Combining FY-3D MWTS-2 with AMSU-A Data for Inter-Decadal Diurnal Correction and Climate Trends of Atmospheric Temperature
Abstract
1. Introduction
2. Data and Methods
2.1. Channel Characteristics of MWTS-2 and AMSU-A
2.2. The DD Method for Inter-Sensor Calibration
2.3. Determination of “No-Rain” Data
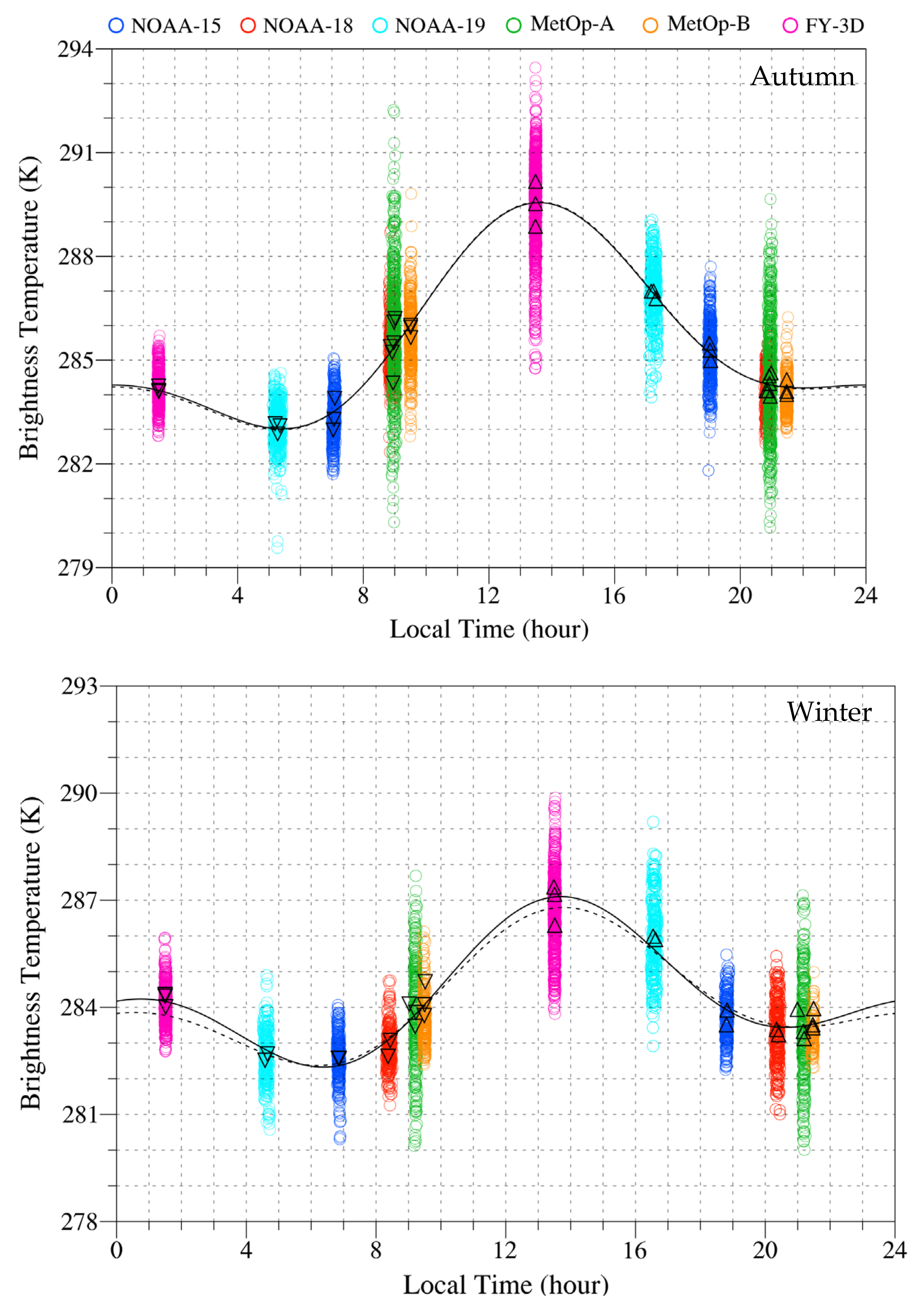
2.4. Diurnal Correction Method
3. Results
3.1. SNO and Inter-Sensor Calibration Results
3.2. Inter-Decadal Diurnal Variations over the Amazon
3.3. Impacts of Inter-Sensor and Diurnal Correction on Linear Climate Trends
4. Discussion and Conclusions
Author Contributions
Funding
Data Availability Statement
Acknowledgments
Conflicts of Interest
References
- Jones, P.D.; Wigley, T.M.L.; Kelly, P.M. Variations in Surface Air Temperatures: Part 1. Northern Hemisphere, 1881–1980. Mon. Weather. Rev. 1982, 110, 59. [Google Scholar] [CrossRef]
- Barnett, T.P. Long-Term Trends in Surface Temperature over the Oceans. Mon. Weather. Rev. 1984, 112, 303. [Google Scholar] [CrossRef]
- Angell, J.K.; Korshover, J. Global temperature variations in the troposphere and stratosphere, 1958–1982. Mon. Weather. Rev. 1983, 111, 901–921. [Google Scholar] [CrossRef][Green Version]
- Andersson, E.; Hollingsworth, A.; Kelly, G.; Lönnberg, P.; Pailleux, J.; Zhang, Z. Global Observing System Experiments on Operational Statistical Retrievals of Satellite Sounding Data. Mon. Weather. Rev. 1991, 119, 1851. [Google Scholar] [CrossRef]
- Eyre, J.R.; Kelly, G.A.; McNally, A.P.; Andersson, E.; Persson, A. Assimilation of TOVS radiance information through one-dimensional variational analysis. Q. J. R. Meteorol. Soc. 1993, 119, 1427. [Google Scholar] [CrossRef]
- Li, J.; Zou, X. Impact of FY-3A MWTS radiances on prediction in GRAPES with comparison of two quality control schemes. Front. Earth Sci. 2014, 8, 251. [Google Scholar] [CrossRef]
- Zou, C.-Z.; Goldberg, M.D.; Cheng, Z.; Grody, N.C.; Sullivan, J.T.; Cao, C.; Tarpley, D. Recalibration of microwave sounding unit for climate studies using simultaneous nadir overpasses. J. Geophys. Res. 2006, 111, D19114. [Google Scholar] [CrossRef]
- Wang, W.; Zou, C.-Z. AMSU-A-Only Atmospheric Temperature Data Records from the Lower Troposphere to the Top of the Stratosphere. J. Atmos. Ocean. Technol. 2014, 31, 808. [Google Scholar] [CrossRef]
- Qin, Z.; Zou, X.; Weng, F. Comparison between linear and nonlinear trends in NOAA-15 AMSU-A brightness temperatures during 1998–2010. Clim. Dyn. 2012, 39, 1763. [Google Scholar] [CrossRef]
- Zou, X.; Tian, X. Striping Noise Analysis and Mitigation for Microwave Temperature Sounder-2 Observations. Adv. Atmos. Sci. 2019, 36, 711. [Google Scholar] [CrossRef]
- Niu, Z.; Zou, X.; Ray, P.S. Development and Testing of a Clear-Sky Data Selection Algorithm for FY-3C/D Microwave Temperature Sounder-2. Remote. Sens. 2020, 12, 1478. [Google Scholar] [CrossRef]
- Goldberg, M.D.; Crosby, D.S.; Zhou, L. The Limb Adjustment of AMSU-A Observations: Methodology and Validation. J. Appl. Meteorol. 2001, 40, 70. [Google Scholar] [CrossRef]
- Spencer, R.W.; Braswell, W.D. Atlantic Tropical Cyclone Monitoring with AMSU-A: Estimation of Maximum Sustained Wind Speeds. Mon. Weather. Rev. 2001, 129, 1518. [Google Scholar] [CrossRef][Green Version]
- Mears, C.A.; Schabel, M.C.; Wentz, F.J. A Reanalysis of the MSU Channel 2 Tropospheric Temperature Record. J. Clim. 2003, 16, 3650. [Google Scholar] [CrossRef]
- Spencer, R.W.; Christy, J.R.; Braswell, W.D. UAH Version 6 global satellite temperature products: Methodology and results. Asia Pac. J. Atmos. Sci. 2017, 53, 121. [Google Scholar] [CrossRef]
- Po-Chedley, S.; Thorsen, T.J.; Fu, Q. Removing Diurnal Cycle Contamination in Satellite-Derived Tropospheric Temperatures: Understanding Tropical Tropospheric Trend Discrepancies. J. Clim. 2015, 28, 2274. [Google Scholar] [CrossRef]
- Mears, C.A.; Wentz, F.J. Sensitivity of Satellite-Derived Tropospheric Temperature Trends to the Diurnal Cycle Adjustment. J. Clim. 2016, 29, 3629. [Google Scholar] [CrossRef]
- Zou, X. Atmospheric Satellite Observations. Microwave Temperature Sounding Observations; Academic Press: Cambridge, MA, USA, 2020; pp. 97–133. [Google Scholar]
- Mears, C.; Schabel, M.C.; Wentz, F.J.; Santer, B.D.; Govindasamy, B. Correcting the MSU middle tropospheric temperature for diurnal drifts. In Proceedings of the IEEE International Geoscience & Remote Sensing Symposium, Toronto, ON, Canada, 24–28 June 2002. [Google Scholar]
- Mo, T. Diurnal Variation of the AMSU-A Brightness Temperatures Over the Amazon Rainforest. IEEE Trans. Geosci. Remote Sens. 2007, 45, 958. [Google Scholar] [CrossRef]
- Chen, H.; Zou, X.; Qin, Z. Effects of diurnal adjustment on biases and trends derived from inter-sensor calibrated AMSU-A data. Front. Earth Sci. 2018, 12, 1. [Google Scholar] [CrossRef]
- Cao, C.; Weinreb, M.; Xu, H. Predicting Simultaneous Nadir Overpasses among Polar-Orbiting Meteorological Satellites for the Intersatellite Calibration of Radiometers. J. Atmos. Ocean. Technol. 2004, 21, 537. [Google Scholar] [CrossRef]
- Kroodsma, R.A.; McKague, D.S.; Ruf, C.S. Inter-Calibration of Microwave Radiometers Using the Vicarious Cold Calibration Double Difference Method. IEEE J. Sel. Top. Appl. Earth Obs. Remote. Sens. 2012, 5, 1006. [Google Scholar] [CrossRef]
- Bremen, L.V.; Ruprecht, E.; Macke, A. Errors in liquid water path retrieval arising from cloud inhomogeneities: The beam-filling effect. Meteorol. Z. 2002, 11, 13. [Google Scholar] [CrossRef]
- Greenwald, T.J.; Stephens, G.L.; Vonder Haar, T.H.; Jackson, D.L. A physical retrieval of cloud liquid water over the global oceans using special sensor microwave/imager (SSM/I) observations. J. Geophys. Res. 1993, 98, 18471–18488. [Google Scholar] [CrossRef]
- Saunders, R.W.; Kriebel, K.T. An improved method for detecting clear sky and cloudy radiances from AVHRR data. Int. J. Remote. Sens. 1988, 9, 123. [Google Scholar] [CrossRef]
- Saunders, R.; Matricardi, M.; Brunel, P. An improved fast radiative transfer model for assimilation of satellite radiance observations. Q. J. R. Meteorol. Soc. 1999, 125, 1407. [Google Scholar] [CrossRef]
- Ferraro, R.R.; Weng, F.; Grody, N.C.; Zhao, L. Precipitation characteristics over land from the NOAA-15 AMSU sensor. Geophys. Res. Lett. 2000, 27, 2669. [Google Scholar] [CrossRef]

















| Channel Number | Frequency | NEDT | WFPL | |||
|---|---|---|---|---|---|---|
| AMSU-A | MWTS-2 | AMSU-A | MWTS-2 | AMSU-A | MWTS-2 | |
| 1 | - | 23.80 (V) | - | 0.30 | - | 1085 |
| 2 | - | 31.40 (V) | - | 0.30 | - | 1085 |
| 3 | 1 | 50.30 (V) | 50.30 (H) | 0.40 | 1.20 | 950 |
| - | 2 | - | 51.76 (H) | - | 0.75 | 950 |
| 4 | 3 | 52.80 (V) | 52.80 (H) | 0.25 | 0.75 | 850 |
| 5 | 4 | 53.596 (H) | 0.25 | 0.75 | 700 | |
| 6 | 5 | 54.400 (H) | 0.25 | 0.75 | 400 | |
| 7 | 6 | 54.94 (V) | 54.94 (H) | 0.25 | 0.75 | 250 |
| 8 | 7 | 55.500 (H) | 0.25 | 0.75 | 200 | |
| 9 | 8 | f0 (H) = 57.29GHz | 0.25 | 0.75 | 100 | |
| 10 | 9 | f00.217 (H) | 0.40 | 1.20 | 50 | |
| 11 | 10 | f00.3220.048 (H) | 0.40 | 1.20 | 25 | |
| 12 | 11 | f00.3220.022 (H) | 0.60 | 1.70 | 10 | |
| 13 | 12 | f00.3220.010 (H) | 0.80 | 2.40 | 5 | |
| 14 | 13 | f00.3220.005 (H) | 1.20 | 3.60 | 2 | |
| 15 | - | 89 (V) | - | 0.05 | - | 1085 |
| Satellite | Start Date (Year-Month-Day) | End Date (Year-Month-Day) |
|---|---|---|
| NOAA-15 | 1998-10-26 | 2020-12-31 |
| NOAA-18 | 2005-05-24 | 2020-12-31 |
| NOAA-19 | 2009-02-06 | 2020-12-31 |
| MetOp-A | 2007-01-01 | 2020-12-31 |
| MetOp-B | 2012-09-24 | 2020-12-31 |
| FY-3D | 2019-01-01 | 2020-12-31 |
| Satellite | Channel | Failure date (year-month) |
| NOAA-15 | 6 | 2004-01 |
| 11 | 2002-04 | |
| 14 | 2000-10 | |
| NOAA-19 | 8 | 2009-12 |
| MetOp-A | 7 | 2009-12 |
| 8 | 2015-09 | |
| MetOp-B | 15 | 2016-10 |
| NOAA-15 | NOAA-19 | MetOp-A | MetOp-B | |||||
|---|---|---|---|---|---|---|---|---|
| Channel | ||||||||
| 1 | 0.454 | 0.239 | −0.199 | 0.152 | 0.050 | 0.176 | 0.688 | 0.162 |
| 2 | 0.172 | 0.211 | −0.294 | 0.121 | 0.066 | 0.171 | 0.122 | 0.143 |
| 3 | 0.183 | 0.114 | −0.227 | 0.130 | −0.088 | 0.182 | −0.116 | 0.159 |
| 4 | −0.129 | 0.076 | −0.045 | 0.066 | −0.090 | 0.078 | 0.174 | 0.084 |
| 5 | −0.110 | 0.096 | −0.179 | 0.076 | −0.083 | 0.094 | 0.179 | 0.088 |
| 6 | N/A | N/A | 0.234 | 0.059 | 0.096 | 0.063 | 0.571 | 0.068 |
| 7 | 0.293 | 0.085 | 0.407 | 0.078 | 0.277 | 0.089 | 0.613 | 0.072 |
| 8 | 0.281 | 0.103 | −0.146 | 0.080 | 0.256 | 0.070 | 0.338 | 0.105 |
| 9 | 0.478 | 0.084 | 0.420 | 0.071 | 0.358 | 0.073 | 0.596 | 0.078 |
| 10 | 0.392 | 0.093 | 0.428 | 0.092 | 0.393 | 0.095 | 0.609 | 0.090 |
| 11 | N/A | N/A | 0.456 | 0.098 | 0.447 | 0.108 | 0.700 | 0.101 |
| 12 | 0.070 | 0.142 | 0.400 | 0.146 | 0.272 | 0.146 | 0.543 | 0.147 |
| 13 | 0.199 | 0.212 | 0.299 | 0.205 | 0.208 | 0.214 | 0.500 | 0.199 |
| 14 | N/A | N/A | 0.225 | 0.346 | 0.076 | 0.365 | 0.596 | 0.320 |
| 15 | 0.292 | 0.214 | 0.274 | 0.194 | 0.134 | 0.209 | 0.851 | 0.250 |
| Channel | |||
|---|---|---|---|
| AMSU-A | MWTS-2 | ||
| 3 | 1 | −0.507 | 0.293 |
| 4 | 3 | 0.103 | 0.107 |
| 5 | 4 | −0.009 | 0.088 |
| 6 | 5 | −0.021 | 0.115 |
| 7 | 6 | 0.284 | 0.087 |
| 8 | 7 | −0.098 | 0.120 |
| 9 | 8 | 0.216 | 0.146 |
| 10 | 9 | 0.529 | 0.136 |
| 11 | 10 | 0.388 | 0.190 |
| 12 | 11 | 0.914 | 0.198 |
| 13 | 12 | 0.705 | 0.456 |
| 14 | 13 | 0.301 | 0.526 |
Publisher’s Note: MDPI stays neutral with regard to jurisdictional claims in published maps and institutional affiliations. |
© 2021 by the authors. Licensee MDPI, Basel, Switzerland. This article is an open access article distributed under the terms and conditions of the Creative Commons Attribution (CC BY) license (https://creativecommons.org/licenses/by/4.0/).
Share and Cite
Xia, X.; Zou, X. Combining FY-3D MWTS-2 with AMSU-A Data for Inter-Decadal Diurnal Correction and Climate Trends of Atmospheric Temperature. Remote Sens. 2021, 13, 3148. https://doi.org/10.3390/rs13163148
Xia X, Zou X. Combining FY-3D MWTS-2 with AMSU-A Data for Inter-Decadal Diurnal Correction and Climate Trends of Atmospheric Temperature. Remote Sensing. 2021; 13(16):3148. https://doi.org/10.3390/rs13163148
Chicago/Turabian StyleXia, Xinlu, and Xiaolei Zou. 2021. "Combining FY-3D MWTS-2 with AMSU-A Data for Inter-Decadal Diurnal Correction and Climate Trends of Atmospheric Temperature" Remote Sensing 13, no. 16: 3148. https://doi.org/10.3390/rs13163148
APA StyleXia, X., & Zou, X. (2021). Combining FY-3D MWTS-2 with AMSU-A Data for Inter-Decadal Diurnal Correction and Climate Trends of Atmospheric Temperature. Remote Sensing, 13(16), 3148. https://doi.org/10.3390/rs13163148

