | 32.7 | 0.48% | 129/043 | 20180128 | 49.9 | 0.93% |
| 20160725 | 35.1 | 0.14% | 20170501 | 23.2 | 0.11% | ||
| 20180917 | 51.0 | 0.03% | 20161122 | 48.7 | 0.28% | ||
| 122/035 | 20180111 | 61.8 | 2.41% | 139/040 | 20180118 | 55.0 | 1.04% |
| 20180503 | 27.3 | 0.28% | 20170507 | 23.2 | 2.47% | ||
| 20170703 | 23.1 | 0.31% | 20150721 | 23.3 | 1.17% | ||
| 20180908 | 35.6 | 0.43% | 20150907 | 30.7 | 0.92% | ||
| 20171124 | 59.0 | 0.29% | 20181118 | 51.3 | 0.96% | ||
| 124/032 | 20170122 | 63.6 | 16.19% | 143/030 | 20180130 | 64.3 | 73.42% |
| 20170514 | 27.2 | 0.05% | 20180522 | 27.6 | 7.07% | ||
| 20150712 | 25.8 | 0.09% | 20170722 | 28.8 | 1.65% | ||
| 20180922 | 43.2 | 0.03% | 20180927 | 47.3 | 34.61% | ||
| 20181109 | 59.0 | 0.09% | 20181130 | 66.5 | 49.24% | ||
| 128/036 | 20170102 | 61.2 | 1.38% | 121/042 | 20170509 | 22.3 | 0.47% |
| 20180513 | 24.5 | 0.03% | 20170728 | 23.7 | 0.34% | ||
| 20150724 | 25.0 | 0.14% | 20160927 | 34.1 | 0.31% | ||
| 20181121 | 57.0 | 3.62% | 20171101 | 44.4 | 0.27% | ||
| 131/038 | 20180126 | 55.9 | 14.52% | ||||
| 20160512 | 23.3 | 10.37% | |||||
| 20160715 | 23.2 | 0.29% | |||||
| 20181110 | 51.7 | 48.51% |
| SAA = 90° | SAA = 270° | ||||||||
|---|---|---|---|---|---|---|---|---|---|
| RMSE | Bias | IQR Reduction | Mean | RMSE | Bias | IQR Reduction | Mean | ||
| Scene 1 | Before correction | 0.0673 | −0.0454 | 0.3619 | 0.0664 | −0.0455 | 0.3619 | ||
| b correction | 0.0181 | −0.0109 | 82.26% | 0.3964 | 0.0179 | −0.0108 | 81.88% | 0.3965 | |
| SCS+C | 0.0526 | −0.0454 | 58.43% | 0.3619 | 0.0526 | −0.0454 | 56.72% | 0.3620 | |
| C | 0.0179 | −0.0113 | 86.88% | 0.3960 | 0.0177 | −0.0113 | 86.48% | 0.3960 | |
| Minnaert+SCS | 0.0801 | −0.0644 | 32.86% | 0.3430 | 0.0813 | −0.0656 | 28.38% | 0.3417 | |
| VECA | 0.0472 | −0.0454 | 88.01% | 0.3619 | 0.0472 | −0.0455 | 87.65% | 0.3619 | |
| Teillet regression | 0.0472 | −0.0454 | 82.33% | 0.3619 | 0.0472 | −0.0455 | 82.16% | 0.3619 | |
| C_landtype | 0.0176 | −0.0113 | 86.88% | 0.3960 | 0.0175 | −0.0113 | 86.51% | 0.3960 | |
| SCS+C_landtype | 0.0528 | −0.0454 | 58.39% | 0.3620 | 0.0528 | −0.0453 | 56.87% | 0.3620 | |
| Teillet_ landtype | 0.0467 | −0.0454 | 87.92% | 0.3619 | 0.0467 | −0.0455 | 87.58% | 0.3619 | |
| Scene 2 | Before correction | 0.0356 | −0.0164 | 0.3910 | 0.0354 | −0.0171 | 0.3902 | ||
| b correction | 0.0082 | −0.0037 | 87.61% | 0.4036 | 0.0081 | −0.0037 | 87.40% | 0.4036 | |
| SCS+C | 0.0218 | −0.0167 | 60.41% | 0.3906 | 0.0218 | −0.0167 | 60.04% | 0.3906 | |
| C | 0.0085 | −0.0033 | 89.51% | 0.4040 | 0.0084 | −0.0033 | 89.36% | 0.4040 | |
| Minnaert+SCS | 0.0337 | −0.0242 | 38.63% | 0.3831 | 0.0338 | −0.0244 | 37.05% | 0.3830 | |
| VECA | 0.0180 | −0.0163 | 89.85% | 0.3910 | 0.0186 | −0.0171 | 89.72% | 0.3902 | |
| Teillet regression | 0.0179 | −0.0164 | 83.11% | 0.3910 | 0.0186 | −0.0171 | 83.05% | 0.3902 | |
| C_ landtype | 0.0084 | −0.0033 | 89.38% | 0.4040 | 0.0084 | −0.0033 | 89.27% | 0.4040 | |
| SCS+C_ landtype | 0.0222 | −0.0167 | 60.29% | 0.3906 | 0.0222 | −0.0167 | 59.93% | 0.3906 | |
| Teillet_ landtype | 0.0173 | −0.0164 | 89.67% | 0.3910 | 0.0180 | −0.0171 | 89.59% | 0.3902 | |
Publisher’s Note: MDPI stays neutral with regard to jurisdictional claims in published maps and institutional affiliations. |
© 2021 by the authors. Licensee MDPI, Basel, Switzerland. This article is an open access article distributed under the terms and conditions of the Creative Commons Attribution (CC BY) license (https://creativecommons.org/licenses/by/4.0/).
Share and Cite
Ma, Y.; He, T.; Li, A.; Li, S. Evaluation and Intercomparison of Topographic Correction Methods Based on Landsat Images and Simulated Data. Remote Sens. 2021, 13, 4120. https://doi.org/10.3390/rs13204120
Ma Y, He T, Li A, Li S. Evaluation and Intercomparison of Topographic Correction Methods Based on Landsat Images and Simulated Data. Remote Sensing. 2021; 13(20):4120. https://doi.org/10.3390/rs13204120
Chicago/Turabian StyleMa, Yichuan, Tao He, Ainong Li, and Sike Li. 2021. "Evaluation and Intercomparison of Topographic Correction Methods Based on Landsat Images and Simulated Data" Remote Sensing 13, no. 20: 4120. https://doi.org/10.3390/rs13204120
APA StyleMa, Y., He, T., Li, A., & Li, S. (2021). Evaluation and Intercomparison of Topographic Correction Methods Based on Landsat Images and Simulated Data. Remote Sensing, 13(20), 4120. https://doi.org/10.3390/rs13204120

