Interactive Contribution of Indian Summer Monsoon and Western North Pacific Monsoon to Water Level and Terrestrial Water Storage in the Mekong Basin
Abstract
1. Introduction
2. Datasets Description
2.1. Water Level Data
2.2. Indian Summer Monsoon (ISM) Index and Western North Pacific Monsoon (WNPM) Index
2.3. Terrestrial Water Storage Data
2.4. Multivariate ENSO Index (MEI)
3. Method and Evaluation Metrics
3.1. Research Flow
3.2. Time Lag Analysis
3.3. RI Calculated from Linear Regression Coefficients
3.4. Evaluation Indices
3.5. RI from Linear Regression Using LMG and PMVD Methods
3.6. Wavelet Transform Coherence
4. Results and Discussion
4.1. RI Analysis from Linear Regression, LMG and PMVD
4.2. Comparison among Three Methods
4.3. Influence of Different Data Time-Span Selections
4.4. Influence of ENSO
4.5. Future Research and Applications
5. Conclusions
Author Contributions
Funding
Data Availability Statement
Acknowledgments
Conflicts of Interest
References
- Wang, B.; Wu, R.; Lau, K.M. Interannual variability of the Asian summer monsoon: Contrasts between the Indian and the western North Pacific–East Asian monsoons. J. Clim. 2001, 14, 4073–4090. [Google Scholar] [CrossRef]
- Li, J.P.; Zeng, Q.C. A new monsoon index and the geographical distribution of the global monsoons. Adv. Atmos. Sci. 2003, 20, 299–302. [Google Scholar]
- Mahto, S.S.; Mishra, V. Dominance of summer monsoon flash droughts in India. Environ. Res. Lett. 2020, 15, 104061. [Google Scholar] [CrossRef]
- Tang, J.; Cao, H. Drought and flood occurrences in the lancang river basin during the last 60 years: Their variations and teleconnections with monsoons. J. Water Clim. Chang. 2019, 11, 1798–1810. [Google Scholar] [CrossRef]
- Suárez, S.P.; Peiffer, S.; Gebauer, G. Origin and fate of nitrate runoff in an agricultural catchment: Haean, South Korea—Comparison of two extremely different monsoon seasons. Sci. Total Environ. 2019, 648, 66–79. [Google Scholar] [CrossRef] [PubMed]
- Lau, N.-C.; Wang, B. Interactions between the Asian Monsoon and the El Niño/Southern Oscillation; Springer: Singapore, 2006; pp. 479–512. [Google Scholar]
- Shi, J.; Yan, Q.; Yang, Y.; Zhou, F. Possible Modulation of the Interannual ENSO-East Asian Winter Monsoon Relationship by the North American Ice Sheets During the Last 21 ka. Geophys. Res. Lett. 2020, 47, e2020GL089572. [Google Scholar] [CrossRef]
- Wu, R.; Wang, B. A contrast of the East Asian summer monsoon–ENSO relationship between 1962–77 and 1978–93. J. Clim. 2002, 15, 3266–3279. [Google Scholar] [CrossRef]
- Gu, D.; Li, T.; Ji, Z.; Zheng, B. On the Phase Relations between the Western North Pacific, Indian, and Australian Monsoons. J. Clim. 2010, 23, 5572–5589. [Google Scholar] [CrossRef]
- Räsänen, T.A.; Kummu, M. Spatiotemporal influences of ENSO on precipitation and flood pulse in the Mekong River Basin. J. Hydrol. 2013, 476, 154–168. [Google Scholar] [CrossRef]
- Li, S.; He, D. Water level response to hydropower development in the upper Mekong River. Ambio 2008, 37, 170–176. [Google Scholar] [CrossRef]
- Fok, H.S.; He, Q.; Chun, K.P.; Zhou, Z.; Chu, T. Application of ENSO and Drought Indices for Water Level Reconstruction and Prediction: A Case Study in the Lower Mekong River Estuary. Water 2018, 10, 58. [Google Scholar] [CrossRef]
- He, Q.; Fok, H.S.; Chen, Q.; Chun, K.P. Water Level Reconstruction and Prediction Based on Space-Borne Sensors: A Case Study in the Mekong and Yangtze River Basins. Sensors 2018, 18, 3076. [Google Scholar] [CrossRef]
- Johnston, R.; Kummu, M. Water Resource Models in the Mekong Basin: A Review. Water Resour. Manag. 2011, 26, 429–455. [Google Scholar] [CrossRef]
- You, Z.; Feng, Z.M.; Jiang, L.G.; Yang, Y.Z. Population distribution and its spatial relationship with terrain elements in Lancang-Mekong river basin. J. Mt. Res. 2014, 32, 21–29. [Google Scholar]
- Räsänen, T.A.; Koponen, J.; Lauri, H.; Kummu, M. Downstream Hydrological Impacts of Hydropower Development in the Upper Mekong Basin. Water Resour. Manag. 2012, 26, 3495–3513. [Google Scholar] [CrossRef]
- MRC (Mekong River Commission). Overview of the Hydrology of the Mekong Basin; Mekong River Commission: Vientiane, Laos, 2005; Volume 82. [Google Scholar]
- Wang, B. Rainy season of the Asian–Pacific summer monsoon. J. Clim. 2002, 15, 386–398. [Google Scholar] [CrossRef]
- Prathumratana, L.; Sthiannopkao, S.; Kim, K.-W. The relationship of climatic and hydrological parameters to surface water quality in the lower Mekong River. Environ. Int. 2008, 34, 860–866. [Google Scholar] [CrossRef]
- Colin, C.; Siani, G.; Sicre, M.-A.; Liu, Z. Impact of the East Asian monsoon rainfall changes on the erosion of the Mekong River basin over the past 25,000 yr. Mar. Geol. 2010, 271, 84–92. [Google Scholar] [CrossRef]
- Postel, S.L.; Daily, G.C.; Ehrlich, P.R. Human Appropriation of Renewable Fresh Water. Science 1996, 271, 785–788. [Google Scholar] [CrossRef]
- Pauw, K.; Thurlow, J. Economic Losses and Poverty Effects of Droughts and Floods in Malawi. MaSSP Policy Notes 2009. [Google Scholar]
- Zampieri, M.; Carmona Garcia, G.; Dentener, F.; Gumma, M.; Salamon, P.; Seguini, L.; Toreti, A. Surface freshwater limitation explains worst rice production anomaly in India in 2002. Remote Sens. 2018, 10, 244. [Google Scholar] [CrossRef]
- Beven, K.J. Rainfall-Runoff Modelling: The Primer; John Wiley & Sons: Hoboken, NJ, USA, 2012; p. 457. [Google Scholar]
- Tourian, M.J.; Sneeuw, N.; Bárdossy, A. A quantile function approach to discharge estimation from satellite altimetry (EN-VISAT). Water Resour. Res. 2013, 49, 4174–4186. [Google Scholar] [CrossRef]
- Lee, L.; Lawrence, D.; Price, M. Analysis of water-level response to rainfall and implications for recharge pathways in the Chalk aquifer, SE England. J. Hydrol. 2006, 330, 604–620. [Google Scholar] [CrossRef]
- Jiang, T.; Su, B.; Hartmann, H. Temporal and spatial trends of precipitation and river flow in the Yangtze River Basin, 1961–2000. Geomorphology 2007, 85, 143–154. [Google Scholar] [CrossRef]
- Awange, J.L.; Sharifi, M.A.; Ogonda, G.; Wickert, J.; Grafarend, E.W.; Omulo, M.A. The Falling Lake Victoria Water Level: GRACE, TRIMM and CHAMP Satellite Analysis of the Lake Basin. Water Resour. Manag. 2007, 22, 775–796. [Google Scholar] [CrossRef]
- Zheng-Wei, Y.E.; You-Peng, X.U.; Pan, G.B. Precipitation variations and its impact on water level in the lower reaches of jianghuai basin: A case study in the inner lixiahe region. J. Nat. Resour. 2013, 28, 1922–1934. [Google Scholar]
- Das, J.; Jha, S.; Goyal, M.K. On the relationship of climatic and monsoon teleconnections with monthly precipitation over meteorologically homogenous regions in India: Wavelet & global coherence approaches. Atmos. Res. 2020, 238, 104889. [Google Scholar] [CrossRef]
- Yang, P.; Zhan, C.; Xia, J.; Han, J.; Hu, S. Analysis of the spatiotemporal changes in terrestrial water storage anomaly and impacting factors over the typical mountains in China. Int. J. Remote Sens. 2018, 39, 505–524. [Google Scholar] [CrossRef]
- Jin, S.; Zhang, T. Terrestrial Water Storage Anomalies Associated with Drought in Southwestern USA from GPS Observations. Surv. Geophys. 2016, 37, 1139–1156. [Google Scholar] [CrossRef]
- Istanbulluoglu, E.; Wang, T.; Wright, O.M.; Lenters, J. Interpretation of hydrologic trends from a water balance perspective: The role of groundwater storage in the Budyko hypothesis. Water Resour. Res. 2012, 48, 273–279. [Google Scholar] [CrossRef]
- Kim, H.; Yeh, P.J.F.; Oki, T.; Kanae, S. Role of rivers in the seasonal variations of terrestrial water storage over global basins. Geophys. Res. Lett. 2009, 36, L17402. [Google Scholar] [CrossRef]
- Meng, F.; Su, F.; Ying, L.; Kai, T. Changes in terrestrial water storage during 2003–2014 and possible causes in tibetan plateau. J. Geophys. Res. Atmos. 2019, 124, 2909–2931. [Google Scholar] [CrossRef]
- Xu, L.; Chen, N.C.; Zhang, X.; Chen, Z.Q. Spatiotemporal changes in china’s terrestrial water storage from grace satellites and its possible drivers. J. Geophys. Res. Atmos. 2019, 124, 11976–11993. [Google Scholar] [CrossRef]
- He, Q.; Chun, K.P.; Fok, H.S.; Chen, Q.; Dieppois, B.; Massei, N. Water storage redistribution over East China, between 2003 and 2015, driven by intra- and inter-annual climate variability. J. Hydrol. 2020, 583, 124475. [Google Scholar] [CrossRef]
- Long, D.; Shen, Y.; Sun, A.; Hong, Y.; Longuevergne, L.; Yang, Y.; Li, B.; Chen, L. Drought and flood monitoring for a large karst plateau in Southwest China using extended GRACE data. Remote Sens. Environ. 2014, 155, 145–160. [Google Scholar] [CrossRef]
- Ni, S.; Chen, J.; Wilson, C.R.; Li, J.; Hu, X.; Fu, R. Global Terrestrial Water Storage Changes and Connections to ENSO Events. Surv. Geophys. 2018, 39, 1–22. [Google Scholar] [CrossRef]
- Tang, J.; Cheng, H.; Liu, L. Assessing the recent droughts in Southwestern China using satellite gravimetry. Water Resour. Res. 2014, 50, 3030–3038. [Google Scholar] [CrossRef]
- Zhang, Z.; Chao, B.F.; Chen, J.; Wilson, C.R. Terrestrial water storage anomalies of Yangtze River Basin droughts observed by GRACE and connections with ENSO. Glob. Planet. Chang. 2015, 126, 35–45. [Google Scholar] [CrossRef]
- Singh, A.; Seitz, F.; Schwatke, C. Inter-annual water storage changes in the Aral Sea from multi-mission satellite altimetry, optical remote sensing, and GRACE satellite gravimetry. Remote Sens. Environ. 2012, 123, 187–195. [Google Scholar] [CrossRef]
- Frappart, F.; Seyler, F.; Martinez, J.-M.; León, J.G.; Cazenave, A. Floodplain water storage in the Negro River basin estimated from microwave remote sensing of inundation area and water levels. Remote Sens. Environ. 2005, 99, 387–399. [Google Scholar] [CrossRef]
- Zhang, J.; Xu, K.; Yang, Y.; Qi, L.; Hayashi, S.; Watanabe, M. Measuring Water Storage Fluctuations in Lake Dongting, China, by Topex/Poseidon Satellite Altimetry. Environ. Monit. Assess. 2006, 115, 23–37. [Google Scholar] [CrossRef] [PubMed]
- Fok, H.S.; He, Q. Water Level Reconstruction Based on Satellite Gravimetry in the Yangtze River Basin. ISPRS Int. J. Geo-Inf. 2018, 7, 286. [Google Scholar] [CrossRef]
- Achen, C.H. Interpreting and Using Regression; Sage Publications: New York, NY, USA, 1982. [Google Scholar]
- Budescu, D.V. Dominance analysis: A new approach to the problem of relative importance of predictors in multiple regression. Psychol. Bull. 1993, 114, 542–551. [Google Scholar] [CrossRef]
- Johnson, J.W.; LeBreton, J. History and Use of Relative Importance Indices in Organizational Research. Organ. Res. Methods 2004, 7, 238–257. [Google Scholar] [CrossRef]
- Zhou, L.; Fok, H.S.; Ma, Z.; Chen, Q. Upstream Remotely-Sensed Hydrological Variables and Their Standardization for Surface Runoff Reconstruction and Estimation of the Entire Mekong River Basin. Remote Sens. 2019, 11, 1064. [Google Scholar] [CrossRef]
- Shariee, A.M.S.A.; Mohamad, I.N.; Lee, W.K. Backwater Effect of Tidal Water Level Fluctuation and River. In IOP Conference Series: Earth and Environmental Science; IOP Publishing: Bristol, UK, 2020; p. 498. [Google Scholar]
- Wang, B. Reply. Bull. Amer. Meteor. Soc. 2000, 81, 822–824. [Google Scholar] [CrossRef][Green Version]
- Zhao, Q.; Wu, W.; Wu, Y. Variations in China’s terrestrial water storage over the past decade using GRACE data. Geod. Geodyn. 2015, 6, 187–193. [Google Scholar] [CrossRef]
- Cheng, M.; Tapley, B. Variations in the Earth’s oblateness during the past 28 years. J. Geophys. Res. Space Phys. 2004, 109. [Google Scholar] [CrossRef]
- Swenson, S.; Chambers, D.P.; Wahr, J. Estimating geocenter variations from a combination of GRACE and ocean model output. J. Geophys. Res. Sol. Earth 2008, 113, 08410. [Google Scholar] [CrossRef]
- Ramillien, G.; Frappart, F.; Cazenave, A.; Güntner, A. Time variations of land water storage from an inversion of 2 years of GRACE geoids. Earth Planet. Sci. Lett. 2005, 235, 283–301. [Google Scholar] [CrossRef]
- Swenson, S.; Wahr, J. Post-processing removal of correlated errors in GRACE data. Geophys. Res. Lett. 2006, 33, 1–4. [Google Scholar] [CrossRef]
- Wolter, K.; Timlin, M.S. El Niño/Southern Oscillation behaviour since 1871 as diagnosed in an extended multivariate EN-SO index (MEI. ext). Int. J. Climatol. 2011, 31, 1074–1087. [Google Scholar] [CrossRef]
- Yan, X.; Konopka, P.; Ploeger, F.; Tao, M.; Müller, R.; Santee, M.L.; Bian, J.; Riese, M. El Niño Southern Oscillation influence on the asian summer monsoon anticyclone. Atmos. Chem. Phys. 2018, 18, 8079–8096. [Google Scholar] [CrossRef]
- Menke, W.; Menke, J. Environmental Data Analysis with MatLab; Elsevier: Amsterdam, The Netherlands, 2012. [Google Scholar]
- Gupta, H.V.; Kling, H.; Yilmaz, K.K.; Martinez, G.F. Decomposition of the mean squared error and NSE performance criteria: Implications for improving hydrological modelling. J. Hydrol. 2009, 377, 80–91. [Google Scholar] [CrossRef]
- Groemping, U. Relative Importance for Linear Regression in R: The Package relaimpo. J. Statal Softw. 2006, 17, 925–933. [Google Scholar]
- Grmping, U. Estimators of Relative Importance in Linear Regression Based on Variance Decomposition. Am. Stat. 2007, 61, 139–147. [Google Scholar] [CrossRef]
- Sen, P.K.; Lindeman, R.H.; Merenda, P.F.; Gold, R.Z. Introduction to Bivariate and Multivariate Analysis. J. Am. Stat. Assoc. 1981, 76, 752. [Google Scholar] [CrossRef]
- Feldman, B.E. Relative Importance and Value. SSRN Electron. J. 2005. [Google Scholar] [CrossRef]
- Torrence, C.; Webster, P.J. Interdecadal changes in the ENSO–monsoon system. J. Clim. 1999, 12, 2679–2690. [Google Scholar] [CrossRef]
- Grinsted, A.; Moore, J.; Jevrejeva, S. Application of the cross wavelet transform and wavelet coherence to geophysical time series. Nonlinear Process. Geophys. 2004, 11, 561–566. [Google Scholar] [CrossRef]
- Lachaux, J.P.; Lutz, A.; Rudrauf, D.; Cosmelli, D.; Quyen, M.; Martinerie, J.; Varela, F. Estimating the time-course of coherence between single-trial brain signals: An introduction to wavelet coherence. Neurophysiol. Clin./Clin. Neurophysiol. 2002, 32, 157–174. [Google Scholar] [CrossRef]
- Müller, K.; Lohmann, G.; Neumann, J.; Grigutsch, M.; Mildner, T.; von Cramon, D.Y. Investigating the wavelet coherence phase of the BOLD signal. J. Magn. Reson. Imaging 2004, 20, 145–152. [Google Scholar] [CrossRef]
- Walker, G.T. Correlations in seasonal variations of weather. VIII, A further study of world weather. Mem. Indian Meteorol. Dep. 1924, 24, 275–332. [Google Scholar]
- Rasmusson, E.M.; Carpenter, T.H. The relationship between the Eastern Pacific sea surface temperature and rainfall over India and Sri Lanka. Mon. Weather Rev. 1983, 111, 517–528. [Google Scholar] [CrossRef]
- Webster, P.J.; Yang, S. Monsoon and ENSO: Selectively interactive systems. Q. J. R. Meteor. Soc. 1992, 118, 877–926. [Google Scholar] [CrossRef]
- Ju, J.; Slingo, J.M. The Asian summer monsoon and ENSO. Q. J. R. Meteorol. Soc. 1995, 121, 1133–1168. [Google Scholar] [CrossRef]
- Annamalai, H.; Liu, P. Response of the Asian summer monsoon to changes in El Niño properties. Q. J. R. Meteorol. Soc. 2005, 131, 805–831. [Google Scholar] [CrossRef]
- Minoru, T. Interannual and Interdecadal Variations of the Western North Pacific Monsoon and Baiu Rainfall and their Relationship to the ENSO Cycles. J. Meteorol. Soc. Jpn. 1997, 75, 1109–1123. [Google Scholar]
- Chou, C.; Tu, J.-Y.; Yu, J.-Y. Interannual Variability of the Western North Pacific Summer Monsoon: Differences between ENSO and Non-ENSO Years. J. Clim. 2003, 16, 2275–2287. [Google Scholar] [CrossRef]
- Wijaya, Y.; Hisaki, Y. Differences in the Reaction of North Equatorial Countercurrent to the Developing and Mature Phase of ENSO Events in the Western Pacific Ocean. Climate 2021, 9, 57. [Google Scholar] [CrossRef]
- Peng, H.; Fok, H.; Gong, J.; Wang, L. Improving Stage–Discharge Relation in The Mekong River Estuary by Remotely Sensed Long-Period Ocean Tides. Remote Sens. 2020, 12, 3648. [Google Scholar] [CrossRef]
- Frappart, F.; Bian Ca Maria, S.; Normandin, C.; Blarel, F.; Da Rrozes, J. Influence of recent climatic events on the surface water storage of the tonle sap lake. Sci. Total Environ. 2018, 636, 1520–1533. [Google Scholar] [CrossRef]
- Zhang, J.; Hao, Y.; Hu, B.X.; Huo, X.; Hao, P.; Liu, Z. The effects of monsoons and climate teleconnections on the Niangziguan Karst Spring discharge in North China. Clim. Dyn. 2017, 48, 53–70. [Google Scholar] [CrossRef]
- Ding, Y.; Ye, B.; Han, T.; Shen, Y.; Liu, S. Regional difference of annual precipitation and discharge variation over west China during the last 50 years. Sci. China Ser. D Earth Sci. 2007, 50, 936–945. [Google Scholar] [CrossRef]
- Li, F.; Chen, D.; Tang, Q.; Li, W.; Zhang, X. Hydrological Response of East China to the Variation of East Asian Summer Monsoon. Adv. Meteorol. 2016, 2016, 1–12. [Google Scholar] [CrossRef]
- Zheng, C.; Jia, L.; Hu, G.; Lu, J. Evapotranspiration Estimation in Tropical Monsoon Regions Using Improved ETMonitor Algorithm. In Proceedings of the IGARSS 2019—2019 IEEE International Geoscience and Remote Sensing Symposium, Yokohama, Japan, 28 July–2 August 2019. [Google Scholar]
- Zhang, Y.; Pan, M.; Wood, E.F. On Creating Global Gridded Terrestrial Water Budget Estimates from Satellite Remote Sensing. Surv. Geophys. 2016, 37, 249–268. [Google Scholar] [CrossRef]














| Variable | Station | Max | Min | Mean | Standard Deviation |
|---|---|---|---|---|---|
| Daily observed water level(m) | My Thuan | 1.594 | −0.530 | 0.404 | 0.321 |
| Can Tho | 1.742 | −0.498 | 0.503 | 0.334 | |
| Chau Doc | 4.223 | 0.184 | 1.378 | 0.884 | |
| Tan Chau | 4.778 | 0.138 | 1.574 | 1.073 | |
| Monthly averaged water level (m) | My Thuan | 1.081 | −0.059 | 0.403 | 0.274 |
| Can Tho | 1.175 | 0.065 | 0.504 | 0.289 | |
| Chau Doc | 4.142 | 0.435 | 1.375 | 0.866 | |
| Tan Chau | 4.620 | 0.408 | 1.569 | 1.053 |
| Variable | Station | Time Lag with ISM (days) | Time Lag with WNPM (days) |
|---|---|---|---|
| WL | My Thuan | 98 | 89 |
| Can Tho | 85 | 88 | |
| Chau Doc | 68 | 44 | |
| Tan Chau | 60 | 39 | |
| TWS | —— | Time Lag with ISM (months) | Time Lag with WNPM (months) |
| 2 | 1 |
| Variable | Station | ||||||||
|---|---|---|---|---|---|---|---|---|---|
| WL | My Thuan | 0.4340 | 0.0384 | 0.0088 | 81.35% | 18.65% | 0.9121 | 0.0977 | 0.8318 |
| Can Tho | 0.5564 | 0.0370 | 0.0148 | 71.45% | 28.55% | 0.9259 | 0.1001 | 0.8573 | |
| Chau Doc | 1.5659 | 0.0860 | 0.0652 | 56.88% | 43.12% | 0.9100 | 0.1000 | 0.8281 | |
| Tan Chau | 1.8021 | 0.1045 | 0.0839 | 55.48% | 44.52% | 0.9306 | 0.0944 | 0.8660 | |
| Basin-averaged TWS | —— | 2.9387 | 1.0426 | 0.7689 | 57.55% | 42.45% | 0.9482 | 0.0905 | 0.8990 |
| Variable | Station | Total Response Variance | Proportion of Variance | Contributions of the ISM | Contributions of the WNPM | ||
|---|---|---|---|---|---|---|---|
| LMG | PMVD | LMG | PMVD | ||||
| WL | My Thuan | 0.007492 | 83.18% | 57.55% | 93.64% | 42.45% | 6.36% |
| Can Tho | 0.086046 | 85.73% | 57.33% | 82.84% | 42.67% | 17.16% | |
| Chau Doc | 0.812452 | 82.81% | 50.94% | 56.87% | 49.06% | 43.13% | |
| Tan Chau | 1.175889 | 86.60% | 50.69% | 55.41% | 49.31% | 44.59% | |
| TWS | —— | 101.5007 | 89.90% | 51.64% | 59.66% | 48.36% | 40.34% |
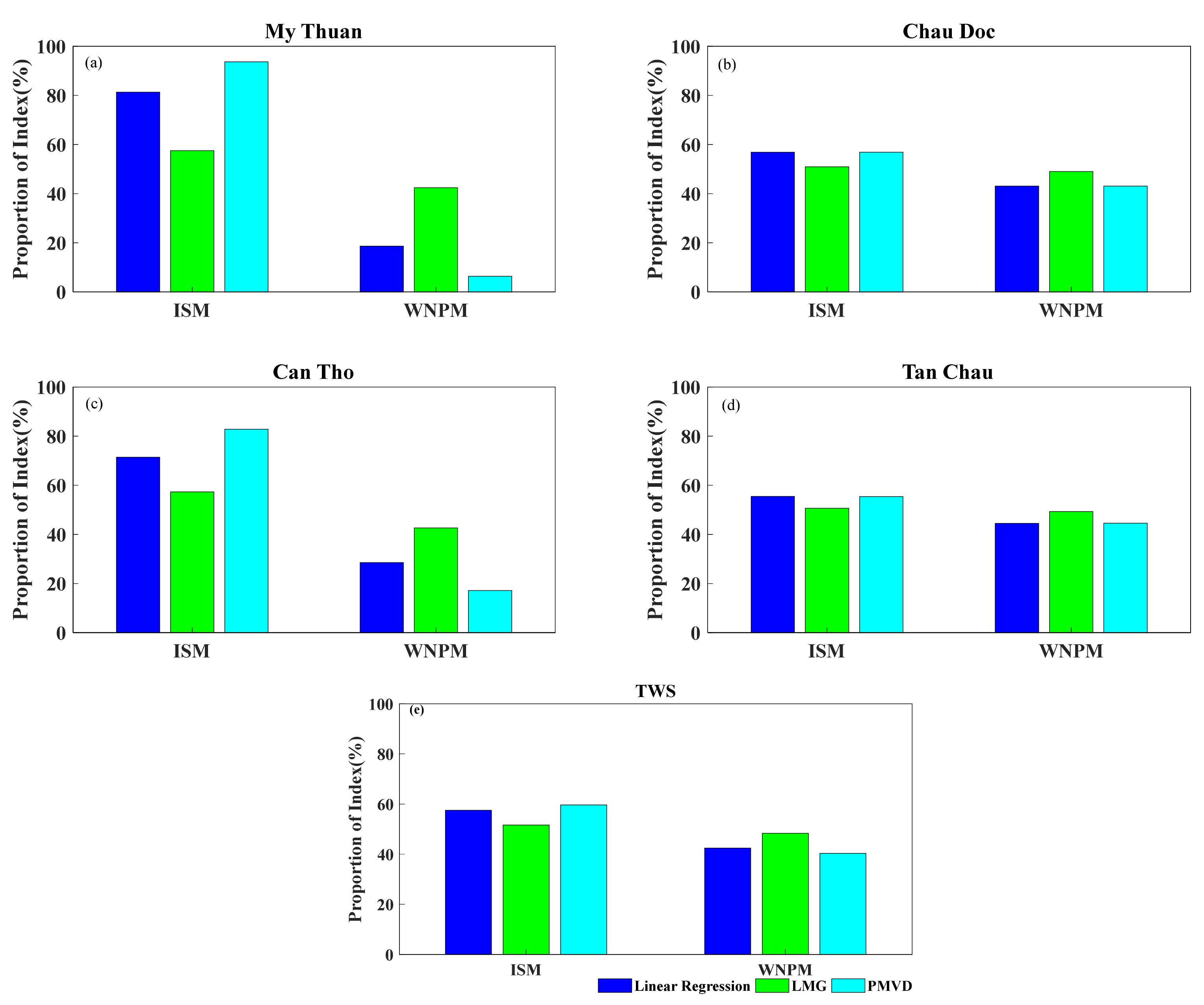
| Time Interval | Monsoon | Variable | Station | Liner Regression | LMG | PMVD |
|---|---|---|---|---|---|---|
| 2010.1–2014.12 | ISM | WL | My Thuan | 81.35% | 57.55% | 93.64% |
| Can Tho | 71.45% | 57.33% | 82.84% | |||
| Chau Doc | 56.88% | 50.94% | 56.87% | |||
| Tan Chau | 55.48% | 50.69% | 55.41% | |||
| TWS | —— | 57.55% | 51.64% | 59.66% | ||
| WNPM | WL | My Thuan | 18.65% | 42.45% | 6.36% | |
| Can Tho | 28.55% | 42.67% | 17.16% | |||
| Chau Doc | 43.12% | 49.06% | 43.13% | |||
| Tan Chau | 44.52% | 49.31% | 44.59% | |||
| TWS | —— | 42.45% | 48.36% | 40.34% | ||
| 2008.1–2012.12 | ISM | WL | My Thuan | 88.06% (+6.71%) | 60.30% (+2.75%) | 97.83% (+4.19%) |
| Can Tho | 82.09% (+10.64) | 58.83% (+1.50%) | 94.57% (+11.73%) | |||
| Chau Doc | 72.76% (+15.88%) | 55.89% (+4.95%) | 87.46% (+30.59%) | |||
| Tan Chau | 72.58% (+17.1%) | 55.54% (+4.85%) | 84.39% (+28.98%) | |||
| TWS | —— | 34.00% (−23.55%) | 43.69% (−7.95%) | 17.42% (−42.24%) | ||
| WNPM | WL | My Thuan | 11.94% | 39.70% | 2.17% | |
| Can Tho | 17.91% | 41.47% | 5.43% | |||
| Chau Doc | 27.24% | 44.11% | 15.24% | |||
| Tan Chau | 27.42% | 44.46% | 15.61% | |||
| TWS | —— | 66.00% | 56.31% | 82.58% |
| Time Interval | Monsoon | Variable | Station | Liner Regression | LMG | PMVD |
|---|---|---|---|---|---|---|
| 2010.1–2014.12 (with ENSO) | ISM | WL | My Thuan | 81.35% | 57.55% | 93.64% |
| Can Tho | 71.45% | 57.33% | 82.84% | |||
| Chau Doc | 56.88% | 50.94% | 56.87% | |||
| Tan Chau | 55.48% | 50.69% | 55.41% | |||
| TWS | —— | 57.55% | 51.64% | 59.66% | ||
| WNPM | WL | My Thuan | 18.65% | 42.45% | 6.36% | |
| Can Tho | 28.55% | 42.67% | 17.16% | |||
| Chau Doc | 43.12% | 49.06% | 43.13% | |||
| Tan Chau | 44.52% | 49.31% | 44.59% | |||
| TWS | —— | 42.45% | 48.36% | 40.34% | ||
| 2010.1–2014.12 (without ENSO) | ISM | WL | My Thuan | 80.69% (−0.66%) | 57.06% (−0.49%) | 93.18% (−0.46%) |
| Can Tho | 76.74% (+5.29%) | 56.96% (−0.37%) | 89.61% (+6.77%) | |||
| Chau Doc | 73.90% (+17.02%) | 56.08% (+5.14%) | 86.44% (+29.57%) | |||
| Tan Chau | 68.94% (+13.46%) | 54.56% (+3.87%) | 79.20% (+23.79%) | |||
| TWS | —— | 68.79% (+11.24%) | 54.60% (+2.96%) | 79.43% (+19.77%) | ||
| WNPM | WL | My Thuan | 19.31% | 42.94% | 6.82% | |
| Can Tho | 23.26% | 43.04% | 10.39% | |||
| Chau Doc | 26.10% | 43.92% | 13.56% | |||
| Tan Chau | 31.36% | 45.44% | 20.80% | |||
| TWS | —— | 31.21% | 45.40% | 20.57% | ||
| 2008.1–2012.12 (with ENSO) | ISM | TWS | —— | 34.00% | 43.69% | 17.42% |
| WNPM | 66.00% | 56.31% | 82.58% | |||
| 2008.1–2012.12 (without ENSO) | ISM | 71.81% (+37.81%) | 55.63% (+11.94%) | 84.19% (+66.77%) | ||
| WNPM | 28.19% | 44.37% | 15.81% |
Publisher’s Note: MDPI stays neutral with regard to jurisdictional claims in published maps and institutional affiliations. |
© 2021 by the authors. Licensee MDPI, Basel, Switzerland. This article is an open access article distributed under the terms and conditions of the Creative Commons Attribution (CC BY) license (https://creativecommons.org/licenses/by/4.0/).
Share and Cite
Shi, T.; Fok, H.S.; Ma, Z. Interactive Contribution of Indian Summer Monsoon and Western North Pacific Monsoon to Water Level and Terrestrial Water Storage in the Mekong Basin. Remote Sens. 2021, 13, 3399. https://doi.org/10.3390/rs13173399
Shi T, Fok HS, Ma Z. Interactive Contribution of Indian Summer Monsoon and Western North Pacific Monsoon to Water Level and Terrestrial Water Storage in the Mekong Basin. Remote Sensing. 2021; 13(17):3399. https://doi.org/10.3390/rs13173399
Chicago/Turabian StyleShi, Taoran, Hok Sum Fok, and Zhongtian Ma. 2021. "Interactive Contribution of Indian Summer Monsoon and Western North Pacific Monsoon to Water Level and Terrestrial Water Storage in the Mekong Basin" Remote Sensing 13, no. 17: 3399. https://doi.org/10.3390/rs13173399
APA StyleShi, T., Fok, H. S., & Ma, Z. (2021). Interactive Contribution of Indian Summer Monsoon and Western North Pacific Monsoon to Water Level and Terrestrial Water Storage in the Mekong Basin. Remote Sensing, 13(17), 3399. https://doi.org/10.3390/rs13173399

