UAV Remote Sensing Estimation of Rice Yield Based on Adaptive Spectral Endmembers and Bilinear Mixing Model
Abstract
1. Introduction
2. Materials and Methods
2.1. Study Area
2.2. Yield Data Collection
2.3. Surface Reflectance and Vegetation Index Derived from UAV Data
2.4. The Pure Pixel Index Endmember Extraction Method
2.5. NU-BGBM Bilinear Spectral Mixture Analysis
2.6. Data Analysis between UAV Data and Rice Yield
2.7. Algorithm Establishment Using Leave One Out Cross-Validation
3. Results
3.1. Correlations of Vegetation Index with Yield
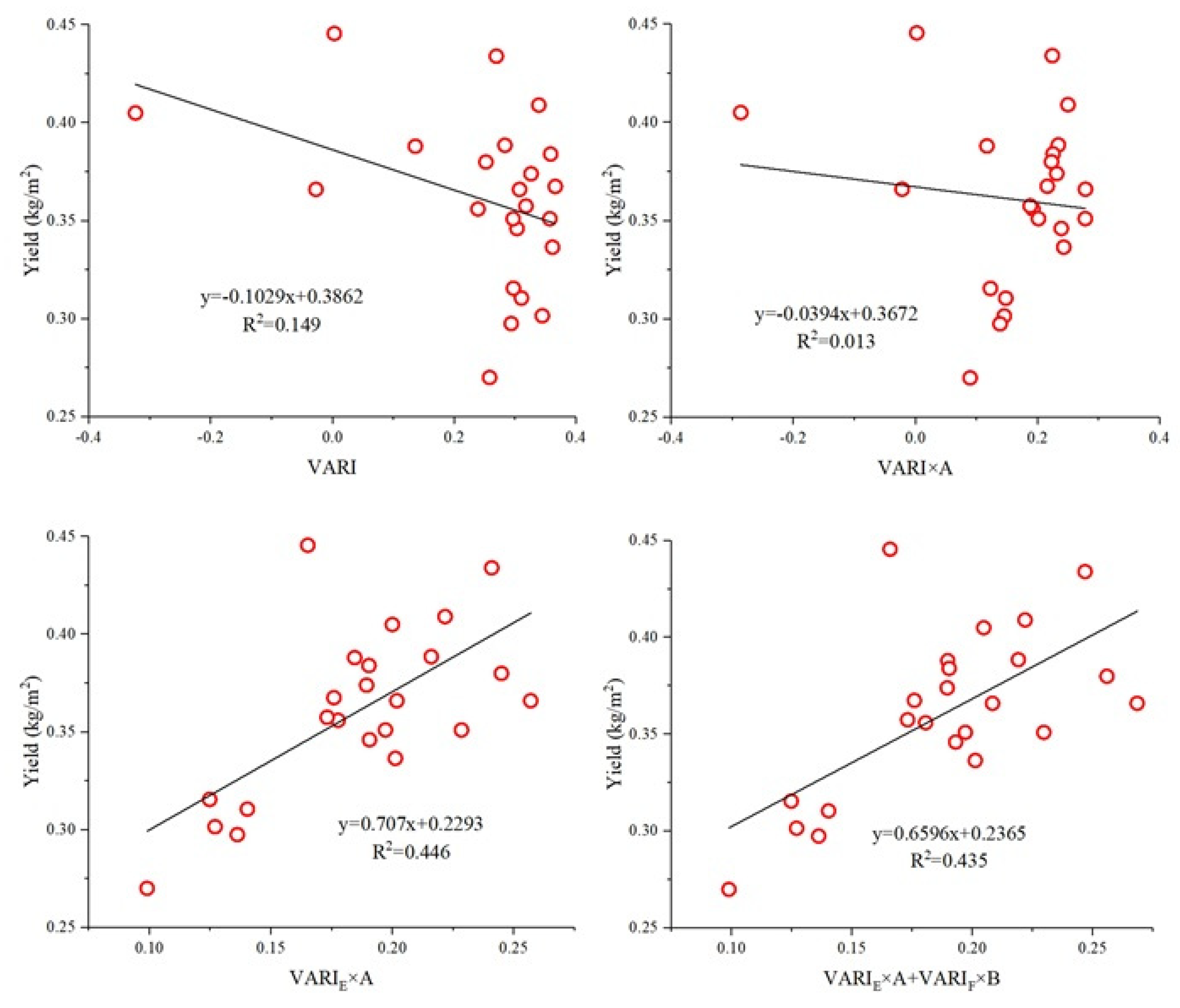
3.2. Relationship between Foreground Abundance Data and Rice Yield
3.3. Spectral Mixture Analysis in Rice Field
3.4. Rice Yield Estimation Using Vegetation Index and Abundance Data
4. Discussion
5. Conclusions
Author Contributions
Funding
Acknowledgments
Conflicts of Interest
References
- Mosleh, M.K.; Hassan, Q.K.; Chowdhury, E.H. Application of Remote Sensors in Mapping Rice Area and Forecasting Its Production: A Review. Sensors 2015, 15, 769–791. [Google Scholar] [CrossRef]
- Zhu, A.-X.; Zhao, F.-H.; Pan, H.-B.; Liu, J.-Z. Mapping Rice Paddy Distribution Using Remote Sensing by Coupling Deep Learning with Phenological Characteristics. Remote Sens. 2021, 13, 1360. [Google Scholar] [CrossRef]
- Setiyono, T.D.; Quicho, E.D.; Holecz, F.H.; Khan, N.I.; Romuga, G.; Maunahan, A.; Garcia, C.; Rala, A.; Raviz, J.; Collivignarelli, F.; et al. Rice yield estimation using synthetic aperture radar (SAR) and the ORYZA crop growth model: Development and application of the system in South and South-east Asian countries. Int. J. Remote Sens. 2019, 40, 8093–8124. [Google Scholar] [CrossRef]
- Reza, N.; Na, I.S.; Baek, S.W.; Lee, K.-H. Rice yield estimation based on K-means clustering with graph-cut segmentation using low-altitude UAV images. Biosyst. Eng. 2019, 177, 109–121. [Google Scholar] [CrossRef]
- Ji, Z.; Pan, Y.; Zhu, X.; Wang, J.; Li, Q. Prediction of Crop Yield Using Phenological Information Extracted from Remote Sensing Vegetation Index. Sensors 2021, 21, 1406. [Google Scholar] [CrossRef] [PubMed]
- Xue, J.; Su, B. Significant Remote Sensing Vegetation Indices: A Review of Developments and Applications. J. Sens. 2017, 2017, 1–17. [Google Scholar] [CrossRef]
- Marino, S.; Alvino, A. Detection of homogeneous wheat areas using multi-temporal UAS images and ground truth data analyzed by cluster analysis. Eur. J. Remote Sens. 2018, 51, 266–275. [Google Scholar] [CrossRef]
- Kogan, F.; Yang, B.; Wei, G.; Zhiyuan, P.; Xianfeng, J. Modelling corn production in China using AVHRR-based vegetation health indices. Int. J. Remote Sens. 2005, 26, 2325–2336. [Google Scholar] [CrossRef]
- Sun, L.; Gao, F.; Anderson, M.C.; Kustas, W.P.; Alsina, M.M.; Sanchez, L.; Sams, B.; McKee, L.; Dulaney, W.; White, W.A.; et al. Daily Mapping of 30 m LAI and NDVI for Grape Yield Prediction in California Vineyards. Remote Sens. 2017, 9, 317. [Google Scholar] [CrossRef]
- Verrelst, J.; Malenovský, Z.; van der Tol, C.; Camps-Valls, G.; Gastellu-Etchegorry, J.-P.; Lewis, P.; North, P.; Moreno, J. Quantifying Vegetation Biophysical Variables from Imaging Spectroscopy Data: A Review on Retrieval Methods. Surv. Geophys. 2019, 40, 589–629. [Google Scholar] [CrossRef]
- Parke, M.E.; Hendershott, M.C. M2, S2, K1 models of the global ocean tide on an elastic earth. Mar. Geodesy 1980, 3, 379–408. [Google Scholar] [CrossRef]
- Mehdaoui, R.; Anane, M. Exploitation of the red-edge bands of Sentinel 2 to improve the estimation of durum wheat yield in Grombalia region (Northeastern Tunisia). Int. J. Remote Sens. 2020, 41, 8986–9008. [Google Scholar] [CrossRef]
- Feng, A.; Zhou, J.; Vories, E.D.; Sudduth, K.A.; Zhang, M. Yield estimation in cotton using UAV-based multi-sensor imagery. Biosyst. Eng. 2020, 193, 101–114. [Google Scholar] [CrossRef]
- Zhang, M.; Zhou, J.; Sudduth, K.A.; Kitchen, N.R. Estimation of maize yield and effects of variable-rate nitrogen application using UAV-based RGB imagery. Biosyst. Eng. 2020, 189, 24–35. [Google Scholar] [CrossRef]
- Gong, Y.; Duan, B.; Fang, S.; Zhu, R.; Wu, X.; Ma, Y.; Peng, Y. Remote estimation of rapeseed yield with unmanned aerial vehicle (UAV) imaging and spectral mixture analysis. Plant. Methods 2018, 14, 1–14. [Google Scholar] [CrossRef] [PubMed]
- Swain, K.C.; Thomson, S.J.; Jayasuriya, H.P.W. Adoption of an Unmanned Helicopter for Low-Altitude Remote Sensing to Estimate Yield and Total Biomass of a Rice Crop. Trans. ASABE 2010, 53, 21–27. [Google Scholar] [CrossRef]
- Siyal, A.A.; Dempewolf, J.; Becker-Reshef, I. Rice yield estimation using Landsat ETM + Data. J. Appl. Remote Sens. 2015, 9, 095986. [Google Scholar] [CrossRef]
- Zhou, X.; Zheng, H.; Xu, X.; He, J.; Ge, X.; Yao, X.; Cheng, T.; Zhu, Y.; Cao, W.; Tian, Y. Predicting grain yield in rice using multi-temporal vegetation indices from UAV-based multispectral and digital imagery. ISPRS J. Photogramm. Remote Sens. 2017, 130, 246–255. [Google Scholar] [CrossRef]
- Marino, S.; Alvino, A. Vegetation Indices Data Clustering for Dynamic Monitoring and Classification of Wheat Yield Crop Traits. Remote Sens. 2021, 13, 541. [Google Scholar] [CrossRef]
- Keshava, N.; Mustard, J.F. Spectral unmixing. IEEE Signal. Process. Mag. 2002, 19, 44–57. [Google Scholar] [CrossRef]
- Heylen, R.; Parente, M.; Gader, P. A Review of Nonlinear Hyperspectral Unmixing Methods. IEEE J. Sel. Top. Appl. Earth Obs. Remote Sens. 2014, 7, 1844–1868. [Google Scholar] [CrossRef]
- Duan, B.; Fang, S.; Zhu, R.; Wu, X.; Wang, S.; Gong, Y.; Peng, Y. Remote Estimation of Rice Yield With Unmanned Aerial Vehicle (UAV) Data and Spectral Mixture Analysis. Front. Plant. Sci. 2019, 10, 204. [Google Scholar] [CrossRef]
- Dong, J.; Xiao, X. Evolution of regional to global paddy rice mapping methods: A review. ISPRS J. Photogramm. Remote Sens. 2016, 119, 214–227. [Google Scholar] [CrossRef]
- Harrell, D.L.; Tubaña, B.S.; Walker, T.W.; Phillips, S.B. Estimating Rice Grain Yield Potential Using Normalized Difference Vegetation Index. Agron. J. 2011, 103, 1717–1723. [Google Scholar] [CrossRef]
- Sakamoto, T.; Shibayama, M.; Kimura, A.; Takada, E. Assessment of digital camera-derived vegetation indices in quantitative monitoring of seasonal rice growth. ISPRS J. Photogramm. Remote Sens. 2011, 66, 872–882. [Google Scholar] [CrossRef]
- Somers, B.; Asner, G.P.; Tits, L.; Coppin, P. Endmember variability in Spectral Mixture Analysis: A review. Remote Sens. Environ. 2011, 115, 1603–1616. [Google Scholar] [CrossRef]
- Song, S.; Gong, W.; Zhu, B.; Huang, X. Wavelength selection and spectral discrimination for paddy rice, with laboratory measurements of hyperspectral leaf reflectance. ISPRS J. Photogramm. Remote Sens. 2011, 66, 672–682. [Google Scholar] [CrossRef]
- Feng, Z.; Qin, T.; Du, X.; Sheng, F.; Li, C. Effects of irrigation regime and rice variety on greenhouse gas emissions and grain yields from paddy fields in central China. Agric. Water Manag. 2021, 250, 106830. [Google Scholar] [CrossRef]
- Sun, Q.; Jiao, Q.; Qian, X.; Liu, L.; Liu, X.; Dai, H. Improving the Retrieval of Crop Canopy Chlorophyll Content Using Vegetation Index Combinations. Remote Sens. 2021, 13, 470. [Google Scholar] [CrossRef]
- Ray, T.W.; Murray, B.C. Nonlinear spectral mixing in desert vegetation. Remote Sens. Environ. 1996, 55, 59–64. [Google Scholar] [CrossRef]
- Thenkabail, P.S.; Smith, R.B.; De Pauw, E. Hyperspectral Vegetation Indices and Their Relationships with Agricultural Crop Characteristics. Remote Sens. Environ. 2000, 71, 158–182. [Google Scholar] [CrossRef]
- Boardman, J. Automating Spectral Unmixing of AVIRIS Data Using Convex Geometry Concepts. In Proceedings of the 4th Annual JPL Airborne Geoscience Workshop, Arlington, VA, USA, 25–29 October 1993; Volume 1, pp. 11–14. [Google Scholar]
- Winter, M.E. N-FINDR: An algorithm for fast autonomous spectral end-member determination in hyperspectral data. In Proceedings of the Imaging Spectrometry V. International Society for Optics and Photonics, Denver, CO, USA, 18–23 July 1999; Volume 3753, pp. 266–275. [Google Scholar] [CrossRef]
- Nascimento, J.; Bioucas-Dias, J. Vertex component analysis: A fast algorithm to unmix hyperspectral data. IEEE Trans. Geosci. Remote Sens. 2005, 43, 898–910. [Google Scholar] [CrossRef]
- Cheng, X.; Cai, Z.; Li, J.; Wen, M.; Wang, Y.; Zeng, D. A spatial-spectral clustering-based algorithm for endmember extraction and hyperspectral unmixing. Int. J. Remote Sens. 2021, 42, 1948–1972. [Google Scholar] [CrossRef]
- Cho, M.A.; Debba, P.; Mathieu, R.; Naidoo, L.; Van Aardt, J.; Asner, G.P. Improving Discrimination of Savanna Tree Species Through a Multiple-Endmember Spectral Angle Mapper Approach: Canopy-Level Analysis. IEEE Trans. Geosci. Remote Sens. 2010, 48, 4133–4142. [Google Scholar] [CrossRef]
- Murphy, R.J.; Monteiro, S.T.; Schneider, S. Evaluating Classification Techniques for Mapping Vertical Geology Using Field-Based Hyperspectral Sensors. IEEE Trans. Geosci. Remote Sens. 2012, 50, 3066–3080. [Google Scholar] [CrossRef]
- Bioucas-Dias, J.; Plaza, A.; Dobigeon, N.; Parente, M.; Du, Q.; Gader, P.; Chanussot, J. Hyperspectral Unmixing Overview: Geometrical, Statistical, and Sparse Regression-Based Approaches. IEEE J. Sel. Top. Appl. Earth Obs. Remote Sens. 2012, 5, 354–379. [Google Scholar] [CrossRef]
- Zhang, L.; Li, D.; Tong, Q.; Zheng, L. Study of the spectral mixture model of soil and vegetation in PoYang Lake area, China. Int. J. Remote Sens. 1998, 19, 2077–2084. [Google Scholar] [CrossRef]
- Halimi, A.; Altmann, Y.; Dobigeon, N.; Tourneret, J.-Y. Nonlinear Unmixing of Hyperspectral Images Using a Generalized Bilinear Model. IEEE Trans. Geosci. Remote Sens. 2011, 49, 4153–4162. [Google Scholar] [CrossRef]
- Niranjani, K.; Vani, K. Unsupervised Nonlinear Spectral Unmixing of Satellite Images Using the Modified Bilinear Model. J. Indian Soc. Remote Sens. 2018, 47, 573–584. [Google Scholar] [CrossRef]
- Gitelson, A.A.; Viña, A.; Ciganda, V.; Rundquist, D.C.; Arkebauer, T.J. Remote estimation of canopy chlorophyll content in crops. Geophys. Res. Lett. 2005, 32, 93–114. [Google Scholar] [CrossRef]
- Rouse, J.W.; Haas, R.H.; Schell, J.A.; Deering, D.W. Monitoring vegetation system in the great plains with ERTS. In Proceedings of the Third Earth Resources Technology Satellite-1 Symposium, Greenbelt, MD, USA, 1 January 1974; Volume 1, pp. 3010–3017. [Google Scholar]
- Gitelson, A.A.; Kaufman, Y.J.; Merzlyak, M.N. Use of a green channel in remote sensing of global vegetation from EOS-MODIS. Remote Sens. Environ. 1996, 58, 289–298. [Google Scholar] [CrossRef]
- Fitzgerald, G.; Rodriguez, D.; O’Leary, G. Measuring and predicting canopy nitrogen nutrition in wheat using a spectral index—The canopy chlorophyll content index (CCCI). Field Crop. Res. 2010, 116, 318–324. [Google Scholar] [CrossRef]
- Dash, J.; Curran, P.J. The MERIS terrestrial chlorophyll index. Int. J. Remote Sens. 2004, 25, 5403–5413. [Google Scholar] [CrossRef]
- Gitelson, A.A.; Kaufman, Y.J.; Stark, R.; Rundquist, D. Novel algorithms for remote estimation of vegetation fraction. Remote Sens. Environ. 2002, 80, 76–87. [Google Scholar] [CrossRef]
- Gamon, J.; Penuelas, J.; Field, C. A narrow-waveband spectral index that tracks diurnal changes in photosynthetic efficiency. Remote Sens. Environ. 1992, 41, 35–44. [Google Scholar] [CrossRef]
- Gitelson, A.A. Wide Dynamic Range Vegetation Index for Remote Quantification of Biophysical Characteristics of Vegetation. J. Plant. Physiol. 2004, 161, 165–173. [Google Scholar] [CrossRef]
- Steven, M.D. The Sensitivity of the OSAVI Vegetation Index to Observational Parameters. Remote Sens. Environ. 1998, 63, 49–60. [Google Scholar] [CrossRef]
- Liu, H.Q.; Huete, A. A feedback based modification of the NDVI to minimize canopy background and atmospheric noise. IEEE Trans. Geosci. Remote Sens. 1995, 33, 457–465. [Google Scholar] [CrossRef]
- Jiang, Z.; Huete, A.R.; Didan, K.; Miura, T. Development of a two-band enhanced vegetation index without a blue band. Remote Sens. Environ. 2008, 112, 3833–3845. [Google Scholar] [CrossRef]
- Boardman, J.W.; Kruse, F.A.; Green, R.O. Mapping target signatures via partial unmixing of AVIRIS data. In In Proceedings of the Summaries of the Fifth JPL Airborne Earth Science Workshop, Pasadena, CA, USA, 23 January 1995; Volume 1, pp. 23–26. [Google Scholar]
- Li, C.; Liu, Y.; Cheng, J.; Song, R.; Peng, H.; Chen, Q.; Chen, X. Hyperspectral Unmixing with Bandwise Generalized Bilinear Model. Remote Sens. 2018, 10, 1600. [Google Scholar] [CrossRef]
- Iordache, M.-D.; Bioucas-Dias, J.; Plaza, A. Sparse Unmixing of Hyperspectral Data. IEEE Trans. Geosci. Remote Sens. 2011, 49, 2014–2039. [Google Scholar] [CrossRef]
- Fan, H.; Li, C.; Guo, Y.; Kuang, G.; Ma, J. Spatial–Spectral Total Variation Regularized Low-Rank Tensor Decomposition for Hyperspectral Image Denoising. IEEE Trans. Geosci. Remote Sens. 2018, 56, 6196–6213. [Google Scholar] [CrossRef]
- Fielding, A.H.; Bell, J.F. A review of methods for the assessment of prediction errors in conservation presence/absence models. Environ. Conserv. 1997, 24, 38–49. [Google Scholar] [CrossRef]
- Kanke, Y.; Tubaña, B.; Dalen, M.; Harrell, D. Evaluation of red and red-edge reflectance-based vegetation indices for rice biomass and grain yield prediction models in paddy fields. Precis. Agric. 2016, 17, 507–530. [Google Scholar] [CrossRef]
- Darvishsefat, A.A.; Abbasi, M.; Schaepman, M.E. Evaluation of Spectral Reflectance of Seven Iranian Rice Varieties Canopies. J. Agric. Sci. Technol.-Iran. 2011, 13, 1091–1104. [Google Scholar] [CrossRef]
- Theseira, M.A.; Thomas, G.; Sannier, C.A.D. An evaluation of spectral mixture modelling applied to a semi-arid environment. Int. J. Remote Sens. 2002, 23, 687–700. [Google Scholar] [CrossRef]
- Wang, F.; Wang, F.; Zhang, Y.; Hu, J.; Huang, J.; Xie, J. Rice Yield Estimation Using Parcel-Level Relative Spectral Variables From UAV-Based Hyperspectral Imagery. Front. Plant. Sci. 2019, 10, 453. [Google Scholar] [CrossRef]
- Zhang, J.; Han, C.; Li, D. New Vegetation Index Monitoring Rice Chlorophyll Concentration Using Leaf Transmittance Spectra. Sens. Lett. 2010, 8, 16–21. [Google Scholar] [CrossRef]
- Heinz, D.; Chang, C.-I. Fully constrained least squares linear spectral mixture analysis method for material quantification in hyperspectral imagery. IEEE Trans. Geosci. Remote Sens. 2001, 39, 529–545. [Google Scholar] [CrossRef]
- Chen, X.; Vierling, L. Spectral mixture analyses of hyperspectral data acquired using a tethered balloon. Remote Sens. Environ. 2006, 103, 338–350. [Google Scholar] [CrossRef]
- Penuelas, J.; Filella, I. Visible and near-infrared reflectance techniques for diagnosing plant physiological status. Trends Plant Sci. 1998, 3, 151–156. [Google Scholar] [CrossRef]
- Venancio, L.P.; Mantovani, E.C.; Amaral, C.H.D.; Neale, C.M.U.; Gonçalves, I.Z.; Filgueiras, R.; Eugenio, F.C. Potential of using spectral vegetation indices for corn green biomass estimation based on their relationship with the photosynthetic vegetation sub-pixel fraction. Agric. Water Manag. 2020, 236, 106155. [Google Scholar] [CrossRef]
- Kawamura, K.; Ikeura, H.; Phongchanmaixay, S.; Khanthavong, P. Canopy Hyperspectral Sensing of Paddy Fields at the Booting Stage and PLS Regression can Assess Grain Yield. Remote Sens. 2018, 10, 1249. [Google Scholar] [CrossRef]













| Vegetation Indices | Formula | Reference |
|---|---|---|
| Red-edge Chlorophyll Index (CIrededge) | ρ800/ρ720 − 1 | [42] |
| Green Chlorophyll Index (CIgreen) | ρ800/ρ550 − 1 | [42] |
| Normalized Difference Vegetation Index (NDVI) | (ρ800 − ρ670)/(ρ800 + ρ670) | [43] |
| Green Normalized Difference Vegetation Index (GNDVI) | (ρ800 − ρ550)/(ρ800 + ρ550) | [44] |
| Normalized Difference Red Edge Vegetation Index (NDRE) | (ρ800 − ρ720)/(ρ800 + ρ720) | [45] |
| MERIS Terrestrial Chlorophyll Index (MTCI) | (ρ800 − ρ720)/(ρ720 − ρ670) | [46] |
| Visible Atmospherically Resistant Index (VARI) | (ρ550 − ρ670)/(ρ550 + ρ670) | [47] |
| Photochemical Reflectance Index (PRI) | (ρ520 − ρ570)/(ρ520 + ρ570) | [48] |
| Wide Dynamic Range Vegetation Index (WDRVI) | (α × ρ800 − ρ670)/(α × ρ800 + ρ670) α = 0.2 | [49] |
| Optimized Soil Adjusted Vegetation Index (OSAVI) | (1 + 0.16) (ρ800 − ρ720)/(ρ800 + ρ720 + 0.16) | [50] |
| Enhanced Vegetation Index (EVI) | 2.5(ρ800 − ρ670)/(ρ800 + 6ρ670 − 7.5ρ490 + 1) | [51] |
| Two-band Enhanced Vegetation Index (EVI2) | 2.5(ρ800 − ρ670)/(ρ800 + 2.4ρ670 + 1) | [52] |
| Growth Stage | Study Area 1 (Lingshui) | Study Area 2 (Wuxue) | ||
|---|---|---|---|---|
| Booting Stage | Heading Stage | Booting Stage | Heading Stage | |
| CIrededge | 0.404 | 0.296 | 0.747 | 0.654 |
| CIgreen | 0.515 | 0.308 | 0.700 | 0.473 |
| NDVI | 0.486 | 0.336 | 0.741 | 0.661 |
| GNDVI | 0.527 | 0.326 | 0.746 | 0.645 |
| NDRE | 0.401 | 0.288 | 0.745 | 0.684 |
| MTCI | 0.404 | 0.288 | 0.747 | 0.663 |
| VARI | 0.482 | 0.299 | 0.497 | −0.385 |
| PRI | −0.275 | −0.263 | - | - |
| WDRVI | 0.486 | 0.327 | 0.737 | 0.648 |
| OSAVI | 0.469 | 0.259 | 0.734 | 0.710 |
| EVI | 0.258 | −0.019 | 0.651 | 0.587 |
| EVI2 | 0.349 | 0.016 | 0.660 | 0.631 |
| Number of Foreground Endmember | Study Area 1 (Lingshui) | Study Area 2 (Wuxue) | ||
|---|---|---|---|---|
| Pearson Correlation Coefficients | RMSE (kg/m2) | Pearson Correlation Coefficients | RMSE (kg/m2) | |
| One | −0.098 | 0.0107 | 0.691 | 0.0288 |
| Two | 0.208 | 0.0093 | 0.759 | 0.0276 |
| Three | 0.171 | 0.0091 | 0.756 | 0.0280 |
| Four | 0.191 | 0.0090 | 0.760 | 0.0271 |
| Five | 0.474 | 0.0087 | 0.752 | 0.0280 |
| Six | 0.179 | 0.0088 | - | - |
| Study Area 1 (Lingshui) | Study Area 2 (Wuxue) | |||||||
|---|---|---|---|---|---|---|---|---|
| VI | VI × A | VIE × A | VIE × A + VIF × B | VI | VI × A | VIE × A | VIE × A + VIF × B | |
| CIrededge | 0.296 | 0.346 | 0.490 | 0.540 | 0.654 | 0.670 | 0.755 | 0.696 |
| CIgreen | 0.308 | 0.345 | 0.437 | 0.501 | 0.473 | 0.497 | 0.632 | 0.532 |
| NDVI | 0.336 | 0.453 | 0.485 | 0.532 | 0.661 | 0.742 | 0.760 | 0.748 |
| GNDVI | 0.326 | 0.442 | 0.503 | 0.547 | 0.645 | 0.734 | 0.759 | 0.746 |
| NDRE | 0.288 | 0.383 | 0.516 | 0.558 | 0.684 | 0.712 | 0.759 | 0.743 |
| MTCI | 0.288 | 0.349 | 0.501 | 0.547 | 0.663 | 0.681 | 0.759 | 0.710 |
| VARI | 0.299 | 0.356 | 0.500 | 0.530 | −0.385 | −0.114 | 0.668 | 0.660 |
| PRI | −0.263 | −0.317 | −0.406 | −0.438 | - | - | - | - |
| WDRVI | 0.327 | 0.393 | 0.508 | 0.546 | 0.648 | 0.684 | 0.758 | 0.743 |
| OSAVI | 0.259 | 0.363 | 0.499 | 0.548 | 0.710 | 0.719 | 0.759 | 0.749 |
| EVI | −0.019 | 0.248 | 0.290 | 0.339 | 0.587 | 0.735 | 0.741 | 0.740 |
| EVI2 | 0.016 | 0.272 | 0.318 | 0.367 | 0.631 | 0.737 | 0.723 | 0.725 |
| Study Area 1 (Lingshui) | Study Area 2 (Wuxue) | |||
|---|---|---|---|---|
| VI | VI × A | VI | VI × A | |
| CIrededge | 0.296 | 0.252 | 0.654 | 0.677 |
| CIgreen | 0.308 | 0.284 | 0.473 | 0.504 |
| NDVI | 0.336 | 0.069 | 0.661 | 0.612 |
| GNDVI | 0.326 | 0.150 | 0.645 | 0.737 |
| NDRE | 0.288 | 0.196 | 0.684 | 0.714 |
| MTCI | 0.288 | 0.239 | 0.663 | 0.689 |
| VARI | 0.299 | 0.254 | −0.385 | −0.298 |
| PRI | −0.263 | −0.262 | - | - |
| WDRVI | 0.327 | 0.224 | 0.648 | 0.668 |
| OSAVI | 0.259 | 0.154 | 0.710 | 0.712 |
| EVI | −0.019 | −0.037 | 0.587 | 0.538 |
| EVI2 | 0.016 | −0.020 | 0.631 | 0.568 |
Publisher’s Note: MDPI stays neutral with regard to jurisdictional claims in published maps and institutional affiliations. |
© 2021 by the authors. Licensee MDPI, Basel, Switzerland. This article is an open access article distributed under the terms and conditions of the Creative Commons Attribution (CC BY) license (https://creativecommons.org/licenses/by/4.0/).
Share and Cite
Yuan, N.; Gong, Y.; Fang, S.; Liu, Y.; Duan, B.; Yang, K.; Wu, X.; Zhu, R. UAV Remote Sensing Estimation of Rice Yield Based on Adaptive Spectral Endmembers and Bilinear Mixing Model. Remote Sens. 2021, 13, 2190. https://doi.org/10.3390/rs13112190
Yuan N, Gong Y, Fang S, Liu Y, Duan B, Yang K, Wu X, Zhu R. UAV Remote Sensing Estimation of Rice Yield Based on Adaptive Spectral Endmembers and Bilinear Mixing Model. Remote Sensing. 2021; 13(11):2190. https://doi.org/10.3390/rs13112190
Chicago/Turabian StyleYuan, Ningge, Yan Gong, Shenghui Fang, Yating Liu, Bo Duan, Kaili Yang, Xianting Wu, and Renshan Zhu. 2021. "UAV Remote Sensing Estimation of Rice Yield Based on Adaptive Spectral Endmembers and Bilinear Mixing Model" Remote Sensing 13, no. 11: 2190. https://doi.org/10.3390/rs13112190
APA StyleYuan, N., Gong, Y., Fang, S., Liu, Y., Duan, B., Yang, K., Wu, X., & Zhu, R. (2021). UAV Remote Sensing Estimation of Rice Yield Based on Adaptive Spectral Endmembers and Bilinear Mixing Model. Remote Sensing, 13(11), 2190. https://doi.org/10.3390/rs13112190

