Assessment and Comparison of Six Machine Learning Models in Estimating Evapotranspiration over Croplands Using Remote Sensing and Meteorological Factors
Abstract
:1. Introduction
2. Materials and Methods
2.1. Data
2.1.1. Eddy Covariance Flux Site Data
2.1.2. Remote Sensing Data
2.2. Machine Learning-Based Models
2.2.1. K Nearest Neighbor (KNN)
2.2.2. Random Forests (RF)
2.2.3. Support Vector Machine (SVM)
2.2.4. Extreme Gradient Lift (XGboost)
2.2.5. Artificial Neural Network (ANN)
2.2.6. Long Short-Term Memory (LSTM)
2.3. Model Development
2.4. Model Evaluation
- Correlations coefficient (r): the value of r ranges between −1 and 1, with large values corresponding to a better performance. The calculation formula is as follows:where is the observed values, is the predicted values, is the average of observed values, . is the average of predicted values and is the total amount of experimental data.
- Root mean square error (RMSE): the value of RMSE ranges between 0 and positive infinity, with small values corresponding to a better performance. It is a measure of the difference between the predicted values and the observed values [34] and reflects the degree of dispersion of the predicted values to explain the true values. The calculation formula is as follows:
3. Results
3.1. Model Parameter Optimization
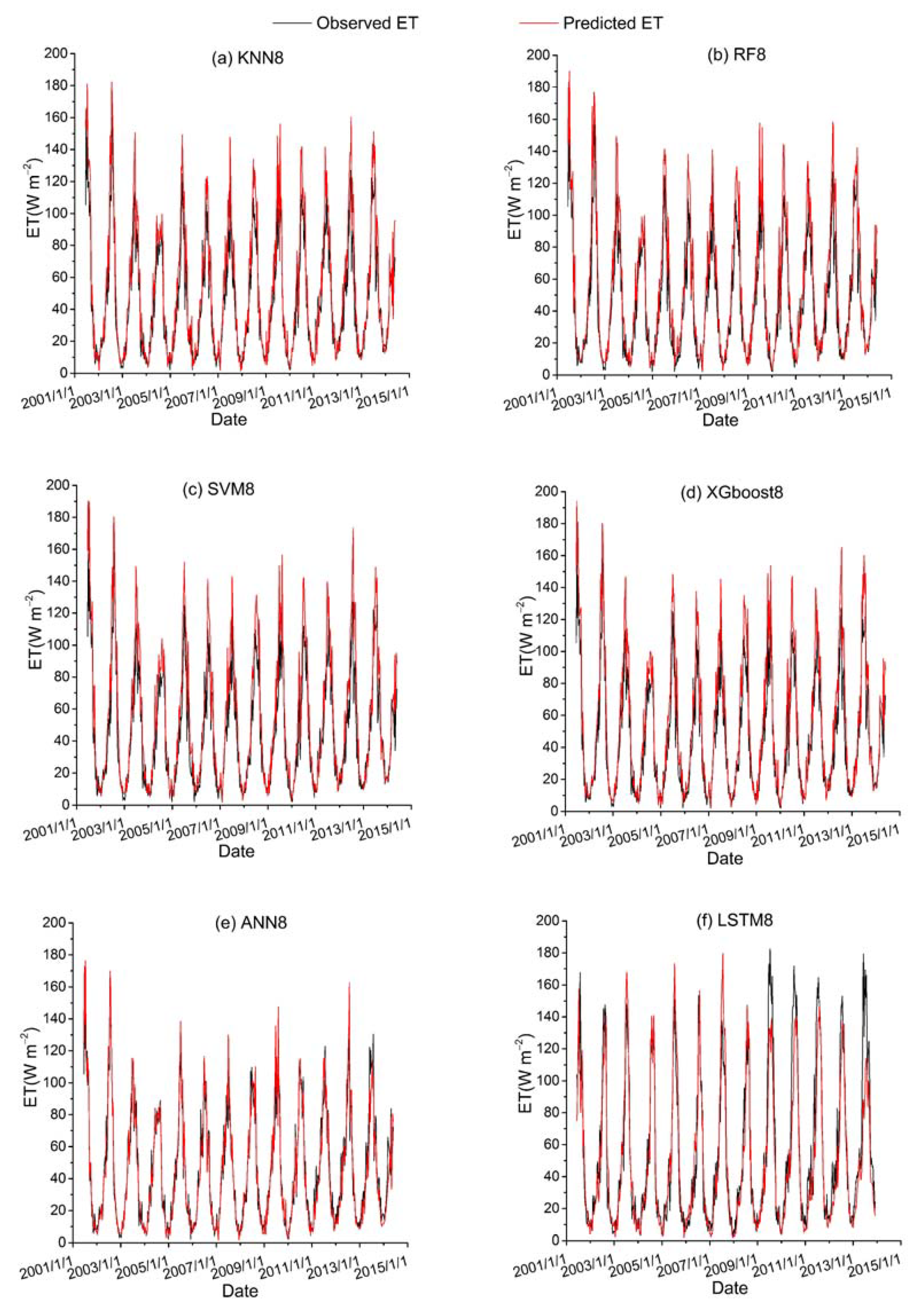
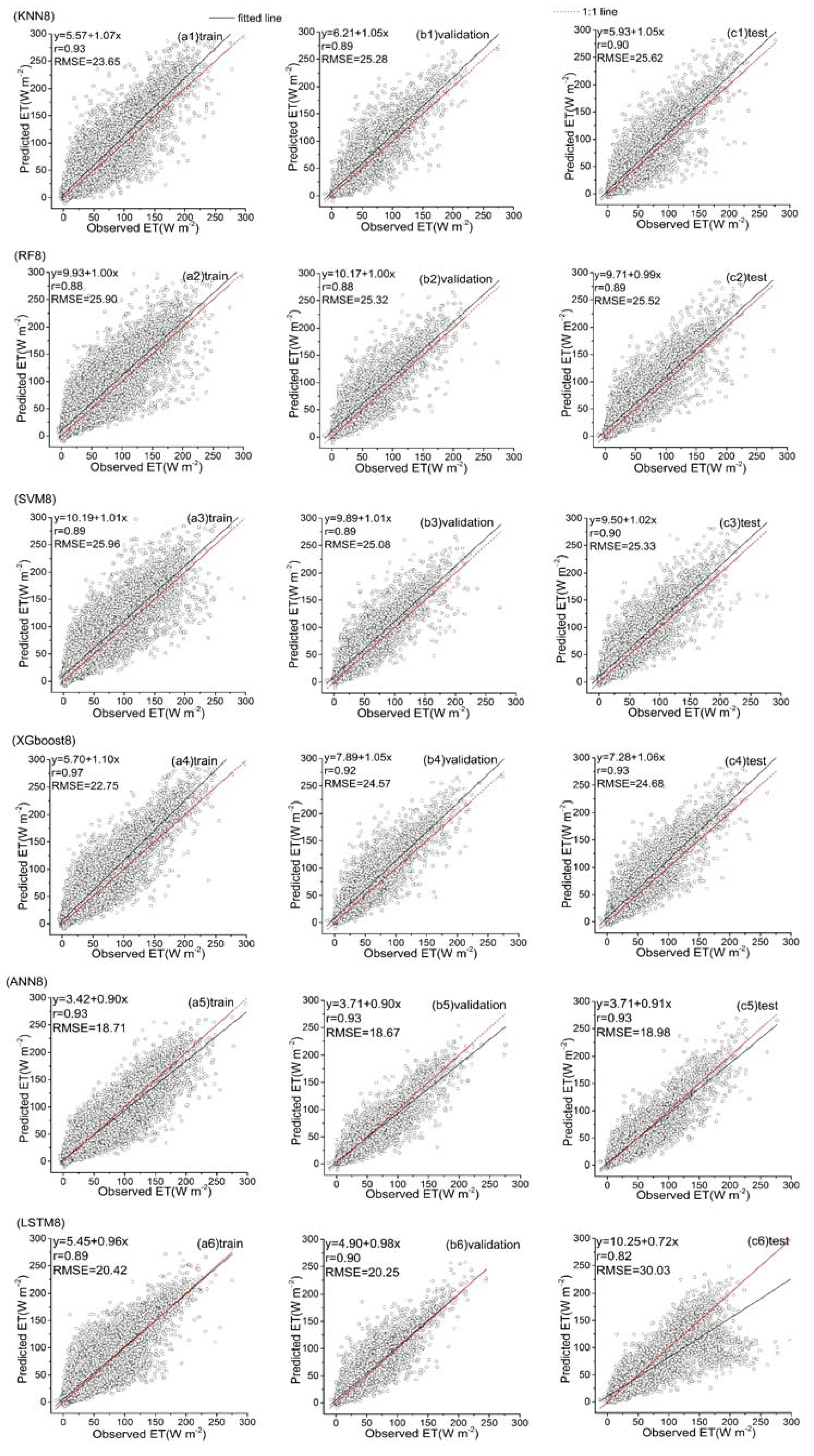
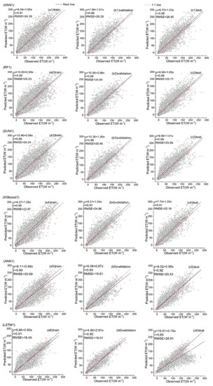
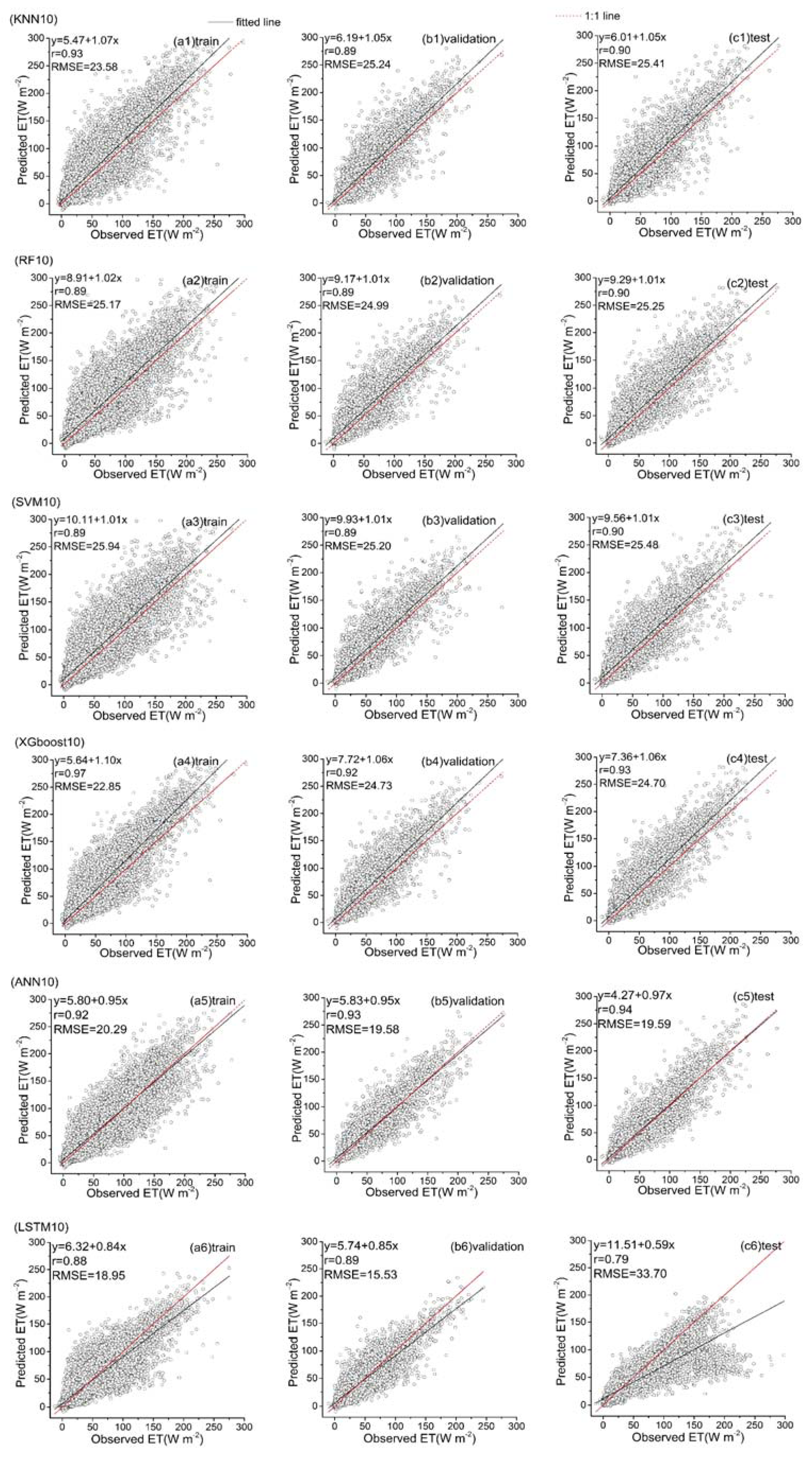
3.2. Comparison of Six ML Algorithms for Estimating Gs with Different Combinations of Input Variables
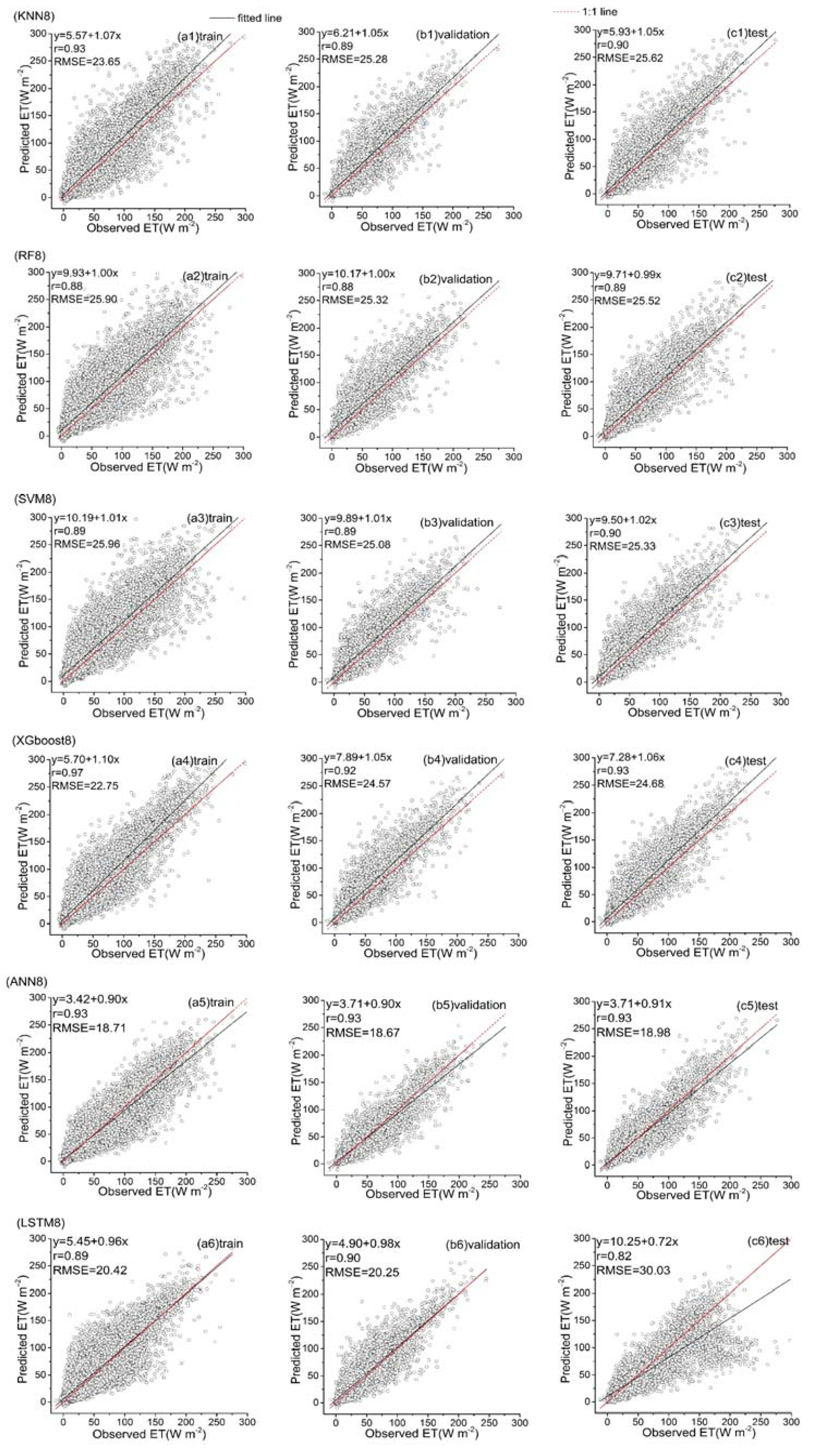
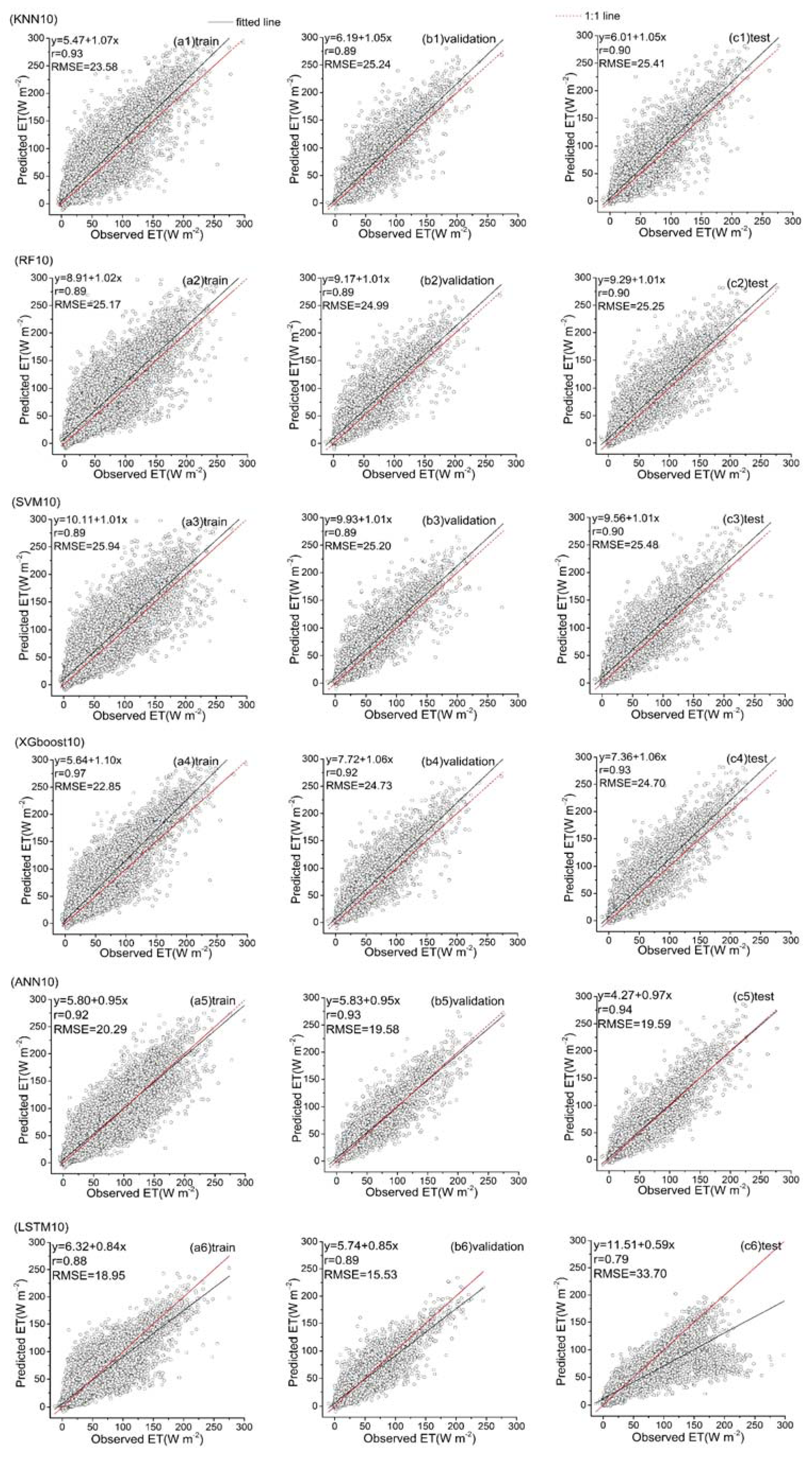
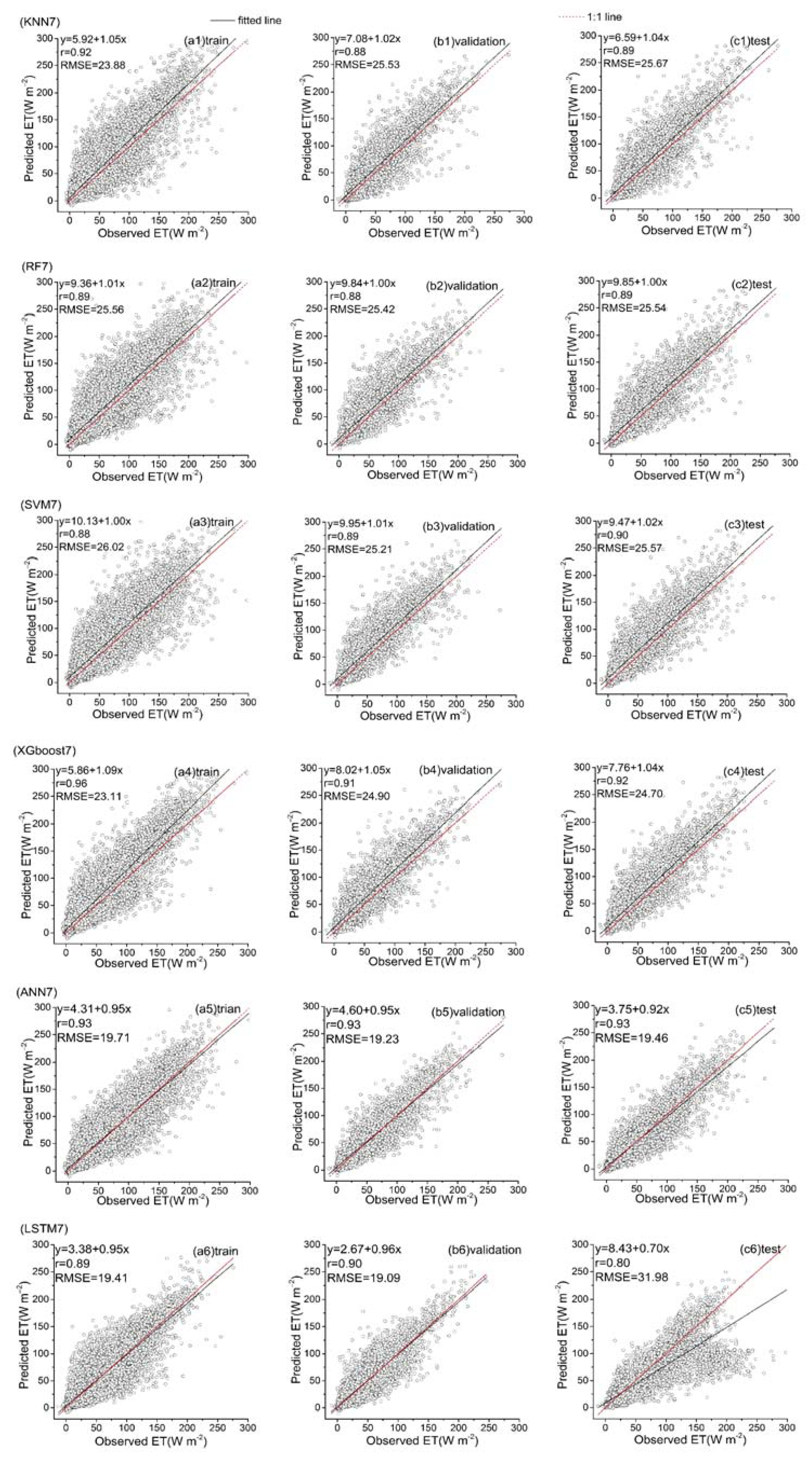
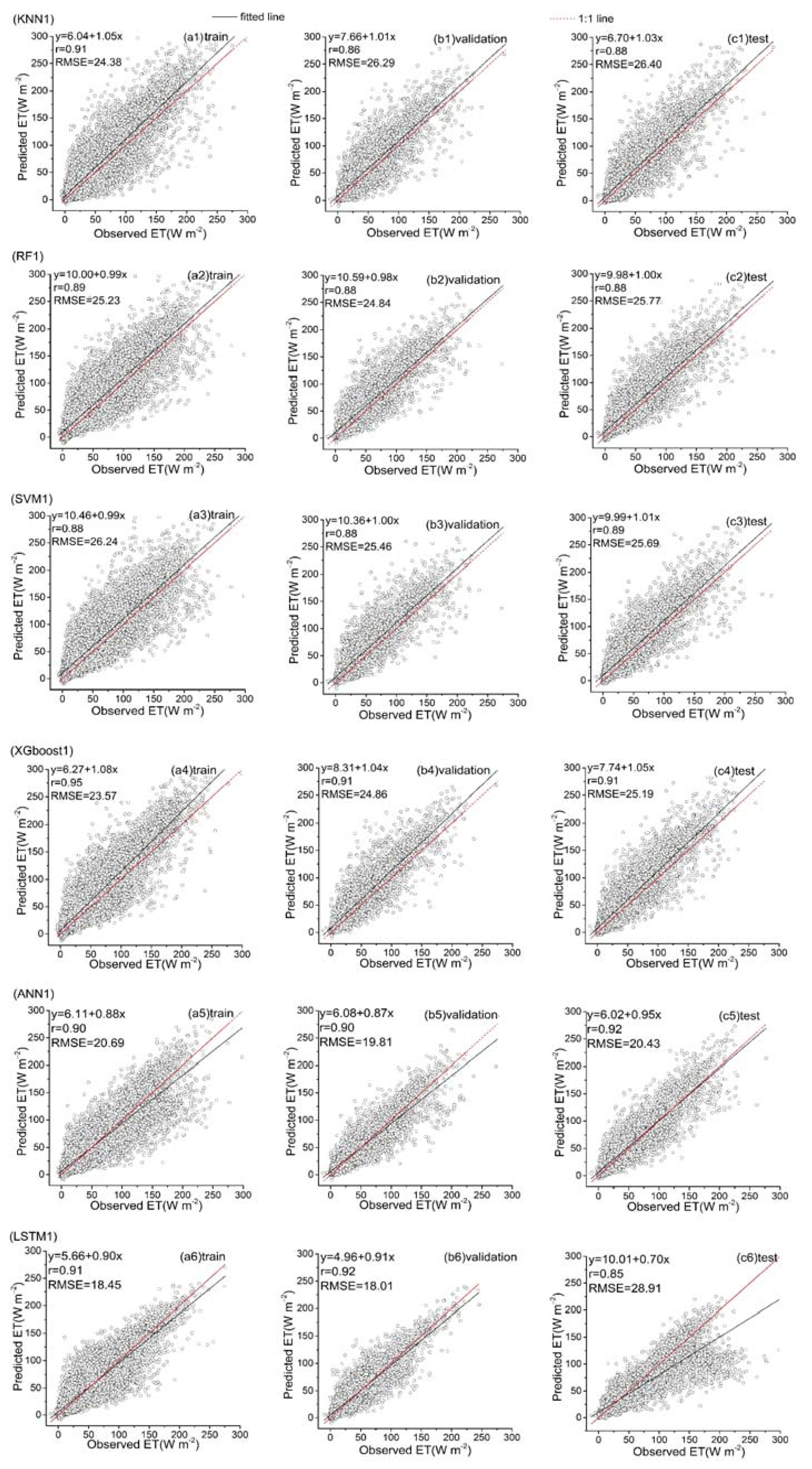
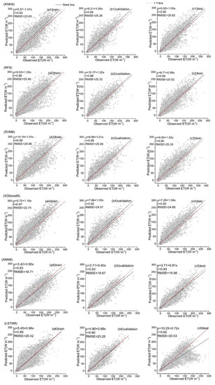
3.3. Accuracy of Hybrid Models with Different Combinations of Input Variables
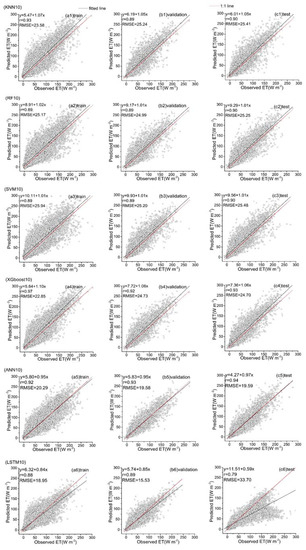
3.4. Comparison of ML-Based Hybrid Models
4. Discussion
4.1. Comparison of This Study with Other Studies
4.2. Reasons for Poor Performance of LSTM-Based Model
4.3. Uncertainty of Machine Learning Algorithm
4.4. Significance of This Study
5. Conclusions
Author Contributions
Funding
Institutional Review Board Statement
Informed Consent Statement
Data Availability Statement
Acknowledgments
Conflicts of Interest
Appendix A
| Sites | Time Period | Mean Annual Temperature (°C) | Mean Annual Precipitation (mm) |
| BE-Lon | 2004–2014 | 11.41 | 766.50 |
| CH-Oe2 | 2004–2014 | 9.56 | 2062.25 |
| DE-Geb | 2001–2014 | 9.67 | 532.90 |
| DE-Kli | 2004–2014 | 7.77 | 810.30 |
| DE-RuS | 2011–2014 | 10.80 | 551.15 |
| DE-Seh | 2007–2010 | 10.29 | 573.05 |
| FR-Gri | 2004–2014 | 10.96 | 598.60 |
| IT-BCi | 2004–2014 | 17.88 | 1197.20 |
| IT-CA2 | 2011–2014 | 14.84 | 766.50 |
| US-ARM | 2003–2012 | 15.27 | 646.05 |
| US-CRT | 2011–2013 | 10.85 | 810.30 |
| US-Ne1 | 2001–2013 | 10.54 | 846.80 |
| US-Ne2 | 2001–2013 | 10.26 | 876.00 |
| US-Ne3 | 2001–2013 | 10.38 | 697.15 |
| US-Tw2 | 2012–2013 | 15.23 | 386.90 |
| US-Tw3 | 2013–2014 | 16.00 | 343.10 |
| US-Twt | 2009–2014 | 14.75 | 357.70 |
References
- Wang, K.; Dickinson, R.E. A review of global terrestrial evapotranspiration: Observation, modeling, climatology, and climatic variability. Rev. Geophys. 2012, 50, RG2005. [Google Scholar] [CrossRef]
- Gu, S.; He, D.; Cui, Y.; Li, Y. Spatio-temporal changes of agricultural irrigation water demand in the Lancang River Basin in the past 50 years. Acta Geogr. Sin. 2010, 65, 1355–1362. [Google Scholar]
- Liu, X.; Zhang, D.; Luo, Y.; Liu, C. Spatial and temporal changes in aridity index in northwest China: 1960 to 2010. Theor. Appl. Climatol. 2012, 112, 307–316. [Google Scholar] [CrossRef]
- Huang, L.; Cai, J.; Zhang, B.; Chen, H.; Bai, L.; Wei, Z.; Peng, Z. Estimation of evapotranspiration using the crop canopy temperature at field to regional scales in large irrigation district. Agric. For. Meteorol. 2019, 269, 305–322. [Google Scholar] [CrossRef]
- Yang, Z.; Zhang, Q.; Yang, Y.; Hao, X.; Zhang, H. Evaluation of evapotranspiration models over semi-arid and semi-humid areas of China. Hydrol. Process. 2016, 30, 4292–4313. [Google Scholar] [CrossRef]
- Djaman, K.; O’Neill, M.; Diop, L.; Bodian, A.; Allen, S.; Koudahe, K.; Lombard, K. Evaluation of the Penman-Monteith and other 34 reference evapotranspiration equations under limited data in a semiarid dry climate. Theor. Appl. Climatol. 2018, 137, 729–743. [Google Scholar] [CrossRef]
- Muhammad, M.K.I.; Nashwan, M.; Shahid, S.; Ismail, T.; Song, Y.; Chung, E.-S. Evaluation of Empirical Reference Evapotranspiration Models Using Compromise Programming: A Case Study of Peninsular Malaysia. Sustainability 2019, 11, 4267. [Google Scholar] [CrossRef] [Green Version]
- Cleugh, H.A.; Leuning, R.; Mu, Q.; Running, S.W. Regional evaporation estimates from flux tower and MODIS satellite data. Remote Sens. Environ. 2007, 106, 285–304. [Google Scholar] [CrossRef]
- Mu, Q.; Heinsch, F.A.; Zhao, M.; Running, S.W. Development of a global evapotranspiration algorithm based on MODIS and global meteorology data. Remote Sens. Environ. 2007, 111, 519–536. [Google Scholar] [CrossRef]
- Leuning, R.; Zhang, Y.Q.; Rajaud, A.; Cleugh, H.; Tu, K. A simple surface conductance model to estimate regional evaporation using MODIS leaf area index and the Penman-Monteith equation. Water Resour. Res. 2008, 44, 17. [Google Scholar] [CrossRef]
- Tabari, H.; Talaee, P.H. Local Calibration of the Hargreaves and Priestley-Taylor Equations for Estimating Reference Evapotranspiration in Arid and Cold Climates of Iran Based on the Penman-Monteith Model. J. Hydrol. Eng. 2011, 16, 837–845. [Google Scholar] [CrossRef]
- Jiang, X.; Kang, S.; Tong, L.; Li, F. Modification of evapotranspiration model based on effective resistance to estimate evapotranspiration of maize for seed production in an arid region of northwest China. J. Hydrol. 2016, 538, 194–207. [Google Scholar] [CrossRef]
- Yan, H.; Wang, S.; Billesbach, D.; Oechel, W.; Zhang, J.; Meyers, T.; Martin, T.; Matamala, R.; Baldocchi, D.; Bohrer, G.; et al. Global estimation of evapotranspiration using a leaf area index-based surface energy and water balance model. Remote. Sens. Environ. 2012, 124, 581–595. [Google Scholar] [CrossRef] [Green Version]
- Zhu, B.; Feng, Y.; Gong, D.; Jiang, S.; Zhao, L.; Cui, N. Hybrid particle swarm optimization with extreme learning machine for daily reference evapotranspiration prediction from limited climatic data. Comput. Electron. Agric. 2020, 173, 105430. [Google Scholar] [CrossRef]
- Adnan, R.M.; Malik, A.; Kumar, A.; Parmar, K.S.; Kisi, O. Pan evaporation modeling by three different neuro-fuzzy intelligent systems using climatic inputs. Arab. J. Geosci. 2019, 12, 606. [Google Scholar] [CrossRef]
- Reis, M.M.; Silva, A.; Junior, J.Z.; Santos, L.T.; Azevedo, A.M.; Lopes, É.M.G. Empirical and learning machine approaches to estimating reference evapotranspiration based on temperature data. Comput. Electron. Agric. 2019, 165, 104937. [Google Scholar] [CrossRef]
- Zhao, W.L.; Gentine, P.; Reichstein, M.; Zhang, Y.; Zhou, S.; Wen, Y.; Lin, C.; Li, X.; Qiu, G.Y. Physics-Constrained Machine Learning of Evapotranspiration. Geophys. Res. Lett. 2019, 46, 14496–14507. [Google Scholar] [CrossRef]
- Antonopoulos, V.Z.; Antonopoulos, A.V. Daily reference evapotranspiration estimates by artificial neural networks technique and empirical equations using limited input climate variables. Comput. Electron. Agric. 2017, 132, 86–96. [Google Scholar] [CrossRef]
- Feng, Y.; Cui, N.; Gong, D.; Zhang, Q.; Zhao, L. Evaluation of random forests and generalized regression neural networks for daily reference evapotranspiration modelling. Agric. Water Manag. 2017, 193, 163–173. [Google Scholar] [CrossRef]
- Fan, J.; Yue, W.; Wu, L.; Zhang, F.; Cai, H.; Wang, X.; Lu, X.; Xiang, Y. Evaluation of SVM, ELM and four tree-based ensemble models for predicting daily reference evapotranspiration using limited meteorological data in different climates of China. Agric. For. Meteorol. 2018, 263, 225–241. [Google Scholar] [CrossRef]
- Yamaç, S.S.; Todorovic, M. Estimation of daily potato crop evapotranspiration using three different machine learning algorithms and four scenarios of available meteorological data. Agric. Water Manag. 2020, 228, 105875. [Google Scholar] [CrossRef]
- Chen, Z.; Zhu, Z.; Jiang, H.; Sun, S. Estimating daily reference evapotranspiration based on limited meteorological data using deep learning and classical machine learning methods. J. Hydrol. 2020, 591, 125286. [Google Scholar] [CrossRef]
- Ferreira, L.B.; Da Cunha, F.F. New approach to estimate daily reference evapotranspiration based on hourly temperature and relative humidity using machine learning and deep learning. Agric. Water Manag. 2020, 234, 106113. [Google Scholar] [CrossRef]
- Gozdowski, D.; Stępień, M.; Panek, E.; Varghese, J.; Bodecka, E.; Rozbicki, J.; Samborski, S. Comparison of winter wheat NDVI data derived from Landsat 8 and active optical sensor at field scale. Remote. Sens. Appl. Soc. Environ. 2020, 20, 100409. [Google Scholar] [CrossRef]
- Badgley, G.; Anderegg, L.D.L.; Berry, J.A.; Field, C.B. Terrestrial gross primary production: Using NIR V to scale from site to globe. Glob. Chang. Biol. 2019, 25, 3731–3740. [Google Scholar] [CrossRef]
- Cover, T.M.; Hart, P.E. Nearest neighbor pattern classification. IEEE Trans. Inf. Theory 1967, 13, 21–27. [Google Scholar] [CrossRef]
- Breiman, L. Random Forests. Mach. Learn. 2001, 45, 5–32. [Google Scholar] [CrossRef] [Green Version]
- Vapnik, V. The Nature of Statistical Learning Theory; Springer: New York, NY, USA, 1995. [Google Scholar]
- Tinoco, J.; Correia, A.G.; Cortez, P. Support vector machines applied to uniaxial compressive strength prediction of jet grouting columns. Comput. Geotech. 2014, 55, 132–140. [Google Scholar] [CrossRef]
- Chen, T.; Guestrin, C. XGBoost: A Scalable Tree Boosting System. In Proceedings of the 22nd ACM SIGKDD International Conference on Knowledge Discovery and Data Mining, San Francisco, CA, USA, 13–17 August 2016; pp. 785–794. [Google Scholar]
- Bruton, J.M.; McClendon, R.W.; Hoogenboom, G. Estimating daily pan evaporation with artificial neural networks. Trans. ASAE 2000, 43, 491–496. [Google Scholar] [CrossRef]
- Arifovic, J.; Gençay, R. Using genetic algorithms to select architecture of a feedforward artificial neural network. Phys. A Stat. Mech. Appl. 2001, 289, 574–594. [Google Scholar] [CrossRef]
- Hochreiter, S.; Schmidhuber, J. Long Short-Term Memory. Neural Comput. 1997, 9, 1735–1780. [Google Scholar] [CrossRef] [PubMed]
- Yu, H.; Wen, X.; Li, B.; Yang, Z.; Wu, M.; Ma, Y. Uncertainty analysis of artificial intelligence modeling daily reference evapotranspiration in the northwest end of China. Comput. Electron. Agric. 2020, 176, 105653. [Google Scholar] [CrossRef]
- Amazirh, A.; Er-Raki, S.; Chehbouni, A.; Rivalland, V.; Diarra, A.; Khabba, S.; Ezzahar, J.; Merlin, O. Modified Penman–Monteith equation for monitoring evapotranspiration of wheat crop: Relationship between the surface resistance and remotely sensed stress index. Biosyst. Eng. 2017, 164, 68–84. [Google Scholar] [CrossRef]
- Yassin, M.A.; Alazba, A.; Mattar, M.A. Artificial neural networks versus gene expression programming for estimating reference evapotranspiration in arid climate. Agric. Water Manag. 2016, 163, 110–124. [Google Scholar] [CrossRef]
- Ferreira, L.B.; da Cunha, F.F. Multi-step ahead forecasting of daily reference evapotranspiration using deep learning. Comput. Electron. Agric. 2020, 178, 105728. [Google Scholar] [CrossRef]
- Yin, J.; Deng, Z.; Ines, A.V.; Wu, J.; Rasu, E. Forecast of short-term daily reference evapotranspiration under limited meteorological variables using a hybrid bi-directional long short-term memory model (Bi-LSTM). Agric. Water Manag. 2020, 242, 106386. [Google Scholar] [CrossRef]
- Granata, F.; Di Nunno, F. Forecasting evapotranspiration in different climates using ensembles of recurrent neural networks. Agric. Water Manag. 2021, 255, 107040. [Google Scholar] [CrossRef]
- Chen, Z.; Sun, S.; Wang, Y.; Wang, Q.; Zhang, X. Temporal convolution-network-based models for modeling maize evapotranspiration under mulched drip irrigation. Comput. Electron. Agric. 2020, 169, 105206. [Google Scholar] [CrossRef]
- Talib, A.; Desai, A.R.; Huang, J.; Griffis, T.J.; Reed, D.E.; Chen, J. Evaluation of prediction and forecasting models for evapotranspiration of agricultural lands in the Midwest U.S. J. Hydrol. 2021, 600, 126579. [Google Scholar] [CrossRef]
- Laaboudi, A.; Mouhouche, B.; Draoui, B. Neural network approach to reference evapotranspiration modeling from limited climatic data in arid regions. Int. J. Biometeorol. 2012, 56, 831–841. [Google Scholar] [CrossRef] [Green Version]
- Ferreira, L.B.; da Cunha, F.F.; de Oliveira, R.A.; Filho, E.I.F. Estimation of reference evapotranspiration in Brazil with limited meteorological data using ANN and SVM—A new approach. J. Hydrol. 2019, 572, 556–570. [Google Scholar] [CrossRef]
















| ML Algorithms | Input Data |
|---|---|
| KNN1/RF1/SVM1/XGboost1/ANN1/LSTM1 | meteorological data + NDVI |
| KNN2/RF2/SVM2/XGboost2/ANN2/LSTM2 | meteorological data + SWIR |
| KNN3/RF3/SVM3/XGboost3/ANN3/LSTM3 | meteorological data + NIRv |
| KNN4/RF4/SVM4/XGboost4/ANN4/LSTM4 | meteorological data + EVI |
| KNN5/RF5/SVM5/XGboost5/ANN5/LSTM5 | meteorological data + NDVI + EVI |
| KNN6/RF6/SVM6/XGboost6/ANN6/LSTM6 | meteorological data + NDVI + SWIR |
| KNN7/RF7/SVM7/XGboost7/ANN7/LSTM7 | meteorological data + NDVI + NIRv |
| KNN8/RF8/SVM8/XGboost8/ANN8/LSTM8 | meteorological data + NDVI + SWIR + NIRv |
| KNN9/RF9/SVM9/XGboost9/ANN9/LSTM9 | meteorological data + NDVI + SWIR + EVI |
| KNN10/RF10/SVM10/XGboost10/ANN10/LSTM10 | meteorological data + NDVI + SWIR + NIRv + EVI |
| Models | Parameters |
|---|---|
| KNN | K = 5 |
| RF | max_depth = 8 |
| XGboost | max_depth = 7 |
| ANN | The number of hidden layers = 2 The number of neurons = 48 |
| LSTM | The number of hidden layers = 2 The number of neurons = 40 |
| Combination | 1 | 2 | 3 | 4 | 5 | 6 | 7 | 8 | 9 | 10 | |
|---|---|---|---|---|---|---|---|---|---|---|---|
| Models | |||||||||||
| KNN | 0.37 | 0.36 | 0.36 | 0.34 | 0.39 | 0.45 | 0.42 | 0.47 | 0.48 | 0.48 | |
| RF | 0.48 | 049 | 0.47 | 0.48 | 0.48 | 0.50 | 0.48 | 0.51 | 0.51 | 0.53 | |
| SVM | 0.49 | 0.48 | 0.48 | 0.48 | 0.50 | 0.52 | 0.50 | 0.52 | 0.52 | 0.52 | |
| XGboost | 0.53 | 0.52 | 0.50 | 0.50 | 0.52 | 0.57 | 0.53 | 0.58 | 0.58 | 0.58 | |
| ANN | 0.66 | 0.66 | 0.65 | 0.65 | 0.67 | 0.68 | 0.68 | 0.70 | 0.69 | 0.70 | |
| LSTM | 0.62 | 0.62 | 0.47 | 0.53 | 0.53 | 0.61 | 0.49 | 0.59 | 0.58 | 0.52 | |
| No. | Methods | Land Cover | Input Data | Time Scale | Target | Performance | Citation |
|---|---|---|---|---|---|---|---|
| 0 | KNN, RF, SVM, XGboost, ANN, LSTM | crop | Ta, P, Ca, SW, VPD, NDVI, EVI, NIRv, SWIR | Daily | AET | R = 0.79–0.97 RMSE = 18.67–26.29 W m−2 | This study |
| 1 | Penman-Monteith equation | wheat | WS, Rg, rha, Ta, Landsat-7/8, LST data | Half-hourly | AET | Drip site: R2 = 0.70 RMSE = 23 W m−2 Flood site: R2 = 0.76 RMSE = 22 W m−2 | Amazirh et al. [35] |
| 2 | ANN | nine types of biomes over the globe | Ta, Ca, WS, SM, VPD, fpar, PFT, RH, Rn, G, PAR, SP, h_canopy | Hourly | AET | R2 = 0.78 RMSE = 51.86 W m−2 | Zhao et al. [17] |
| 3 | RF, XGboost, ANN, CNN | Not given | Ta, RH | Hourly | RET | Only Ta: R2 = 0.75–0.80 RMSE = 0.58–0.75 mm d−2 Ta and RH: R2 = 0.84–0.85 RMSE = 0.50–0.59 mm d−2 | Ferreira and da Cunha [23] |
| 4 | ANN, GEP | Not given | meteorological data | Daily | RET | R2 = 0.63–0.99 RMSE = 0. 91–3.19 mm d−2 | Yassin et al. [36] |
| 5 | DNN, TCN, LSTM, RF, SVM | Not given | meteorological data | Daily | RET | Temperature-based models: R2 = 0.78–0.83 RMSE = 0.75–0.85 mm d−2 Radiation-based models: R2 = 0.88–0.92 RMSE = 0.49–0.64 mm d−2 Humidity-based models: R2 = 0.89–0.92 RMSE = 0.53–0.61 mm d−2 | Chen et al. [22] |
Publisher’s Note: MDPI stays neutral with regard to jurisdictional claims in published maps and institutional affiliations. |
© 2021 by the authors. Licensee MDPI, Basel, Switzerland. This article is an open access article distributed under the terms and conditions of the Creative Commons Attribution (CC BY) license (https://creativecommons.org/licenses/by/4.0/).
Share and Cite
Liu, Y.; Zhang, S.; Zhang, J.; Tang, L.; Bai, Y. Assessment and Comparison of Six Machine Learning Models in Estimating Evapotranspiration over Croplands Using Remote Sensing and Meteorological Factors. Remote Sens. 2021, 13, 3838. https://doi.org/10.3390/rs13193838
Liu Y, Zhang S, Zhang J, Tang L, Bai Y. Assessment and Comparison of Six Machine Learning Models in Estimating Evapotranspiration over Croplands Using Remote Sensing and Meteorological Factors. Remote Sensing. 2021; 13(19):3838. https://doi.org/10.3390/rs13193838
Chicago/Turabian StyleLiu, Yan, Sha Zhang, Jiahua Zhang, Lili Tang, and Yun Bai. 2021. "Assessment and Comparison of Six Machine Learning Models in Estimating Evapotranspiration over Croplands Using Remote Sensing and Meteorological Factors" Remote Sensing 13, no. 19: 3838. https://doi.org/10.3390/rs13193838
APA StyleLiu, Y., Zhang, S., Zhang, J., Tang, L., & Bai, Y. (2021). Assessment and Comparison of Six Machine Learning Models in Estimating Evapotranspiration over Croplands Using Remote Sensing and Meteorological Factors. Remote Sensing, 13(19), 3838. https://doi.org/10.3390/rs13193838

