Evaluation of the Effective Microstructure Parameter of the Microwave Emission Model of Layered Snowpack for Multiple-Layer Snow
Abstract
1. Introduction
2. Materials and Methods
2.1. Data
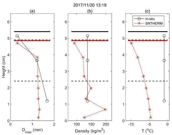
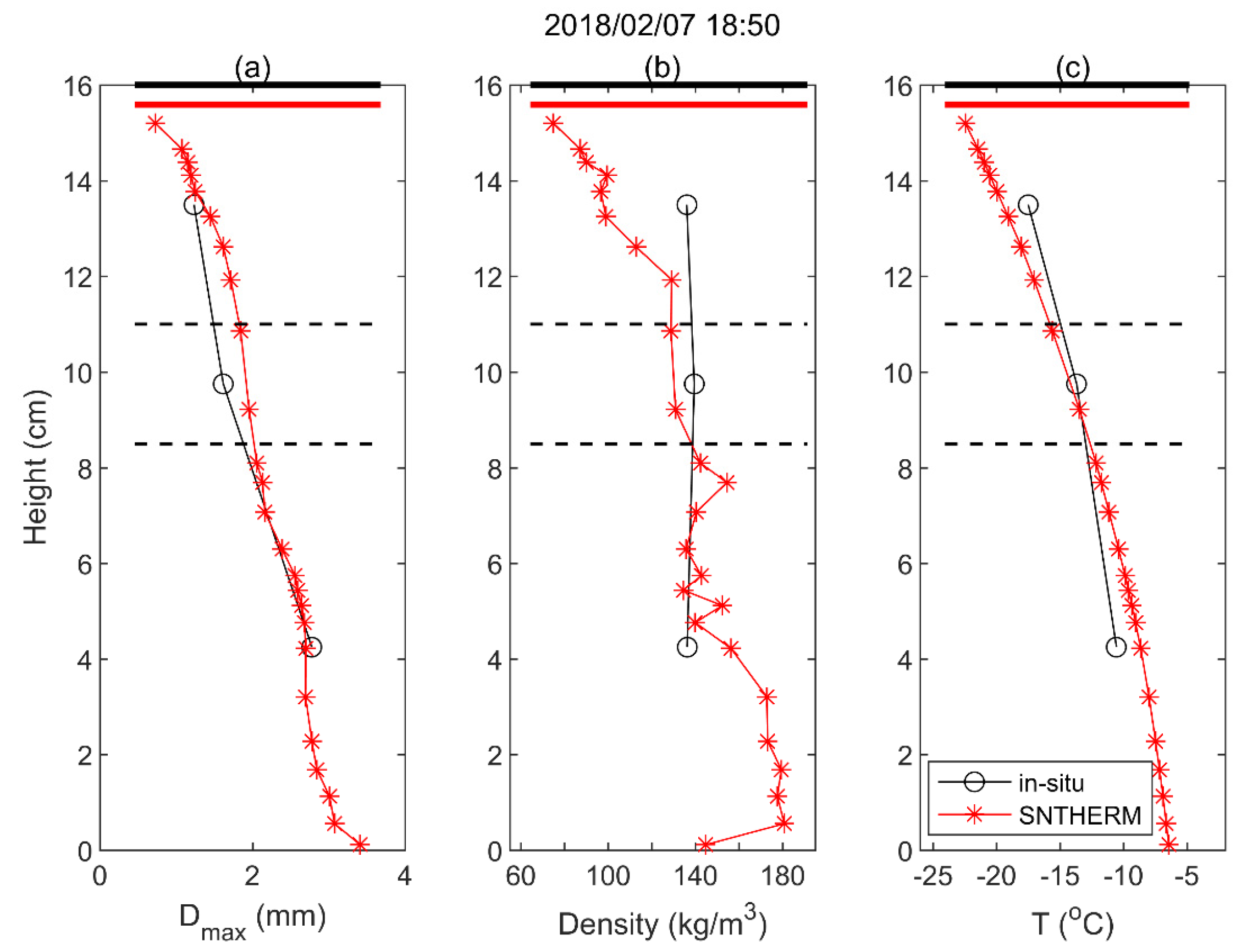
2.1.1. SNTHERM Simulated and Validated Multiple-layer Snow Dataset from the Altay Winter Experiment
2.1.2. Global SNTHERM Simulated Multiple-Layer Snow Dataset
2.2. Methods
2.2.1. Snow Brightness Temperature Simulation Models
2.2.2. Methods to Calculate the Effective pex and Snow Bulk TB
- (1)
- Option 1: Use the mass-weighted average pex of the multiple layers (pex,avg) as the effective pex to calculate the snow scattering coefficient and use the mass-weighted average density (ρavg) to calculate Sas and Sss. See Equations (4)–(6). This is the simplest and most mass conservative method without consideration of any nonlinearity in snow radiative transfer theory.where n is the total number of snow layers, and,
- (2)
- Option 2: Use the product of one-way transmissivity of all layers as the effective one-way transmissivity (t0eff) and retrieve pex,eff according to t0eff using a look-up table generated using MEMLS-IBA (see Equations (7)–(10)). Use ρavg to calculate Sas and Sss.whereHere, is the effective damping coefficient. MIBA represents the look-up table generated by MEMLS-IBA.
- (3)
- Option 3: Calculate pex,eff using the same method in Option 2, but use the density of the topmost and bottommost snow layer to calculate Sas and Sss.
- (4)
- Option 4: Use pex,avg to calculate the snow scattering coefficient. Use the density of the topmost and bottommost snow layer to calculate Sas and Sss.
2.2.3. Fitted Effective pex to Match the multiple-layer Brightness Temperature
2.2.4. Effective pex with the Consideration of Penetration Depth
3. Results
3.1. Comparison of Four Bulk TB Calculation Methods
3.1.1. Results Based on the Altay Snow Samples
3.1.2. Results Based on the Global Snow Process Model Simulation Samples
3.2. Sensitivity Analysis of Bulk TB Error
3.2.1. Sensitivity of TB Error to Incident Angle
3.2.2. Sensitivity of TB Error to Average pex
3.2.3. Sensitivity of TB Error to Snow Depth
3.3. Improvement of Bulk TB at High Frequencies Using the Penetration Depth
3.4. Application of the Optimal Method
3.4.1. Application to In-Situ Snow Profile and Ground-Based Radiometer Measurements
3.4.2. Comparison to Satellite TB and the Problems
4. Discussion
5. Conclusions
Author Contributions
Funding
Institutional Review Board Statement
Informed Consent Statement
Data Availability Statement
Acknowledgments
Conflicts of Interest
References
- Joshua, K.; Chris, D.; Peter, T.; Alexandre, L.; Chris, L.; Juha, L.; Phil, M.; Benoit, M.; Alexandre, R.; Nick, R.; et al. The influence of snow microstructure on dual-frequency radar measurements in a tundra environment. Remote Sens. Environ. 2018, 215, 242–254. [Google Scholar]
- Domine, F.; Albert, M.; Huthwelker, T.; Jacobi, H.W.; Kokhanovsky, A.A.; Lehning, M.; Picard, G.; Simpson, W.R. Snow physics asrelevant to snow photochemistry. Atmos. Chemistryand Phys. 2008, 8, 171–208. [Google Scholar] [CrossRef]
- Dozier, J.; Painter, T.H. Multispectral and hyperspectral remote sensing of alpine snow properties. Ann. Rev. Earth Planet. Sci. 2004, 32, 465–494. [Google Scholar] [CrossRef]
- Grenfell, T.C.; Warren, S.G. Representation of a nonsperical ice particle by a collection of independent spheres for scattering and absorption of radiation. J. Geophys. Res. 1999, 104, 31697–31709. [Google Scholar] [CrossRef]
- Chang, T.C.; Gloersen, P.; Schmugge, T.; Wilheit, T.T.; Zwally, H.J. Microwave emission from snow and glacier ice. J. Glaciol. 1976, 16, 23–39. [Google Scholar] [CrossRef]
- Nolin, A.W.; Dozier, J. A hyperspectral method for remotely sensing the grain size of snow. Remote Sens. Environ. 2000, 74, 207–216. [Google Scholar] [CrossRef]
- Mätzler, C. A simple snow pack/cloud reflectance and teansmittance model from microwave to ultraviolet: The ice-lamella pack. J. Glaciol. 2000, 46, 20–24. [Google Scholar] [CrossRef]
- Mätzler, C. Relation between Grain-Size and Correlation Length of Snow. J. Glaciol. 2002, 48, 461–466. [Google Scholar] [CrossRef]
- Negi, H.S.; Kokhanovsky, A. Retrieval of snow albedo and grain size using reflectance measurements in Himalayan basin. Cryosphere 2011, 5, 203–217. [Google Scholar] [CrossRef]
- Wang, J.G.; Feng, X.Z.; Xiao, P.F.; Ye, N.; Zhang, X.L.; Cheng, Y.Y. Snow grain-size estimation over mountainous areas from MODIS imagery. IEEE Geosci. Remote Sens. Lett. 2017, 15, 1–5. [Google Scholar] [CrossRef]
- Donahue, C.; Skiles, S.M.; Hammonds, K. In situ effective snow grain size mapping using a compact hyperspectral imager. J. Glaciol. 2021, 67, 49–57. [Google Scholar] [CrossRef]
- Kongoli, C.; Boukabara, S.A.; Weng, F. The retrievals of effective grain size and snow water equivalent from variationally-retrieved microwave surface emissivities. In Proceedings of the 2008 Microwave Radiometry and Remote Sensing of the Environment, Florence, Italy, 25 July 2008. [Google Scholar]
- Lemmetyinen, J.; Derksen, C.; Toose, P.; Proksch, M.; Pulliainen, J.; Kontu, A.; Rautiainen, K.; Seppänen, J.; Hallikainen, M. Simulating seasonally and spatially varying snow cover brightness temperature using HUT snow emission model and retrieval of a microwave effective grain size. Remote Sens. Environ. 2015, 156, 71–95. [Google Scholar] [CrossRef]
- Lemmetyinen, J.; Derksen, C.; Rott, H.; Macelloni, G.; King, J.; Schneebeli, M.; Wiesmann, A.; Leppänen, L.; Kontu, A.; Pulliainen, J. Retrieval of effective correlation length and snow water equivalent from radar and passive microwave measurements. Remote Sens. 2018, 10, 170. [Google Scholar] [CrossRef]
- Wiesmann, A.; Mätzler, C.; Weise, T. Radiometric and structural measurements of snow samples. Radio Sci. 1998, 33, 273–289. [Google Scholar] [CrossRef]
- Hallikainen, M.T.; Ulaby, F.T.; Van Deventer, T.E. Extinction behavior of dry snow in the 18-to 90-GHz Range. IEEE Trans. Geosci. Remote Sens. 1987, 25, 737–745. [Google Scholar] [CrossRef]
- Surdyk, S. Using microwave brightness temperature to detect short-term surface air temperature changes in Antarctica: An analytical approach. Remote Sens. Environ. 2002, 80, 256–271. [Google Scholar] [CrossRef]
- Durand, M.; Kim, E.J.; Margulis, S.A. Quantifying uncertainty in modeling snow microwave radiance for a mountain snowpack at the point-scale, including stratigraphic effects. IEEE Trans. Geosci. Remote Sens. 2008, 46, 1753–1767. [Google Scholar] [CrossRef]
- Pan, J.M.; Durand, M.; Sandells, M.; Lemmetyinen, J.; Kim, E.J.; Pulliainen, J.; Kontu, A.; Derksen, C. Differences between the HUT snow emission model and MEMLS and their effects on brightness temperature simulation. IEEE Trans. Geosci. Remote Sens. 2016, 54, 2001–2019. [Google Scholar] [CrossRef]
- Brucker, L.; Picard, G.; Arnaud, L.; Barnola, J.-M.; Schneebeli, M.; Brunjail, H.; Lefebvre, E.; Fily, M. Modeling time series of microwave brightness temperature at Dome C, Antarctica, using vertically resolved snow temperature and microstructure measurements. J. Glaciol. 2011, 57, 171–182. [Google Scholar] [CrossRef]
- Du, J.Y.; Shi, J.C.; Rott, H. Comparison between a Multi-scattering and Multi-layer Snow Scattering Model and its Parameterized Snow Backscattering Model. Remote Sens. Environ. 2010, 114, 1089–1098. [Google Scholar] [CrossRef]
- Takala, M.; Luojus, K.; Pulliainen, J.; Derksen, C.; Lemmetyinen, J.; Kärnä, J.P.; Koskinen, J.; Bojkov, B. Estimating northern hemisphere snow water equivalent for climate research through assimilation of space-borne radiometer data and ground-based measurements. Remote Sens. Environ. 2011, 115, 3517–3529. [Google Scholar] [CrossRef]
- Tedesco, M.; Jeyaratnam, J. A new operational snow retrieval algorithm applied to historical AMSR-E brightness temperatures. Remote Sens. 2016, 8, 1037. [Google Scholar] [CrossRef]
- Mätzler, C.; Wiesmann, A. Microwave emission model of layered snowpack. Remote Sens. Environ. 1999, 70, 307–316. [Google Scholar] [CrossRef]
- Mätzler, C.; Wiesmann, A. Extension of the Microwave Emission Model of Layered Snowpack to Coarse-Grained Snow. Remote Sens. Environ. 1999, 70, 317–325. [Google Scholar] [CrossRef]
- Tsang, L.; Pan, J.; Liang, D.; Li, Z.; Cline, D.W.; Tan, Y. Modeling active microwave remote sensing of snow using dense media radiative transfer (DMRT) theory with multiple-scattering effects. IEEE Trans. Geosci. Remote Sens. 2007, 45, 990–1004. [Google Scholar] [CrossRef]
- Picard, G.; Brucker, L.; Roy, A.; Dupont, F.; Fily, M.; Royer, A.; Harlow, C. Simulation of the microwave emission of multi-layered snowpacks using the Dense Media Radiative transfer theory: The DMRT-ML model. Geosci. Model. Dev. 2013, 6, 1061–1078. [Google Scholar] [CrossRef]
- Löwe, H.; Picard, G. Microwave scattering coefficient of snow in MEMLS and DMRT-ML revisited: The relevance of sticky hard spheres and tomography-based estimates of stickiness. Cryosphere 2015, 9, 2101–2117. [Google Scholar] [CrossRef]
- Pan, J.; Durand, M.T.; Courville, Z.; Vander Jagt, B.J.; Molotch, N.P.; Margulis, S.A.; Kim, E.J.; Schneebeli, M.; Mätzler, C. Evaluation of stereology for snow microstructure measurement and microwave emission modeling: A case study. Int. J. Digit. Earth 2021, 1–21. [Google Scholar] [CrossRef]
- Huang, C.; Margulis, S.A.; Durand, M.T.; Musselman, K.N. Assessment of snow grain-size model and stratigraphy representation impacts on snow radiance assimilation: Forward modeling evaluation. IEEE Trans. Geosci. Remote Sens. 2012, 50, 4551–4564. [Google Scholar] [CrossRef]
- Royer, A.; Roy, A.; Montpetit, B.; Saint-Jean-Rondeau, O.; Picard, G.; Brucker, L.; Langlois, A. Comparison of commonly-used microwave radiative transfer models for snow remote sensing. Remote Sens. Environ. 2017, 190, 247–259. [Google Scholar] [CrossRef]
- Chen, T.; Pan, J.M.; Chang, S.L.; Xiong, C.; Shi, J.C.; Liu, M.Y.; Che, T.; Wang, L.F.; Liu, H.R. Validation of the SNTHERM Model Applied for Snow Depth, Grain Size, and Brightness Temperature Simulation at Meteorological Stations in China. Remote Sens. 2020, 12, 507. [Google Scholar] [CrossRef]
- Jordan, R.E. A One-Dimensional Temperature Model for a Snow Cover: Technical Documentation for SNTHERM.89; U.S. Army Cold Regions Research and Engineering Laboratory: Hanover, NH, USA, 1991. [Google Scholar]
- Beaudoing, H.; Rodell, M. GLDAS Noah Land Surface Model L4 3 hourly 0.25 × 0.25 degree V2.1 Distributed by Goddard Earth Sciences Data and Information Services Center (GES DISC). 2020. Available online: https://data.amerigeoss.org/lv/dataset/gldas-noah-land-surface-model-l4-3-hourly-0-25-x-0-25-degree-v2-1-gldas-noah025-3h-at-ges (accessed on 9 April 2021).
- Montpetit, B.; Royer, A.; Wigneron, J.P.; Chanzy, A.; Mialon, A. Evaluation of multi-frequency bare soil microwave reflectivity models. Remote Sens. Environ. 2015, 162, 186–195. [Google Scholar] [CrossRef]
- Zhang, L.X.; Shi, J.C.; Zhang, Z.J.; Zhao, K.G. The estimation of dielectric constant of frozen soil-water mixture at microwave bands. IGARSS 2003. IEEE Int. Geosci. Remote Sens. Symp. Proc. 2003, 4, 2903–2905. [Google Scholar] [CrossRef]
- Durand, M.; Margulis, S.A. Correcting first-order errors in snow water equivalent estimates using a multifrequency, multiscale radiometric data assimilation scheme. J. Geophys. Res. Atmos. 2007, 112, 1–16. [Google Scholar] [CrossRef]
- Jiang, L.; Shi, J.; Tjuatja, S.; Dozier, J.; Chen, K.; Zhang, L. A parameterized multiple-scattering model for microwave emission from dry snow. Remote Sens. Environ. 2007, 111, 357–366. [Google Scholar] [CrossRef]
- Tedesco, M.; Kim, E.J. Intercomparison of electromagnetic models for passive microwave remote sensing of snow. IEEE Trans. Geosci. Remote Sens. 2006, 44, 2654–2666. [Google Scholar] [CrossRef]
- Japan Aerospace Exploration Agency. GCOM-W1 AMSR2 L3 Global 0.25 degree Gridded Brightness Temperature. Distributed by JAXA Global Portal (G-Portal) System. Available online: https://gportal.jaxa.jp/gpr/information/product (accessed on 9 April 2021).
- Menne, M.J.; Durre, I.; Vose, R.S.; Gleason, B.E.; Houston, T.G. An overview of the global historical climatology network-daily database. J. Atmos. Ocean. Technol. 2012, 29, 897–910. [Google Scholar] [CrossRef]
- Menne, M.J.; Durre, I.; Korzeniewski, B.; McNeal, S.; Thomas, K.; Yin, X.; Anthony, S.; Ray, R.; Vose, R.S.; Gleason, B.E.; et al. Global Historical Climatology Network—Daily (GHCN-Daily), Version 3. 2012. Available online: https://www.ncei.noaa.gov/access/metadata/landing-page/bin/iso?id=gov.noaa.ncdc (accessed on 9 April 2021).
- DiMiceli, C.; Carroll, M.; Sohlberg, R.; Kim, D.; Kelly, M.; Townshend, J. MOD44B MODIS/Terra Vegetation Continuous Fields Yearly L3 Global 250m SIN Grid V006. 2015. Available online: https://ladsweb.modaps.eosdis.nasa.gov/missions-and-measurements/products/MOD44B/ (accessed on 9 April 2021).
- Proksch, M.; Mätzler, C.; Wiesmann, A.; Lemmetyinen, J.; Schwank, M.; Löwe, H.; Schneebeli, M. MEMLS3&a: Microwave emission model of layered snowpacks adapted to include backscattering. Geosci. Model. Dev. 2015, 8, 2611–2626. [Google Scholar] [CrossRef]


















| Statistics | Depth (cm) | Layers | Average Density (kg/m3) | Average Geometric Grain Size (mm) | Average Exponential Correlation Length (mm) |
|---|---|---|---|---|---|
| Mean | 11.9 | 17 | 131.54 | 1.83 | 0.29 |
| Standard deviation | 6.4 | 10 | 12.94 | 0.42 | 0.04 |
| Maximum | 28.0 | 35 | 161.64 | 2.54 | 0.34 |
| Minimum | 2.5 | 2 | 93.63 | 0.25 | 0.05 |
| Statistic | Depth (cm) | Layers | Average Density (kg/m3) | Average Geometric Grain Size (mm) | Average Exponential Correlation Length (mm) |
|---|---|---|---|---|---|
| Mean | 81.8 | 10 | 220.13 | 1.351 | 0.248 |
| Standard deviation | 34.1 | 0 | 32.92 | 0.334 | 0.035 |
| Maximum | 134.7 | 10 | 563.70 | 2.605 | 0.344 |
| Minimum | 4.1 | 10 | 102.32 | 0.796 | 0.183 |
| Frequency (GHz) | Polarization | MB(K) | RMSE (K) | R | |||||||||
|---|---|---|---|---|---|---|---|---|---|---|---|---|---|
| Opt1 | Opt2 | Opt3 | Opt4 | Opt1 | Opt2 | Opt3 | Opt4 | Opt1 | Opt2 | Opt3 | Opt4 | ||
| 10.65 | H | −1.96 | −2.20 | 1.51 | 1.51 | 4.11 | 4.26 | 1.31 | 1.31 | 0.332 | 0.335 | 0.984 | 0.985 |
| 18.7 | H | −2.51 | −2.63 | 0.88 | 0.78 | 4.25 | 4.29 | 0.99 | 0.91 | 0.097 | 0.119 | 0.983 | 0.981 |
| 23.8 | H | −2.73 | −2.59 | 0.68 | 0.35 | 4.61 | 4.34 | 1.06 | 1.22 | 0.559 | 0.585 | 0.975 | 0.953 |
| 36.5 | H | −3.85 | −2.23 | 0.18 | −1.63 | 5.40 | 3.50 | 1.39 | 2.77 | 0.973 | 0.983 | 0.996 | 0.992 |
| 89 | H | −6.74 | −6.32 | −5.89 | −6.14 | 8.57 | 8.57 | 8.38 | 8.16 | 0.968 | 0.969 | 0.969 | 0.969 |
| 10.65 | V | −0.24 | −0.30 | 0.11 | 0.10 | 0.28 | 0.29 | 0.09 | 0.08 | 0.981 | 0.982 | 0.999 | 0.999 |
| 18.7 | V | −0.07 | 0.01 | 0.36 | 0.22 | 0.43 | 0.28 | 0.48 | 0.48 | 0.981 | 0.996 | 0.995 | 0.981 |
| 23.8 | V | −0.12 | 0.26 | 0.57 | 0.14 | 1.11 | 0.75 | 0.95 | 1.13 | 0.979 | 0.994 | 0.993 | 0.978 |
| 36.5 | V | −0.87 | 1.23 | 1.43 | −0.72 | 2.18 | 2.10 | 2.06 | 2.10 | 0.995 | 0.998 | 0.997 | 0.995 |
| 89 | V | −5.41 | −4.88 | −4.86 | −5.39 | 7.91 | 8.38 | 8.37 | 7.90 | 0.970 | 0.968 | 0.968 | 0.970 |
| Frequency (GHz) | Polarization | MB(K) | RMSE(K) | R | |||||||||
|---|---|---|---|---|---|---|---|---|---|---|---|---|---|
| Opt1 | Opt2 | Opt3 | Opt4 | Opt1 | Opt2 | Opt3 | Opt4 | Opt1 | Opt2 | Opt3 | Opt4 | ||
| 10.65 | H | −8.03 | −8.15 | 1.62 | 1.61 | 8.67 | 8.79 | 2.46 | 2.44 | 0.718 | 0.715 | 0.919 | 0.920 |
| 18.7 | H | −6.76 | −6.35 | 1.98 | 1.48 | 7.41 | 6.91 | 2.73 | 2.57 | 0.784 | 0.831 | 0.930 | 0.914 |
| 23.8 | H | −5.91 | −4.71 | 2.08 | 0.81 | 6.69 | 5.29 | 2.92 | 2.65 | 0.894 | 0.934 | 0.955 | 0.927 |
| 36.5 | H | −8.72 | −6.90 | −3.75 | −5.14 | 9.20 | 7.93 | 5.58 | 5.76 | 0.974 | 0.954 | 0.950 | 0.980 |
| 89 | H | −27.95 | −36.87 | −36.50 | −26.29 | 32.09 | 39.97 | 39.64 | 30.61 | 0.698 | 0.709 | 0.704 | 0.688 |
| 10.65 | V | −0.80 | −0.82 | 0.21 | 0.17 | 0.98 | 1.03 | 0.27 | 0.24 | 0.987 | 0.985 | 0.999 | 0.999 |
| 18.7 | V | 0.19 | 0.79 | 1.54 | 0.87 | 1.15 | 1.14 | 1.73 | 1.44 | 0.979 | 0.990 | 0.994 | 0.981 |
| 23.8 | V | 0.36 | 1.84 | 2.38 | 0.81 | 2.08 | 2.36 | 2.80 | 2.24 | 0.974 | 0.987 | 0.988 | 0.973 |
| 36.5 | V | −5.16 | −3.48 | −3.31 | −5.05 | 5.94 | 5.76 | 5.69 | 5.86 | 0.984 | 0.959 | 0.958 | 0.983 |
| 89 | V | −26.71 | −36.96 | −36.95 | −26.69 | 31.14 | 40.21 | 40.20 | 31.12 | 0.686 | 0.690 | 0.690 | 0.686 |
| CR | V pol. | H pol. | ||||
|---|---|---|---|---|---|---|
| MB (K) | RMSE (K) | R | MB (K) | RMSE (K) | R | |
| 0 | −36.95 | 40.20 | 0.690 | −36.50 | 39.64 | 0.704 |
| 1/e4 | −20.42 | 22.08 | 0.930 | −20.14 | 21.72 | 0.933 |
| 1/e2 | −13.32 | 15.36 | 0.927 | −13.13 | 15.08 | 0.929 |
| 1/e | −4.85 | 9.43 | 0.919 | −4.78 | 9.25 | 0.920 |
| 1/e1/2 | 3.38 | 10.23 | 0.898 | 3.28 | 9.97 | 0.901 |
| 1/e1/4 | 8.83 | 15.13 | 0.861 | 8.56 | 14.63 | 0.867 |
| CR | V pol. | H pol. | ||||
|---|---|---|---|---|---|---|
| MB (K) | RMSE (K) | R | MB (K) | RMSE (K) | R | |
| 0 | −3.31 | 5.69 | 0.958 | −3.75 | 5.58 | 0.950 |
| 1/e4 | −3.31 | 5.69 | 0.958 | −3.75 | 5.58 | 0.950 |
| 1/e2 | −3.30 | 5.66 | 0.959 | −3.73 | 5.55 | 0.950 |
| 1/e | 2.35 | 4.12 | 0.970 | 1.55 | 3.79 | 0.954 |
| 1/e1/2 | 14.59 | 16.59 | 0.825 | 12.77 | 14.92 | 0.754 |
| 1/e1/4 | 23.00 | 25.41 | 0.656 | 20.24 | 22.59 | 0.573 |
| Error (K) | RMSE (MB) (Sample Size = 63) | |||
|---|---|---|---|---|
| 18.7 V | 18.7 H | 36.5 V | 36.5 H | |
| TB,Multi-layer − TB,Measured | 2.08(1.22) | 6.91(6.29) | 5.53(−4.01) | 5.84(−4.13) |
| TB,Bulk − TB,Measured | 2.20(1.64) | 7.10(6.51) | 4.74(−3.11) | 6.44(−4.72) |
| TB,Bulk − TB,Multi-layer | 0.63(0.43) | 0.42(0.23) | 1.41(0.90) | 1.16(−0.59) |
Publisher’s Note: MDPI stays neutral with regard to jurisdictional claims in published maps and institutional affiliations. |
© 2021 by the authors. Licensee MDPI, Basel, Switzerland. This article is an open access article distributed under the terms and conditions of the Creative Commons Attribution (CC BY) license (https://creativecommons.org/licenses/by/4.0/).
Share and Cite
Yu, Y.; Pan, J.; Shi, J. Evaluation of the Effective Microstructure Parameter of the Microwave Emission Model of Layered Snowpack for Multiple-Layer Snow. Remote Sens. 2021, 13, 2012. https://doi.org/10.3390/rs13102012
Yu Y, Pan J, Shi J. Evaluation of the Effective Microstructure Parameter of the Microwave Emission Model of Layered Snowpack for Multiple-Layer Snow. Remote Sensing. 2021; 13(10):2012. https://doi.org/10.3390/rs13102012
Chicago/Turabian StyleYu, Yue, Jinmei Pan, and Jiancheng Shi. 2021. "Evaluation of the Effective Microstructure Parameter of the Microwave Emission Model of Layered Snowpack for Multiple-Layer Snow" Remote Sensing 13, no. 10: 2012. https://doi.org/10.3390/rs13102012
APA StyleYu, Y., Pan, J., & Shi, J. (2021). Evaluation of the Effective Microstructure Parameter of the Microwave Emission Model of Layered Snowpack for Multiple-Layer Snow. Remote Sensing, 13(10), 2012. https://doi.org/10.3390/rs13102012

