Carrier Phase-Based Precise Heading and Pitch Estimation Using a Low-Cost GNSS Receiver
Abstract
:1. Introduction
2. Methodology
2.1. System Overview
2.2. Carrier Phase-Based Heading and Pitch Estimation
2.2.1. Receiver Delta Position Estimation
2.2.2. Heading and Pitch Derivation
2.3. Doppler-Aided Cycle Slip Detection
2.4. Incomplete Data Exclusion
3. Experimental Results and Analysis
3.1. Experimental Set-Up and Data Collection
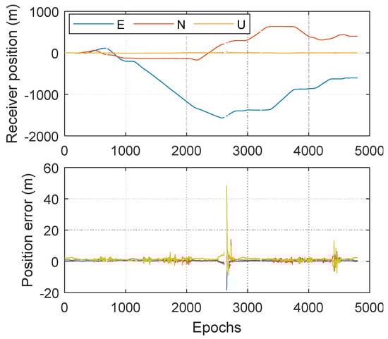
3.2. Positioning Results
3.3. Heading and Pitch Estimation Results
3.4. Influence of Cycle Slips
4. Discussion
5. Conclusions
Author Contributions
Funding
Data Availability Statement
Acknowledgments
Conflicts of Interest
References
- Ding, W.; Gao, Y. A Quaternion Based Error State Kalman Filter for Attitude Estimation Using Low-cost MEMS MARG Sensors. In Proceedings of the 2020 IEEE 92nd Vehicular Technology Conference (VTC2020-Fall), Victoria, BC, Canada, 18 November–16 December 2020; IEEE: Piscataway, NJ, USA, 2020; pp. 1–5. [Google Scholar]
- Ahmed, H.; Tahir, M. Accurate Attitude Estimation of a Moving Land Vehicle Using Low-Cost MEMS IMU Sensors. IEEE Trans. Intell. Transp. Syst. 2016, 18, 1723–1739. [Google Scholar] [CrossRef]
- Sun, W.; Wu, J.; Ding, W.; Duan, S. A Robust Indirect Kalman Filter Based on the Gradient Descent Algorithm for Attitude Estimation During Dynamic Conditions. IEEE Access 2020, 8, 96487–96494. [Google Scholar] [CrossRef]
- Ding, W.; Gao, Y. Attitude Estimation Using Low-Cost MARG Sensors with Disturbances Reduction. IEEE Trans. Instrum. Meas. 2021, 70, 1–11. [Google Scholar] [CrossRef]
- Vladimirov, A.; Koceski, S. Attitude Determination of Unmanned Aerial Vehicle using Single Camera Vector Observations. Int. J. Comput. Appl. 2019, 178, 15–21. [Google Scholar] [CrossRef]
- Gade, K. The Seven Ways to Find Heading. J. Navig. 2016, 69, 955–970. [Google Scholar] [CrossRef] [Green Version]
- He, J.; Li, T.; Hu, X.; Wu, M.; Zhang, J. A new filter design for low-cost GNSS attitude determination applications. In Proceedings of the 2017 3rd IEEE International Conference on Control Science and Systems Engineering (ICCSSE), Beijing, China, 17–19 August 2017; IEEE: Piscataway, NJ, USA, 2017; pp. 287–290. [Google Scholar]
- Nazarahari, M.; Rouhani, H. 40 years of sensor fusion for orientation tracking via magnetic and inertial measurement units: Methods, lessons learned, and future challenges. Inf. Fusion 2020, 68, 67–84. [Google Scholar] [CrossRef]
- Sun, R.; Cheng, Q.; Wang, J. Precise vehicle dynamic heading and pitch angle estimation using time-differenced measurements from a single GNSS antenna. GPS Solut. 2020, 24, 1–9. [Google Scholar] [CrossRef]
- Gross, J.; Gu, Y.; Rhudy, M. Fixed-Wing UAV Attitude Estimation Using Single Antenna GPS Signal Strength Measurements. Aerospace 2016, 3, 14. [Google Scholar] [CrossRef] [Green Version]
- Goh, S.T.; Low, K.-S. Survey of Global-Positioning-System-Based Attitude Determination Algorithms. J. Guid. Control. Dyn. 2017, 40, 1321–1335. [Google Scholar] [CrossRef]
- Chen, W.; Qin, H. New method for single epoch, single frequency land vehicle attitude determination using low-end GPS receiver. GPS Solut. 2011, 16, 329–338. [Google Scholar] [CrossRef]
- Giorgi, G. GNSS Carrier Phase-Based Attitude Determination: Estimation and Applications; Delft University of Technology: Delft, The Netherlands, 2011. [Google Scholar]
- Teunissen, P.J.G. Integer least-squares theory for the GNSS compass. J. Geod. 2010, 84, 433–447. [Google Scholar] [CrossRef] [Green Version]
- Pinchin, J.T. GNSS Based Attitude Determination for Small Unmanned Aerial Vehicles; University of Canterbury: Christchurch, New Zealand, 2011. [Google Scholar]
- Teunissen, P.J.G.; Giorgi, G.; Buist, P.J. Testing of a new single-frequency GNSS carrier phase attitude determination method: Land, ship and aircraft experiments. GPS Solut. 2010, 15, 15–28. [Google Scholar] [CrossRef] [Green Version]
- Raskaliyev, A.; Patel, S.H.; Sobh, T.M.; Ibrayev, A. GNSS-Based Attitude Determination Techniques—A Comprehensive Literature Survey. IEEE Access 2020, 8, 24873–24886. [Google Scholar] [CrossRef]
- Gong, A.; Zhao, X.; Pang, C.; Duan, R.; Wang, Y. GNSS Single Frequency, Single Epoch Reliable Attitude Determination Method with Baseline Vector Constraint. Sensors 2015, 15, 30093–30103. [Google Scholar] [CrossRef] [Green Version]
- Medina, D.; Centrone, V.; Ziebold, R.; García, J. Attitude Determination via GNSS Carrier Phase and Inertial Aiding. In Proceedings of the 32nd International Technical Meeting of the Satellite Division of The Institute of Navigation, Miami, FL, USA, 16–20 September 2019; pp. 2964–2979. [Google Scholar]
- Zhu, F.; Hu, Z.; Liu, W.; Zhang, X. Dual-Antenna GNSS Integrated with MEMS for Reliable and Continuous Attitude Determination in Challenged Environments. IEEE Sens. J. 2019, 19, 3449–3461. [Google Scholar] [CrossRef]
- Qian, K.; Wang, J.; Hu, B. A posteriori estimation of stochastic model for multi-sensor integrated inertial kinematic positioning and navigation on basis of variance component estimation. J. Glob. Position. Syst. 2016, 14, 5. [Google Scholar] [CrossRef] [Green Version]
- Karaim, M.; Elsheikh, M.; Noureldin, A. GNSS error sources. In Multifunctional Operation and Application of GPS; Rustamov, R.B., Hashimov, A.M., Eds.; IntechOpen: London, UK, 2018. [Google Scholar]
- Yu, W.; Ding, X.; Chen, W.; Dai, W.; Yi, Z.; Zhang, B. Precise point positioning with mixed use of time-differenced and undifferenced carrier phase from multiple GNSS. J. Geod. 2018, 93, 809–818. [Google Scholar] [CrossRef]
- Van Graas, F.; Soloviev, A. Precise Velocity Estimation Using a Stand-Alone GPS Receiver. Navigation 2004, 51, 283–292. [Google Scholar] [CrossRef]
- Freda, P.; Angrisano, A.; Gaglione, S.; Troisi, S. Time-differenced carrier phases technique for precise GNSS velocity estimation. GPS Solut. 2014, 19, 335–341. [Google Scholar] [CrossRef]
- Ding, W.; Wang, J. Precise Velocity Estimation with a Stand-Alone GPS Receiver. J. Navig. 2011, 64, 311–325. [Google Scholar] [CrossRef] [Green Version]
- Qian, N.; Chang, G.; Gao, J.; Pan, C.; Yang, L.; Li, F.; Yu, H.; Bu, J. Vehicle’s Instantaneous Velocity Reconstruction by Combining GNSS Doppler and Carrier Phase Measurements Through Tikhonov Regularized Kernel Learning. IEEE Trans. Veh. Technol. 2021, 70, 4190–4202. [Google Scholar] [CrossRef]
- Kim, J.; Park, M.; Bae, Y.; Kim, O.-J.; Kim, D.; Kim, B.; Kee, C. A Low-Cost, High-Precision Vehicle Navigation System for Deep Urban Multipath Environment Using TDCP Measurements. Sensors 2020, 20, 3254. [Google Scholar] [CrossRef] [PubMed]
- Chen, K.; Chang, G.; Chen, C.; Zhu, T. Improved TDCP-GNSS/INS integration scheme considering small cycle slip for low-cost land vehicular applications. Meas. Sci. Technol. 2021, 32, 055006. [Google Scholar] [CrossRef]
- Chiang, K.-W.; Li, Y.-H.; Hsu, L.-T.; Chu, F.-Y. The Design a TDCP-Smoothed GNSS/Odometer Integration Scheme with Vehicular-Motion Constraint and Robust Regression. Remote. Sens. 2020, 12, 2550. [Google Scholar] [CrossRef]
- Dong, Y.; Zhang, L.; Wang, D.; Li, Q.; Wu, J.; Wu, M. Low-latency, high-rate, high-precision relative positioning with moving base in real time. GPS Solut. 2020, 24, 1–13. [Google Scholar] [CrossRef]
- Serrano, L.; Kim, D.; Langley, R.B.; Itani, K.; Ueno, M. A GPS velocity sensor: How accurate can it be?—A first look. In Proceedings of the 2004 National Technical Meeting of the Institute of Navigation, San Diego, CA, USA, 26–28 January 2004; pp. 875–885. [Google Scholar]
- Duan, S.; Sun, W.; Ouyang, C.; Chen, X.; Shi, J. Reducing the Effect of Positioning Errors on Kinematic Raw Doppler (RD) Velocity Estimation Using BDS-2 Precise Point Positioning. Sensors 2019, 19, 3029. [Google Scholar] [CrossRef] [Green Version]
- Zhao, J.; Hernández-Pajares, M.; Li, Z.; Wang, L.; Yuan, H. High-rate Doppler-aided cycle slip detection and repair method for low-cost single-frequency receivers. GPS Solut. 2020, 24, 1–13. [Google Scholar] [CrossRef]
- Farooq, S.Z.; Yang, D.; Jin, T.; Ada, E.N.J. Survey of cycle slip detection & correction techniques for single frequency receivers. In Proceedings of the 2018 IEEE 18th International Conference on Communication Technology (ICCT), Chongqing, China, 8–11 October 2018; IEEE: Piscataway, NJ, USA, 2018; pp. 957–961. [Google Scholar]
- Li, B.; Liu, T.; Nie, L.; Qin, Y. Single-frequency GNSS cycle slip estimation with positional polynomial constraint. J. Geod. 2019, 93, 1781–1803. [Google Scholar] [CrossRef]
- Qian, C.; Liu, H.; Zhang, M.; Shu, B.; Xu, L.; Zhang, R. A Geometry-Based Cycle Slip Detection and Repair Method with Time-Differenced Carrier Phase (TDCP) for a Single Frequency Global Position System (GPS) + BeiDou Navigation Satellite System (BDS) Receiver. Sensors 2016, 16, 2064. [Google Scholar] [CrossRef] [Green Version]
- Du, S.; Gao, Y. Inertial Aided Cycle Slip Detection and Identification for Integrated PPP GPS and INS. Sensors 2012, 12, 14344–14362. [Google Scholar] [CrossRef] [Green Version]
- Zangeneh-Nejad, F.; Amiri-Simkooei, A.; Sharifi, M.A.; Asgari, J. Cycle slip detection and repair of undifferenced single-frequency GPS carrier phase observations. GPS Solut. 2017, 21, 1593–1603. [Google Scholar] [CrossRef]
- Ren, Z.; Li, L.; Zhong, J.; Zhao, M.; Shen, Y. A real-time cycle-slip detection and repair method for single frequency GPS receiver. In Proceedings of the 2011 2nd International Conference on Networking and Information Technology, Hong Kong, China, 25–27 November 2011; pp. 224–230. [Google Scholar]
- Dai, Z. MATLAB software for GPS cycle-slip processing. GPS Solut. 2012, 16, 267–272. [Google Scholar] [CrossRef] [Green Version]
- Rothmaier, F.; Chen, Y.-H.; Lo, S.; Powell, J.D. Single GNSS Antenna Heading Estimation. In Proceedings of the 32nd International Technical Meeting of the Satellite Division of The Institute of Navigation, Miami, FL, USA, 16–20 September 2019; pp. 2159–2171. [Google Scholar] [CrossRef]
- Lai, Y.-C.; Jan, S.-S. Attitude estimation based on fusion of gyroscopes and single antenna GPS for small UAVs under the influence of vibration. GPS Solut. 2010, 15, 67–77. [Google Scholar] [CrossRef]
- Bahder, T.B. Attitude determination from single-antenna carrier-phase measurements. J. Appl. Phys. 2002, 91, 4677–4684. [Google Scholar] [CrossRef] [Green Version]
- Keong, J.; Lachapelle, G. Heading and Pitch Determination Using GPS/GLONASS. GPS Solut. 2000, 3, 26–36. [Google Scholar] [CrossRef]
- Olynik, M.; Petovello, M.; Cannon, M.; Lachapelle, G. Temporal impact of selected GPS errors on point positioning. GPS Solut. 2002, 6, 47–57. [Google Scholar] [CrossRef]
- Groves, P.D. Principles of GNSS, Inertial, and Multisensor Integrated Navigation Systems, 2nd ed.; Artech House: Fitchburg, MA, USA, 2012; 776p, ISBN 978-1-60807-005-3. [Google Scholar]
- Noureldin, A.; Karamat, T.B.; Georgy, J. Fundamentals of Inertial Navigation, Satellite-Based Positioning and Their Integration; Springer: Heidelberg, Germany, 2013; ISBN 9783642304651. [Google Scholar]
- Buist, P. Multi-Platform Integrated Positioning and Attitude Determination Using GNSS; Delft University of Technology: Delft, The Netherlands, 2013. [Google Scholar]
- Kaplan, E.D.; Hegarty, C. Understanding GPS/GNSS: Principles and Applications, 3rd ed.; Artech House: Fitchburg, MA, USA, 2017; ISBN 9781630810580. [Google Scholar]















| Satellite PRN | Code | Carrier Phase | ||
|---|---|---|---|---|
| Epochs | Percentage | Epochs | Percentage | |
| G01 | 4738 | 98.7% | 4400 | 91.6% |
| G10 | 4594 | 95.7% | 4495 | 93.6% |
| G11 | 4718 | 98.3% | 4588 | 95.6% |
| G21 | 4761 | 99.2% | 3961 | 82.5% |
| G22 | 4699 | 97.9% | 4097 | 85.3% |
| G31 | 4755 | 99.0% | 3815 | 79.5% |
| G32 | 4761 | 99.2% | 4745 | 98.8% |
| RMS (m) | Max (m) | Solution Availability | ||||
|---|---|---|---|---|---|---|
| E | N | U | E | N | U | |
| 0.54 | 0.73 | 1.43 | 18.43 | 14.16 | 48.45 | 97.8% |
| Algorithm | RMS (°) | Max (°) | Solution Availability | ||
|---|---|---|---|---|---|
| DSPP | 18.58 | 18.06 | 171.44 | 85.36 | 84.1% |
| TDPR | 17.56 | 18.54 | 179.01 | 87.30 | 84.3% |
| TDCP | 1.07 | 1.25 | 5.99 | 12.87 | 79.7% |
| Cycle Slip Status | RMS (°) | Max (°) | Solution Availability | ||
|---|---|---|---|---|---|
| CS included | 1.31 | 2.45 | 22.90 | 58.93 | 81.3% |
| CS excluded | 1.07 | 1.25 | 5.99 | 12.87 | 79.7% |
Publisher’s Note: MDPI stays neutral with regard to jurisdictional claims in published maps and institutional affiliations. |
© 2021 by the authors. Licensee MDPI, Basel, Switzerland. This article is an open access article distributed under the terms and conditions of the Creative Commons Attribution (CC BY) license (https://creativecommons.org/licenses/by/4.0/).
Share and Cite
Ding, W.; Sun, W.; Gao, Y.; Wu, J. Carrier Phase-Based Precise Heading and Pitch Estimation Using a Low-Cost GNSS Receiver. Remote Sens. 2021, 13, 3642. https://doi.org/10.3390/rs13183642
Ding W, Sun W, Gao Y, Wu J. Carrier Phase-Based Precise Heading and Pitch Estimation Using a Low-Cost GNSS Receiver. Remote Sensing. 2021; 13(18):3642. https://doi.org/10.3390/rs13183642
Chicago/Turabian StyleDing, Wei, Wei Sun, Yang Gao, and Jiaji Wu. 2021. "Carrier Phase-Based Precise Heading and Pitch Estimation Using a Low-Cost GNSS Receiver" Remote Sensing 13, no. 18: 3642. https://doi.org/10.3390/rs13183642
APA StyleDing, W., Sun, W., Gao, Y., & Wu, J. (2021). Carrier Phase-Based Precise Heading and Pitch Estimation Using a Low-Cost GNSS Receiver. Remote Sensing, 13(18), 3642. https://doi.org/10.3390/rs13183642

