Temporal and Spatial Autocorrelation as Determinants of Regional AOD-PM2.5 Model Performance in the Middle East
Abstract
:1. Introduction
2. Materials and Methods
2.1. Particulate Matter Data
2.2. Aerosol Optical Depth Data
2.3. Meteorology Data
2.4. Assimilated Aerosol Data
2.5. Statistical Methods
3. Results
3.1. AOD Validation
3.2. Model Results
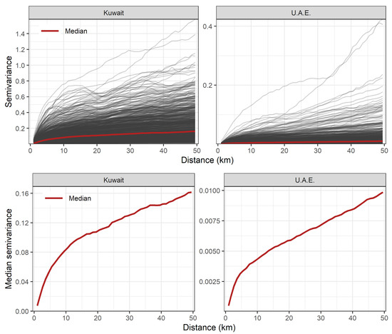
3.3. Temporal and Spatial Autocorrelations
4. Discussion
5. Conclusions
Author Contributions
Funding
Data Availability Statement
Conflicts of Interest
Abbreviations
| ACF | Autocorrelation Function; |
| AERONET | AErosol RObotic NETwork; |
| AOD | Aerosol Optical Depth; |
| BLH | Boundary Layer Height; |
| ERA5 | ECMWF Reanalysis, version 5; |
| HHI | Harvard High-capacity Impactors; |
| MAIAC | MultiAngle Implementation of Atmospheric Correction; |
| MERRA-2 | Modern-Era Retrospective analysis for Research and Applications, version 2; |
| MISR | Multiangle Imaging SpectroRadiometer; |
| MODIS | MODerate resolution Imaging Spectroradiometer; |
| MSE | Mean squared error; |
| RMSE | Root mean squared error. |
Appendix A



References
- Brauer, M.; Amann, M.; Burnett, R.T.; Cohen, A.; Dentener, F.; Ezzati, M.; Henderson, S.B.; Krzyzanowski, M.; Martin, R.V.; Dingenen, R.V.; et al. Exposure Assessment for Estimation of the Global Burden of Disease Attributable to Outdoor Air Pollution. Environ. Sci. Technol. 2012, 46, 652–660. [Google Scholar] [CrossRef] [Green Version]
- de Sherbinin, A.; Levy, M.A.; Zell, E.; Weber, S.; Jaiteh, M. Using satellite data to develop environmental indicators. Environ. Res. Lett. 2014, 9, 084013. [Google Scholar] [CrossRef]
- van Donkelaar, A.; Martin, R.V.; Brauer, M.; Boys, B.L. Use of Satellite Observations for Long-Term Exposure Assessment of Global Concentrations of Fine Particulate Matter. Environ. Health Perspect. 2015, 123, 135–143. [Google Scholar] [CrossRef] [Green Version]
- Shaddick, G.; Thomas, M.L.; Green, A.; Brauer, M.; Donkelaar, A.; Burnett, R.; Chang, H.H.; Cohen, A.; Dingenen, R.V.; Dora, C.; et al. Data integration model for air quality: A hierarchical approach to the global estimation of exposures to ambient air pollution. J. R. Stat. Soc. Ser. Appl. Stat. 2018, 67, 231–253. [Google Scholar] [CrossRef]
- Di, Q.; Amini, H.; Shi, L.; Kloog, I.; Silvern, R.; Kelly, J.; Sabath, M.B.; Choirat, C.; Koutrakis, P.; Lyapustin, A.; et al. An ensemble-based model of PM2.5 concentration across the contiguous United States with high spatiotemporal resolution. Environ. Int. 2019, 130, 104909. [Google Scholar] [CrossRef]
- van Donkelaar, A.; Martin, R.V.; Li, C.; Burnett, R.T. Regional Estimates of Chemical Composition of Fine Particulate Matter Using a Combined Geoscience-Statistical Method with Information from Satellites, Models, and Monitors. Environ. Sci. Technol. 2019, 53, 2595–2611. [Google Scholar] [CrossRef] [PubMed] [Green Version]
- Garay, M.J.; Kalashnikova, O.V.; Bull, M.A. Development and assessment of a higher-spatial-resolution (4.4 km) MISR aerosol optical depth product using AERONET-DRAGON data. Atmos. Chem. Phys. 2017, 17, 5095–5106. [Google Scholar] [CrossRef] [Green Version]
- Lyapustin, A.; Wang, Y.; Korkin, S.; Huang, D. MODIS Collection 6 MAIAC algorithm. Atmos. Meas. Tech. 2018, 11, 5741–5765. [Google Scholar] [CrossRef] [Green Version]
- Liang, F.; Xiao, Q.; Wang, Y.; Lyapustin, A.; Li, G.; Gu, D.; Pan, X.; Liu, Y. MAIAC-based long-term spatiotemporal trends of PM2.5 in Beijing, China. Sci. Total Environ. 2018, 616, 1589–1598. [Google Scholar] [CrossRef] [PubMed]
- Wang, W.; Zhao, S.; Jiao, L.; Taylor, M.; Zhang, B.; Xu, G.; Hou, H. Estimation of PM2.5 Concentrations in China Using a Spatial Back Propagation Neural Network. Sci. Rep. 2019, 9, 13788. [Google Scholar] [CrossRef] [Green Version]
- Tsiouri, V.; Kakosimos, K.E.; Kumar, P. Concentrations, sources and exposure risks associated with particulate matter in the Middle East Area—A review. Air Qual. Atmos. Health 2015, 8, 67–80. [Google Scholar] [CrossRef]
- Alahmad, B.; Al-Hemoud, A.; Kang, C.M.; Almarri, F.; Kommula, V.; Wolfson, J.M.; Bernstein, A.S.; Garshick, E.; Schwartz, J.; Koutrakis, P. A two-year assessment of particulate air pollution and sources in Kuwait. Environ. Pollut. 2021, 282, 117016. [Google Scholar] [CrossRef]
- Council, N.R. Review of the Department of Defense Enhanced Particulate Matter Surveillance Program Report; National Academies Press: Washington, DC, USA, 2010. [Google Scholar]
- Kloog, I.; Koutrakis, P.; Coull, B.A.; Lee, H.J.; Schwartz, J. Assessing temporally and spatially resolved PM2.5 exposures for epidemiological studies using satellite aerosol optical depth measurements. Atmos. Environ. 2011, 45, 6267–6275. [Google Scholar] [CrossRef]
- Franklin, M.; Vora, H.; Avol, E.; McConnell, R.; Lurmann, F.; Liu, F.; Penfold, B.; Berhane, K.; Gilliland, F.; Gauderman, W.J. Predictors of intra-community variation in air quality. J. Expo. Sci. Environ. Epidemiol. 2012, 22, 135–147. [Google Scholar] [CrossRef] [PubMed] [Green Version]
- van Donkelaar, A.; Martin, R.V.; Spurr, R.J.D.; Burnett, R.T. High-Resolution Satellite-Derived PM2.5 from Optimal Estimation and Geographically Weighted Regression over North America. Environ. Sci. Technol. 2015, 49, 10482–10491. [Google Scholar] [CrossRef]
- Zheng, Y.; Zhang, Q.; Liu, Y.; Geng, G.; He, K. Estimating ground-level PM2.5 concentrations over three megalopolises in China using satellite-derived aerosol optical depth measurements. Atmos. Environ. 2016, 124, 232–242. [Google Scholar] [CrossRef]
- Franklin, M.; Kalashnikova, O.V.; Garay, M.J. Size-resolved particulate matter concentrations derived from 4.4 km-resolution size-fractionated Multi-angle Imaging SpectroRadiometer (MISR) aerosol optical depth over Southern California. Remote Sens. Environ. 2017, 196, 312–323. [Google Scholar] [CrossRef]
- Sorek-Hamer, M.; Franklin, M.; Chau, K.; Garay, M.; Kalashnikova, O. Spatiotemporal Characteristics of the Association between AOD and PM over the California Central Valley. Remote Sens. 2020, 12, 685. [Google Scholar] [CrossRef] [Green Version]
- Engel-Cox, J.A.; Holloman, C.H.; Coutant, B.W.; Hoff, R.M. Qualitative and quantitative evaluation of MODIS satellite sensor data for regional and urban scale air quality. Atmos. Environ. 2004, 38, 2495–2509. [Google Scholar] [CrossRef]
- Hammer, M.S.; van Donkelaar, A.; Li, C.; Lyapustin, A.; Sayer, A.M.; Hsu, N.C.; Levy, R.C.; Garay, M.J.; Kalashnikova, O.V.; Kahn, R.A.; et al. Global Estimates and Long-Term Trends of Fine Particulate Matter Concentrations (1998–2018). Environ. Sci. Technol. 2020, 54, 7879–7890. [Google Scholar] [CrossRef]
- Sullivan, R.; Pryor, S. Quantifying spatiotemporal variability of fine particles in an urban environment using combined fixed and mobile measurements. Atmos. Environ. 2014, 89, 664–671. [Google Scholar] [CrossRef]
- Sullivan, R.; Levy, R.; Pryor, S. Spatiotemporal coherence of mean and extreme aerosol particle events over eastern North America as observed from satellite. Atmos. Environ. 2015, 112, 126–135. [Google Scholar] [CrossRef]
- Toth, T.D.; Zhang, J.; Reid, J.S.; Vaughan, M.A. A bulk-mass-modeling-based method for retrieving particulate matter pollution using CALIOP observations. Atmos. Meas. Tech. 2019, 12, 1739–1754. [Google Scholar] [CrossRef] [Green Version]
- Kaku, K.C.; Reid, J.S.; Hand, J.L.; Edgerton, E.S.; Holben, B.N.; Zhang, J.; Holz, R.E. Assessing the Challenges of Surface-Level Aerosol Mass Estimates From Remote Sensing During the SEAC4RS and SEARCH Campaigns: Baseline Surface Observations and Remote Sensing in the Southeastern United States. J. Geophys. Res. Atmos. 2018, 123, 7530–7562. [Google Scholar] [CrossRef] [Green Version]
- Brown, K.W.; Bouhamra, W.; Lamoureux, D.P.; Evans, J.S.; Koutrakis, P. Characterization of Particulate Matter for Three Sites in Kuwait. J. Air Waste Manag. Assoc. 2008, 58, 994–1003. [Google Scholar] [CrossRef]
- Masri, S.; Garshick, E.; Coull, B.A.; Koutrakis, P. A novel calibration approach using satellite and visibility observations to estimate fine particulate matter exposures in Southwest Asia and Afghanistan. J. Air Waste Manag. Assoc. 2016, 67, 86–95. [Google Scholar] [CrossRef] [PubMed]
- OpenAQ. Available online: https://openaq.org (accessed on 11 January 2021).
- Chau, K.; Franklin, M.; Gauderman, W.J. Satellite-Derived PM2.5 Composition and Its Differential Effect on Children’s Lung Function. Remote Sens. 2020, 12, 1028. [Google Scholar] [CrossRef] [Green Version]
- Hersbach, H.; Bell, B.; Berrisford, P.; Hirahara, S.; Horányi, A.; Muñoz-Sabater, J.; Nicolas, J.; Peubey, C.; Radu, R.; Schepers, D.; et al. The ERA5 global reanalysis. Q. J. R. Meteorol. Soc. 2020, 146, 1999–2049. [Google Scholar] [CrossRef]
- Smith, D.M.; Booth, B.B.B.; Dunstone, N.J.; Eade, R.; Hermanson, L.; Jones, G.S.; Scaife, A.A.; Sheen, K.L.; Thompson, V. Role of volcanic and anthropogenic aerosols in the recent global surface warming slowdown. Nat. Clim. Chang. 2016, 6, 936–940. [Google Scholar] [CrossRef]
- Freychet, N.; Tett, S.F.B.; Bollasina, M.; Wang, K.C.; Hegerl, G.C. The Local Aerosol Emission Effect on Surface Shortwave Radiation and Temperatures. J. Adv. Model. Earth Syst. 2019, 11, 806–817. [Google Scholar] [CrossRef]
- Gelaro, R.; McCarty, W.; Suárez, M.J.; Todling, R.; Molod, A.; Takacs, L.; Randles, C.A.; Darmenov, A.; Bosilovich, M.G.; Reichle, R.; et al. The Modern-Era Retrospective Analysis for Research and Applications, Version 2 (MERRA-2). J. Clim. 2017, 30, 5419–5454. [Google Scholar] [CrossRef]
- Bosilovich, M.G.; Lucchesi, R.; Suárez, M.J. MERRA-2: File Specification. GMAO Office Note No. 9 (Version 1.1). Available online: http://gmao.gsfc.nasa.gov/pubs/office_notes (accessed on 11 January 2021).
- Li, L.; Girguis, M.; Lurmann, F.; Pavlovic, N.; McClure, C.; Franklin, M.; Wu, J.; Oman, L.D.; Breton, C.; Gilliland, F.; et al. Ensemble-based deep learning for estimating PM2.5 over California with multisource big data including wildfire smoke. Environ. Int. 2020, 145, 106143. [Google Scholar] [CrossRef]
- Li, J.; Garshick, E.; Hart, J.E.; Li, L.; Shi, L.; Al-Hemoud, A.; Huang, S.; Koutrakis, P. Estimation of ambient PM2.5 in Iraq and Kuwait from 2001 to 2018 using machine learning and remote sensing. Environ. Int. 2021, 151, 106445. [Google Scholar] [CrossRef]
- Holben, B.; Eck, T.; Slutsker, I.; Tanré, D.; Buis, J.; Setzer, A.; Vermote, E.; Reagan, J.; Kaufman, Y.; Nakajima, T.; et al. AERONET—A Federated Instrument Network and Data Archive for Aerosol Characterization. Remote Sens. Environ. 1998, 66, 1–16. [Google Scholar] [CrossRef]
- Franklin, M.; Chau, K.; Kalashnikova, O.; Garay, M.; Enebish, T.; Sorek-Hamer, M. Using Multi-Angle Imaging SpectroRadiometer Aerosol Mixture Properties for Air Quality Assessment in Mongolia. Remote Sens. 2018, 10, 1317. [Google Scholar] [CrossRef] [Green Version]
- Hastie, T.; Tibshirani, R.; Friedman, J. The Elements of Statistical Learning: Data Mining, Inference, and Prediction; Springer: New York, NY, USA, 2009. [Google Scholar]
- Sorek-Hamer, M.; Strawa, A.; Chatfield, R.; Esswein, R.; Cohen, A.; Broday, D. Improved retrieval of PM2.5 from satellite data products using non-linear methods. Environ. Pollut. 2013, 182, 417–423. [Google Scholar] [CrossRef] [PubMed]
- Kloog, I.; Nordio, F.; Coull, B.A.; Schwartz, J. Incorporating Local Land Use Regression And Satellite Aerosol Optical Depth in A Hybrid Model of Spatiotemporal PM2.5 Exposures in the Mid-Atlantic States. Environ. Sci. Technol. 2012, 46, 11913–11921. [Google Scholar] [CrossRef] [Green Version]
- Strobl, C.; Boulesteix, A.L.; Zeileis, A.; Hothorn, T. Bias in random forest variable importance measures: Illustrations, sources and a solution. BMC Bioinform. 2007, 8, 25. [Google Scholar] [CrossRef] [Green Version]
- Franklin, M.; Kalashnikova, O.; Garay, M.; Fruin, S. Characterization of Subgrid-Scale Variability in Particulate Matter with Respect to Satellite Aerosol Observations. Remote Sens. 2018, 10, 623. [Google Scholar] [CrossRef] [Green Version]
- Anderson, T.L.; Charlson, R.J.; Winker, D.M.; Ogren, J.A.; Holmén, K. Mesoscale Variations of Tropospheric Aerosols. J. Atmos. Sci. 2003, 60, 119–136. [Google Scholar] [CrossRef]
- Gotway, C.A.; Young, L.J. Combining Incompatible Spatial Data. J. Am. Stat. Assoc. 2002, 97, 632–648. [Google Scholar] [CrossRef] [Green Version]
- Banerjee, S.; Carlin, B.P.; Gelfand, A.E. Hierarchical Modeling and Analysis for Spatial Data; CRC Press, Taylor & Francis Group: Boca Raton, FL, USA, 2015. [Google Scholar]








| Instrument | Model | N | LASSO | Ridge | GBM | RF | SVM |
|---|---|---|---|---|---|---|---|
| MISR | Overall | 542 | 0.34 | 0.35 | 0.47 | 0.48 | 0.44 |
| Kuwait | 271 | 0.38 | 0.37 | 0.42 | 0.51 | 0.43 | |
| U.A.E. | 138 | 0.57 | 0.57 | 0.64 | 0.66 | 0.53 | |
| MAIAC | Overall | 3334 | 0.28 | 0.29 | 0.50 | 0.53 | 0.47 |
| Kuwait | 1863 | 0.29 | 0.29 | 0.46 | 0.48 | 0.44 | |
| U.A.E. | 642 | 0.51 | 0.49 | 0.63 | 0.65 | 0.61 |
Publisher’s Note: MDPI stays neutral with regard to jurisdictional claims in published maps and institutional affiliations. |
© 2021 by the authors. Licensee MDPI, Basel, Switzerland. This article is an open access article distributed under the terms and conditions of the Creative Commons Attribution (CC BY) license (https://creativecommons.org/licenses/by/4.0/).
Share and Cite
Chau, K.; Franklin, M.; Lee, H.; Garay, M.; Kalashnikova, O. Temporal and Spatial Autocorrelation as Determinants of Regional AOD-PM2.5 Model Performance in the Middle East. Remote Sens. 2021, 13, 3790. https://doi.org/10.3390/rs13183790
Chau K, Franklin M, Lee H, Garay M, Kalashnikova O. Temporal and Spatial Autocorrelation as Determinants of Regional AOD-PM2.5 Model Performance in the Middle East. Remote Sensing. 2021; 13(18):3790. https://doi.org/10.3390/rs13183790
Chicago/Turabian StyleChau, Khang, Meredith Franklin, Huikyo Lee, Michael Garay, and Olga Kalashnikova. 2021. "Temporal and Spatial Autocorrelation as Determinants of Regional AOD-PM2.5 Model Performance in the Middle East" Remote Sensing 13, no. 18: 3790. https://doi.org/10.3390/rs13183790
APA StyleChau, K., Franklin, M., Lee, H., Garay, M., & Kalashnikova, O. (2021). Temporal and Spatial Autocorrelation as Determinants of Regional AOD-PM2.5 Model Performance in the Middle East. Remote Sensing, 13(18), 3790. https://doi.org/10.3390/rs13183790

