Hyperspectral Super-Resolution Via Joint Regularization of Low-Rank Tensor Decomposition
Abstract
:1. Introduction
- (1)
- In the process of recovering high-resolution hyperspectral images (HR-HSI), joint regularization is considered to operate on the three-mode dictionary. The graph regularization can make full use of the manifold structure in LR-HSI and HR-MSI, while the unidirectional total variational regularization fully considers the segmental smoothness of the target image, and the combination of the two can effectively preserve the spatial structure information and the spectral structure information of HR-HSI.
- (2)
- Based on the unidirectional total variational regularization, the -norm is used. The -norm is not only sparse for the sum of the absolute values of the matrix elements, but also requires row sparsity.
- (3)
- During the experiments, not only the standard dataset of hyperspectral fusion is adopted, but also the dataset about the local Ningxia is used, which makes the algorithm more widely suitable and the performance more convincing.
2. Related Works
2.1. Tensor Description
2.2. Observation Model
2.3. Joint Regularization
2.3.1. Graph Regularization
2.3.2. Unidirectional Total Variation Regularization
2.4. Proposed Algorithm
3. Optimization
3.1. Optimization of
3.2. Optimization of
3.3. Optimization of
3.4. Optimization of
| Algorithm 1 JRLTD-Based Hyperspectral Image Super-Resolution. |
|
4. Experiments
4.1. Datasets
4.2. Compared Algorithms
4.3. Quantitative Metrics
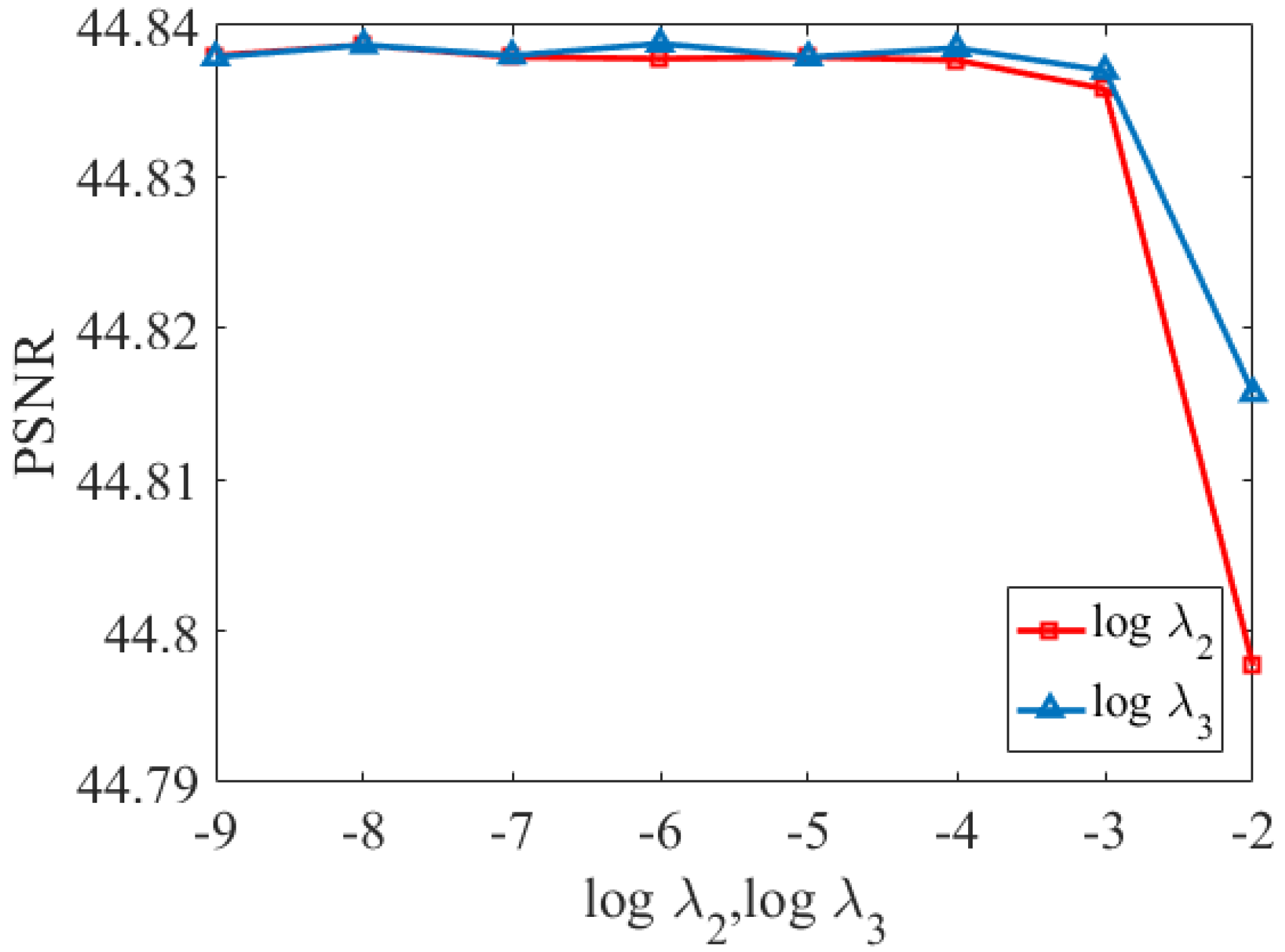
4.4. Parameters Discussion
4.5. Experimental Results
4.5.1. Experiment on Pavia University
4.5.2. Experiment on Washington DC
4.5.3. Experiment on Sand Lake in Ningxia of China
5. Conclusions
Author Contributions
Funding
Acknowledgments
Conflicts of Interest
Abbreviations
| HSI-SR | Hyperspectral image super-resolution |
| LR-HSI | Low-resolution hyperspectral image |
| HR-MSI | High-resolution multispectral image |
| HR-HSI | High-resolution hyperspectral image |
| JRLTD | Joint regularized low-rank Tensor decomposition method |
| TV | Total variation |
| ADMM | Alternating direction multiplier method |
| PAO | Proximal alternate optimization |
| CNMF | Coupled non-negative matrix factorization |
| HySure | Hyperspectral image superresolution via subspace-based regularization |
| NLSTF | Non-local sparse tensor factorization |
| CSTF | Coupled sparse Tensor factorization |
| PSNR | Peak signal-to-noise ratio |
| ERGAS | Error relative global dimensionless synthesis |
| SAM | spectral angle mapping |
| RMSE | Root mean square error |
| CC | Correlation coefficient |
| DD | Distortion degree |
| SSIM | Structural similarity |
| UIQI | Universal image quality index |
Appendix A
Appendix A.1. Optimization of P 1
| Algorithm A1 Solve -Subproblem (13) with ADMM. |
| Input: Y, Z, , , , , , , , , , , and . Output: Dictionary matrix .
|
Appendix A.2. Optimization of P2
| Algorithm A2 Solve -Subproblem (15) with ADMM. |
| Input: Y, Z, , , , , , , , , , , and . Output: Dictionary matrix .
|
Appendix A.3. Optimization of P3
| Algorithm A3 Solve -Subproblem (17) with ADMM. |
| Input: Y, Z, , , , , , , , , , , and . Output: Dictionary matrix .
|
Appendix A.4. Optimization of C
| Algorithm A4 Solve - Subproblem (19) with ADMM. |
| Input: Y, Z, , , , , , , , , , and . Output: Core tensor .
|
References
- Bioucas-Dias, J.M.; Plaza, A.; Camps-Valls, G.; Scheunders, P.; Nasrabadi, N.; Chanussot, J. Hyperspectral remote sensing data analysis and future challenges. IEEE Geosci. Remote. Sens. Mag. 2013, 1, 6–36. [Google Scholar] [CrossRef] [Green Version]
- Vivone, G.; Alparone, L.; Chanussot, J.; Dalla Mura, M.; Garzelli, A.; Licciardi, G.A.; Restaino, R.; Wald, L. A critical comparison among pansharpening algorithms. IEEE Trans. Geosci. Remote. Sens. 2014, 53, 2565–2586. [Google Scholar] [CrossRef]
- Aiazzi, B.; Alparone, L.; Baronti, S.; Garzelli, A.; Selva, M. Years of pansharpening: A critical review and new developments. In Signal Image Processing for Remote Sensing, 2nd ed.; Chen, C.H., Ed.; CRC Press: Boca Raton, FL, USA, 2012; Volume 25, pp. 533–548. [Google Scholar]
- Meng, X.; Shen, H.; Li, H.; Zhang, L.; Fu, R. Review of the pansharpening methods for remote sensing images based on the idea of meta-analysis: Practical discussion and challenges. Inf. Fusion 2019, 46, 102–113. [Google Scholar] [CrossRef]
- Vivone, G.; Restaino, R.; Licciardi, G.; Dalla Mura, M.; Chanussot, J. Multiresolution analysis and component substitution techniques for hyperspectral pansharpening. In Proceedings of the 2014 IEEE Geoscience and Remote Sensing Symposium, Quebec City, QC, Canada, 13–18 July 2014; pp. 2649–2652. [Google Scholar]
- Kwarteng, P.; Chavez, A. Extracting spectral contrast in Landsat Thematic Mapper image data using selective principal component analysis. Photogramm. Eng. Remote Sens. 1989, 55, 339–348. [Google Scholar]
- Feng-Hua, H.; Lu-Ming, Y. Study on the hyperspectral image fusion based on the gram_schmidt improved algorithm. Inf. Technol. J. 2013, 12, 6694. [Google Scholar] [CrossRef]
- Alparone, L.; Baronti, S.; Aiazzi, B.; Garzelli, A. Spatial methods for multispectral pansharpening: Multiresolution analysis demystified. IEEE Trans. Geosci. Remote Sens. 2016, 54, 2563–2576. [Google Scholar] [CrossRef]
- Li, H.; Manjunath, B.; Mitra, S.K. Multisensor image fusion using the wavelet transform. Graph. Model. Image Process. 1995, 57, 235–245. [Google Scholar] [CrossRef]
- Liu, J. Smoothing filter-based intensity modulation: A spectral preserve image fusion technique for improving spatial details. Int. J. Remote Sens. 2000, 21, 3461–3472. [Google Scholar] [CrossRef]
- Aiazzi, B.; Alparone, L.; Baronti, S.; Garzelli, A.; Selva, M. MTF-tailored multiscale fusion of high-resolution MS and Pan imagery. Photogramm. Eng. Remote Sens. 2006, 72, 591–596. [Google Scholar] [CrossRef]
- Yuan, Q.; Wei, Y.; Meng, X.; Shen, H.; Zhang, L. A multiscale and multidepth convolutional neural network for remote sensing imagery pan-sharpening. IEEE J. Sel. Top. Appl. Earth Obs. Remote Sens. 2018, 11, 978–989. [Google Scholar] [CrossRef] [Green Version]
- Bungert, L.; Coomes, D.A.; Ehrhardt, M.J.; Rasch, J.; Reisenhofer, R.; Schönlieb, C.B. Blind image fusion for hyperspectral imaging with the directional total variation. Inverse Probl. 2018, 34, 044003. [Google Scholar] [CrossRef]
- Bajaj, C.; Wang, T. Blind Hyperspectral-Multispectral Image Fusion via Graph Laplacian Regularization. arXiv 2019, arXiv:1902.08224. [Google Scholar]
- Ghaderpour, E. Multichannel antileakage least-squares spectral analysis for seismic data regularization beyond aliasing. Acta Geophys. 2019, 67, 1349–1363. [Google Scholar] [CrossRef]
- Miao, J.; Cao, H.; Jin, X.B.; Ma, R.; Fei, X.; Niu, L. Joint sparse regularization for dictionary learning. Cogn. Comput. 2019, 11, 697–710. [Google Scholar] [CrossRef]
- He, Z.; Wang, Y.; Hu, J. Joint sparse and low-rank multitask learning with laplacian-like regularization for hyperspectral classification. Remote Sens. 2018, 10, 322. [Google Scholar] [CrossRef] [Green Version]
- Simoes, M.; Bioucas-Dias, J.; Almeida, L.B.; Chanussot, J. A convex formulation for hyperspectral image superresolution via subspace-based regularization. IEEE Trans. Geosci. Remote Sens. 2014, 53, 3373–3388. [Google Scholar] [CrossRef] [Green Version]
- Zhang, Y.; De Backer, S.; Scheunders, P. Noise-resistant wavelet-based Bayesian fusion of multispectral and hyperspectral images. IEEE Trans. Geosci. Remote Sens. 2009, 47, 3834–3843. [Google Scholar] [CrossRef]
- Akhtar, N.; Shafait, F.; Mian, A. Bayesian sparse representation for hyperspectral image super resolution. In Proceedings of the IEEE Conference on Computer Vision and Pattern Recognition, Boston, MA, USA, 7–12 June 2015; pp. 3631–3640. [Google Scholar]
- Ballester, C.; Caselles, V.; Igual, L.; Verdera, J.; Rougé, B. A variational model for P+ XS image fusion. Int. J. Comput. Vis. 2006, 69, 43–58. [Google Scholar] [CrossRef]
- Ning, M.; Ze-Ming, Z.; ZHANG, P.; Li-Min, L. A new variational model for panchromatic and multispectral image fusion. Acta Autom. Sin. 2013, 39, 179–187. [Google Scholar]
- Xing, Y.; Yang, S.; Feng, Z.; Jiao, L. Dual-Collaborative Fusion Model for Multispectral and Panchromatic Image Fusion. IEEE Trans. Geosci. Remote Sens. 2020, 1–15. [Google Scholar] [CrossRef]
- Zhu, X.X.; Bamler, R. A sparse image fusion algorithm with application to pan-sharpening. IEEE Trans. Geosci. Remote Sens. 2012, 51, 2827–2836. [Google Scholar] [CrossRef]
- Yang, X.; Jian, L.; Yan, B.; Liu, K.; Zhang, L.; Liu, Y. A sparse representation based pansharpening method. Future Gener. Comput. Syst. 2018, 88, 385–399. [Google Scholar] [CrossRef]
- Simsek, M.; Polat, E. Performance evaluation of pan-sharpening and dictionary learning methods for sparse representation of hyperspectral super-resolution. In Signal Image and Video Processing; Springer: Berlin/Heidelberg, Germany, 2021; pp. 1–8. [Google Scholar]
- Garzelli, A. A review of image fusion algorithms based on the super-resolution paradigm. Remote Sens. 2016, 8, 797. [Google Scholar] [CrossRef] [Green Version]
- Loncan, L.; De Almeida, L.B.; Bioucas-Dias, J.M.; Briottet, X.; Chanussot, J.; Dobigeon, N.; Fabre, S.; Liao, W.; Licciardi, G.A.; Simoes, M.; et al. Hyperspectral pansharpening: A review. IEEE Geosci. Remote Sens. Mag. 2015, 3, 27–46. [Google Scholar] [CrossRef] [Green Version]
- Yokoya, N.; Yairi, T.; Iwasaki, A. Coupled nonnegative matrix factorization unmixing for hyperspectral and multispectral data fusion. IEEE Trans. Geosci. Remote Sens. 2011, 50, 528–537. [Google Scholar] [CrossRef]
- Bioucas-Dias, J.M.; Plaza, A.; Dobigeon, N.; Parente, M.; Du, Q.; Gader, P.; Chanussot, J. Hyperspectral unmixing overview: Geometrical, statistical, and sparse regression-based approaches. IEEE J. Sel. Top. Appl. Earth Obs. Remote Sens. 2012, 5, 354–379. [Google Scholar] [CrossRef] [Green Version]
- Bendoumi, M.A.; He, M.; Mei, S. Hyperspectral image resolution enhancement using high-resolution multispectral image based on spectral unmixing. IEEE Trans. Geosci. Remote Sens. 2014, 52, 6574–6583. [Google Scholar] [CrossRef]
- Berné, O.; Helens, A.; Pilleri, P.; Joblin, C. Non-negative matrix factorization pansharpening of hyperspectral data: An application to mid-infrared astronomy. In Proceedings of the 2010 2nd Workshop on Hyperspectral Image and Signal Processing: Evolution in Remote Sensing, Reykjavik, Iceland, 14–16 June 2010; pp. 1–4. [Google Scholar]
- Kawakami, R.; Matsushita, Y.; Wright, J.; Ben-Ezra, M.; Tai, Y.W.; Ikeuchi, K. High-resolution hyperspectral imaging via matrix factorization. In Proceedings of the CVPR 2011, Colorado Springs, CO, USA, 20–25 June 2011; pp. 2329–2336. [Google Scholar]
- An, Z.; Shi, Z. Hyperspectral image fusion by multiplication of spectral constraint and NMF. Optik 2014, 125, 3150–3158. [Google Scholar] [CrossRef]
- Chen, Q.; Shi, Z.; An, Z. Hyperspectral image fusion based on sparse constraint NMF. Optik 2014, 125, 832–838. [Google Scholar] [CrossRef]
- Karoui, M.S.; Deville, Y.; Benhalouche, F.Z.; Boukerch, I. Hypersharpening by joint-criterion nonnegative matrix factorization. IEEE Trans. Geosci. Remote Sens. 2016, 55, 1660–1670. [Google Scholar] [CrossRef]
- Lanaras, C.; Baltsavias, E.; Schindler, K. Hyperspectral super-resolution by coupled spectral unmixing. In Proceedings of the IEEE International Conference on Computer Vision, Santiago, Chile, 7–13 December 2015; pp. 3586–3594. [Google Scholar]
- Dian, R.; Fang, L.; Li, S. Hyperspectral image super-resolution via non-local sparse tensor factorization. In Proceedings of the IEEE Conference on Computer Vision and Pattern Recognition, Honolulu, HI, USA, 21–26 June 2017; pp. 5344–5353. [Google Scholar]
- Li, S.; Dian, R.; Fang, L.; Bioucas-Dias, J.M. Fusing hyperspectral and multispectral images via coupled sparse tensor factorization. IEEE Trans. Image Process. 2018, 27, 4118–4130. [Google Scholar] [CrossRef]
- Zhang, K.; Wang, M.; Yang, S.; Jiao, L. Spatial–spectral-graph-regularized low-rank tensor decomposition for multispectral and hyperspectral image fusion. IEEE J. Sel. Top. Appl. Earth Obs. Remote Sens. 2018, 11, 1030–1040. [Google Scholar] [CrossRef]
- Xu, T.; Huang, T.Z.; Deng, L.J.; Zhao, X.L.; Huang, J. Hyperspectral image superresolution using unidirectional total variation with tucker decomposition. IEEE J. Sel. Top. Appl. Earth Obs. Remote Sens. 2020, 13, 4381–4398. [Google Scholar] [CrossRef]
- He, W.; Yokoya, N.; Yuan, L.; Zhao, Q. Remote sensing image reconstruction using tensor ring completion and total variation. IEEE Trans. Geosci. Remote Sens. 2019, 57, 8998–9009. [Google Scholar] [CrossRef]
- He, W.; Chen, Y.; Yokoya, N.; Li, C.; Zhao, Q. Hyperspectral super-resolution via coupled tensor ring factorization. arXiv 2020, arXiv:2001.01547. [Google Scholar]
- Xu, Y.; Wu, Z.; Chanussot, J.; Wei, Z. Hyperspectral images super-resolution via learning high-order coupled tensor ring representation. IEEE Trans. Neural Networks Learn. Syst. 2020, 31, 4747–4760. [Google Scholar] [CrossRef] [PubMed]
- Attouch, H.; Bolte, J.; Redont, P.; Soubeyran, A. Proximal alternating minimization and projection methods for nonconvex problems: An approach based on the Kurdyka-Łojasiewicz inequality. Math. Oper. Res. 2010, 35, 438–457. [Google Scholar] [CrossRef] [Green Version]
- Gene, H.; Van Loan, C. Matrix Computations; Johns Hopkins University Press: Baltimore, MD, USA, 2012; Volume 4. [Google Scholar]
- Smith, L.N.; Elad, M. Improving dictionary learning: Multiple dictionary updates and coefficient reuse. IEEE Signal Process. Lett. 2012, 20, 79–82. [Google Scholar] [CrossRef]
- Bioucas-Dias, J.M. A variable splitting augmented Lagrangian approach to linear spectral unmixing. In Proceedings of the 2009 First Workshop on Hyperspectral Image and Signal Processing: Evolution in Remote Sensing, Grenoble, France, 26–28 August 2009; pp. 1–4. [Google Scholar]
- Dereniowski, D.; Kubale, M. Cholesky factorization of matrices in parallel and ranking of graphs. In International Conference on Parallel Processing and Applied Mathematics; Springer: Berlin/Heidelberg, Germany, 2003; pp. 985–992. [Google Scholar]











| Parameters | Tuning Ranges | Pavia University Dataset | Washington DC Dataset | Sand Lake Dataset | Suggested Ranges |
|---|---|---|---|---|---|
| K | 20 | 25 | 20 | ||
| 360 | 340 | 360 | |||
| 380 | 380 | 380 | |||
| 15 | 15 | 18 |
| Methods | Spectral Features | Signal-To-Noise Ratio | Spatial Features | |||||
|---|---|---|---|---|---|---|---|---|
| RMSE | CC | ERGAS | SAM | DD | PSNR | SSIM | UIQI | |
| BEST | 0 | 1 | 0 | 0 | 0 | ∞ | 1 | 1 |
| CNMF | 6.3889 | 0.9702 | 3.6300 | 3.7427 | 3.9586 | 32.1227 | 0.9366 | 0.9492 |
| HySure | 4.0104 | 0.9880 | 2.2397 | 3.3363 | 2.5411 | 36.4850 | 0.9703 | 0.9790 |
| NLSTF | 2.0265 | 0.9966 | 1.1602 | 2.0873 | 1.3064 | 44.4323 | 0.9706 | 0.9928 |
| CSTF | 1.7673 | 0.9974 | 0.9886 | 1.8391 | 1.1610 | 43.9473 | 0.9881 | 0.9942 |
| UTV-HSISR | 1.6881 | 0.9976 | 0.9294 | 1.7635 | 1.0460 | 44.6407 | 0.9898 | 0.9950 |
| Proposed | 1.6552 | 0.9977 | 0.9072 | 1.7097 | 1.0105 | 44.8388 | 0.9905 | 0.9952 |
| Methods | Spectral Features | Signal-To-Noise Ratio | Spatial Features | |||||
|---|---|---|---|---|---|---|---|---|
| RMSE | CC | ERGAS | SAM | DD | PSNR | SSIM | UIQI | |
| BEST | 0 | 1 | 0 | 0 | 0 | ∞ | 1 | 1 |
| CNMF | 4.1122 | 0.9745 | 3.4984 | 3.2825 | 2.9279 | 37.5546 | 0.9585 | 0.9569 |
| HySure | 3.0588 | 0.9837 | 3.7441 | 3.4822 | 1.9632 | 39.7109 | 0.9778 | 0.9749 |
| NLSTF | 1.2778 | 0.9947 | 2.2339 | 1.7381 | 0.7840 | 48.1596 | 0.9923 | 0.9919 |
| CSTF | 1.0618 | 0.9950 | 2.3983 | 1.5433 | 0.6865 | 48.3925 | 0.9945 | 0.9926 |
| UTV-HSISR | 0.9397 | 0.9962 | 2.0301 | 1.3421 | 0.5444 | 49.7023 | 0.9961 | 0.9945 |
| Proposed | 0.8847 | 0.9963 | 2.0478 | 1.2454 | 0.4871 | 50.2731 | 0.9966 | 0.9946 |
| Methods | Spectral Features | Signal-To-Noise Ratio | Spatial Features | |||||
|---|---|---|---|---|---|---|---|---|
| RMSE | CC | ERGAS | SAM | DD | PSNR | SSIM | UIQI | |
| BEST | 0 | 1 | 0 | 0 | 0 | ∞ | 1 | 1 |
| CNMF | 3.5512 | 0.9752 | 1.1293 | 1.1495 | 2.4822 | 37.6549 | 0.9681 | 0.9688 |
| HySure | 2.9776 | 0.9935 | 1.8847 | 1.3881 | 1.9273 | 39.6945 | 0.9732 | 0.9820 |
| NLSTF | 2.0026 | 0.9965 | 0.6263 | 1.1535 | 1.4592 | 44.4597 | 0.9841 | 0.9828 |
| CSTF | 1.5303 | 0.9980 | 0.4853 | 0.9782 | 1.1343 | 44.7850 | 0.9860 | 0.9859 |
| UTV-HSISR | 0.8926 | 0.9994 | 0.2932 | 0.5514 | 0.5054 | 50.5421 | 0.9956 | 0.9959 |
| Proposed | 0.8452 | 0.9994 | 0.2786 | 0.5191 | 0.4606 | 51.0214 | 0.9962 | 0.9965 |
Publisher’s Note: MDPI stays neutral with regard to jurisdictional claims in published maps and institutional affiliations. |
© 2021 by the authors. Licensee MDPI, Basel, Switzerland. This article is an open access article distributed under the terms and conditions of the Creative Commons Attribution (CC BY) license (https://creativecommons.org/licenses/by/4.0/).
Share and Cite
Cao, M.; Bao, W.; Qu, K. Hyperspectral Super-Resolution Via Joint Regularization of Low-Rank Tensor Decomposition. Remote Sens. 2021, 13, 4116. https://doi.org/10.3390/rs13204116
Cao M, Bao W, Qu K. Hyperspectral Super-Resolution Via Joint Regularization of Low-Rank Tensor Decomposition. Remote Sensing. 2021; 13(20):4116. https://doi.org/10.3390/rs13204116
Chicago/Turabian StyleCao, Meng, Wenxing Bao, and Kewen Qu. 2021. "Hyperspectral Super-Resolution Via Joint Regularization of Low-Rank Tensor Decomposition" Remote Sensing 13, no. 20: 4116. https://doi.org/10.3390/rs13204116
APA StyleCao, M., Bao, W., & Qu, K. (2021). Hyperspectral Super-Resolution Via Joint Regularization of Low-Rank Tensor Decomposition. Remote Sensing, 13(20), 4116. https://doi.org/10.3390/rs13204116

