Novel Semi-Supervised Hyperspectral Image Classification Based on a Superpixel Graph and Discrete Potential Method
Abstract
1. Introduction
- (1)
- A novel, semi-supervised, superpixel-level classification scheme for HSI is proposed based on a discrete potential technique, which is an effective superpixel graph-based method.
- (2)
- It is the first time that the discrete potential technique is adopted to classify HSIs.
- (3)
- The unsupervised Wu–Huberman algorithm is improved to be a semi-supervised method to better detect communities hidden in weighted connectivity graphs.
- (4)
- Unlike existing superpixel-based methods, the proposed classification algorithm works on the whole HSI image, not just the reference data.
2. Methodology
2.1. Superpixel Segmentation
2.2. The Construction of the Weighted Connectivity Graph
- (i)
- For the computation of the distance between two spatially adjacent superpixels, assume that superpixels and are spatially adjacent. Based on B bands’ worth of information of the pixel and the spatial information of superpixel , calculate the Euclidean distance from a pixel to superpixel using the local mean-based pseudo-nearest-neighbor rule (LMPNN) [37,58]. Then, sort them in ascending order, denoted as . The distance from superpixel to superpixel can be defined as:
- (ii)
- For the calculation of weights, calculate the weights between a superpixel and all its spatial neighbors using Equation (4):
- (iii)
- For the construction of the weighted graph, connect each superpixel to its spatial neighbors with the weights:Here, is the closest neighbor of if (1) is one of the neighbors of , and (2) after sorting and in descending order, is located in the first half of the sequence and is also in the first half of the sequence.
2.3. The Discrete Potential and the Improved Semisupervised Wu–Huberman Algorithm
2.4. The Proposed SSC-GDP Method
- Step 1: Call the ERS algorithm to segment the HSI into superpixels.
- Step 2: Construct the weighted connectivity graph using Equations (3)–(5).
- Step 3: for c = 1 to C
- {generate the electric circuit using the c-label.
- Do {update the potential of each unlabeled node in the generated electric circuit through the breadth-first search algorithm of the graph, as well as Equation (7), t = t + 1}
- while t < r}
- Step 4: Assign the label of node according to Equation (8).
3. Results
3.1. Experimental Setup
3.1.1. Data Description
3.1.2. Evaluation Protocol
3.2. Classification Results
3.3. Effect of the Number of Superpixels
3.4. Comparison of Several Competitive Methods
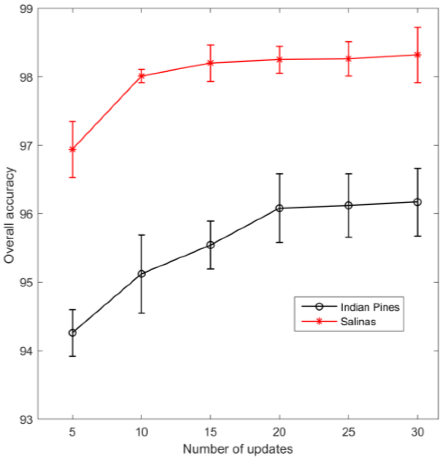
3.5. Impact of the Number of Updates on the Classification Results
3.6. Execution Time
4. Discussion
5. Conclusions
Author Contributions
Funding
Conflicts of Interest
References
- Muller-Karger, F.; Roffer, M.; Walker, N.; Oliver, M. Satellite remote sensing in support of an integrated ocean observing system. IEEE Geosci. Remote Sens. Mag. 2013, 1, 8–18. [Google Scholar] [CrossRef]
- Heldens, W.; Heiden, U.; Esch, T.; Stein, E.; Müller, A. Can the future Enmap mission contribute to urban applications? A literature survey. Remote Sens. 2011, 3, 1817–1846. [Google Scholar] [CrossRef]
- Ryan, J.; Davis, C.; Tufillaro, N.; Kudela, R.; Gao, B. Application of the hyperspectral imager for the coastal ocean to phytoplankton ecology studies in Monterey Bay CA, USA. Remote Sens. 2014, 6, 1007. [Google Scholar] [CrossRef]
- Prasad, S.; Bruce, L. Limitations of principal components analysis for hyperspectral target recognition. IEEE Geosci. Remote Sens. Lett. 2008, 5, 625–629. [Google Scholar] [CrossRef]
- Liu, L.; Li, C.; Lei, Y.; Yin, J.; Zhao, J. Feature extraction for hyperspectral remote sensing image using weighted PCA-ICA. Arab. J. Geosci. 2017, 10, 307. [Google Scholar] [CrossRef]
- Falco, N.; Benediktsson, J.; Bruzzone, L. A study on the effectiveness of different independent component analysis algorithms for hyperspectral image classification. IEEE Trans. Geosci. Remote Sens. 2014, 7, 2183–2199. [Google Scholar] [CrossRef]
- Roweis, S.; Saul, L. Nonlinear dimensionality reduction by locally linear embedding. Science 2000, 290, 2323–2326. [Google Scholar] [CrossRef]
- Wang, Q.; Meng, Z.; Li, X. Locality adaptive discriminant analysis for spectral-spatial classification of hyperspectral images. IEEE Trans. Geosci. Remote Sens. Lett. 2017, 99, 1–5. [Google Scholar] [CrossRef]
- Feng, J.; Jiao, L.; Liu, F.; Sun, T.; Zhang, X.-R. Unsupervised feature selection based on maximum information and minimum redundancy for hyperspectral images. Patt. Recognit. 2016, 51, 295–309. [Google Scholar] [CrossRef]
- Xie, F.; Li, F.; Lei, C.; Yang, J.; Zhang, Y. Unsupervised band selection based on artificial bee colony algorithm for hyperspectral image classification. Appl. Soft Comput. 2019, 75, 428–440. [Google Scholar] [CrossRef]
- Wang, L.; Jia, X.; Zhang, Y. A novel geometry-based feature-selection technique for hyperspectral imagery. IEEE Trans. Geosci. Remote Sens. Lett. 2007, 4, 171–175. [Google Scholar] [CrossRef]
- Xie, F.; Lei, C.; Li, F.; Huang, D.; Yang, J. Unsupervised hyperspectral feature selection based on fuzzy c-means and grey wolf optimizer. Inter. J. Remote Sen. 2019, 40, 3344–3367. [Google Scholar] [CrossRef]
- Li, J.; Khodadadzadeh, M.; Plaza, J.; Jia, X.; Bioucas-Dias, J.M. A discontinuity preserving relaxation scheme for spectral–spatial hyperspectral image classification. IEEE J. Sel. Topics Appl. Earth Observ. Remote Sens. 2017, 9, 625–639. [Google Scholar] [CrossRef]
- Li, J.; Bioucas-Dias, J.; Plaza, A. Semi-supervised hyperspectral image segmentation using multinomial logistic regression with active learning. IEEE Trans. Geosci. Remote Sens. 2010, 48, 4085–4098. [Google Scholar]
- Dundar, T.; Ince, T. Sparse representation-based hyperspectral image classification using multiscale superpixels and guided filter. IEEE Trans. Geosci. Remote Sens. Lett. 2019, 16, 246–250. [Google Scholar] [CrossRef]
- Li, W.; Prasad, S.; Fowler, J.E. Hyperspectral image classification using gaussian mixture models and markov random fields. IEEE Trans. Geosci. Remote Sens. Lett. 2013, 11, 153–157. [Google Scholar] [CrossRef]
- Li, J.; Bioucas-Dias, J.; Plaza, A. Spectral-spatial hyperspectral image segmentation using subspace multinomial logistic regression and Markov random fields. IEEE Trans. Geosci. Remote Sens. 2012, 50, 809–823. [Google Scholar] [CrossRef]
- Melgani, F.; Bruzzone, L. Classification of hyperspectral remote sensing images with support vector machines. IEEE Trans. Geosci. Remote Sens. 2004, 42, 1778–1790. [Google Scholar] [CrossRef]
- Yu, H.; Gao, L.; Li, J.; Li, S.; Zhang, B.; Benediktsson, J. Spectral-spatial hyperspectral image classification using subspace-based support vector machines and adaptive Markov random fields. Remote Sens. 2016, 8, 355. [Google Scholar] [CrossRef]
- Fang, L.; Li, S.; Duan, W.; Ren, J.; Benediktsson, J. Classification of hyperspectral images by exploiting spectral–spatial information of superpixel via multiple kernels. IEEE Trans. Geosci. Remote Sens. 2015, 53, 6663–6674. [Google Scholar] [CrossRef]
- Camps-Valls, G.; Gómez-Chova, L.; Muñoz-Marí, J.; Vila-Frances, J.; Calpe-Maravilla, J. Composite Kernels for Hyperspectral Image Classification. IEEE Trans. Geosci. Remote Sens. Lett. 2006, 3, 93–97. [Google Scholar] [CrossRef]
- Fang, L.; Li, S.; Kang, X.; Benediktsson, J. Spectral-spatial hyperspectral image classification via multiscale adaptive sparse representation. IEEE Trans. Geosci. Remote Sens. 2014, 52, 7738–7749. [Google Scholar] [CrossRef]
- Gao, Q.; Lim, S.; Jia, X. Spectral-spatial hyperspectral image classification using a multiscale conservative smoothing scheme and adaptive sparse representation. IEEE Trans. Geosci. Remote Sens. 2019, 99, 1–13. [Google Scholar] [CrossRef]
- Mei, S.; Hou, J.; Chen, J.; Chau, L.; Du, Q. Simultaneous Spatial and Spectral Low-Rank Representation of Hyperspectral Images for Classification. IEEE Trans. Geosci. Remote Sens. 2018, 56, 2872–2886. [Google Scholar] [CrossRef]
- Zhan, T.; Sun, L.; Xu, Y.; Yang, G.; Zhang, Y.; Wu, Z. Hyperspectral Classification via Superpixel Kernel Learning-Based Low Rank Representation. Remote Sensing 2018, 10, 1639. [Google Scholar] [CrossRef]
- Liu, C.; Li, J.; He, L. Superpixel-Based semi-supervised active learning for hyperspectral image classification. IEEE J. Sel. Topics Appl. Earth Obs. Remote Sens. 2019, 12, 357–370. [Google Scholar]
- Jia, S.; Deng, B.; Zhu, J.; Jia, X.; Li, Q. Local binary pattern-based hyperspectral image classification with superpixel guidance. IEEE Trans. Geosci. Remote Sens. 2018, 56, 749–759. [Google Scholar] [CrossRef]
- Saranathan, A.; Parente, M. Uniformity-based superpixel segmentation of hyperspectral images. IEEE Trans. Geosci. Remote Sens. 2016, 54, 1419–1430. [Google Scholar] [CrossRef]
- Liang, M.; Jiao, L.; Meng, Z. A superpixel-based relational auto-encoder for feature extraction of hyperspectral images. Remote Sens. 2019, 11, 2454. [Google Scholar] [CrossRef]
- Liu, H.; Li, J.; He, L.; Wang, Y. Superpixel-guided layer-wise embedding CNN for remote sensing image classification. Remote Sens. 2019, 11, 174. [Google Scholar] [CrossRef]
- Liu, E.; Tuzel, O.; Ramalingam, S.; Chellappa, R. Entropy rate superpixel segmentation. In Proceedings of the CVPR2011, Providence, RI, USA, 20–25 June 2011; pp. 2097–2104. [Google Scholar] [CrossRef]
- Achanta, R.; Shaji, A.; Smith, K.; Lucchi, A.; Fua, P. SLIC superpixels compared to state-of-the-art superpixel methods. IEEE Trans. Patt. Anal. Mach. Intell. 2012, 34, 2274–2282. [Google Scholar] [CrossRef] [PubMed]
- Bergh, M.; Boix, X.; Roig, G.; Van-Gool, L. SEEDS: Superpixels Extracted Via Energy-Driven Sampling. Int. J. Comput. Vis. 2015, 111, 298–314. [Google Scholar] [CrossRef]
- Vincent, L.; Soille, P. Watersheds in digital spaces: An efficient algorithm based on immersion simulations. IEEE Trans. Patt. Anal. Mach. Intell. 1991, 13, 583–598. [Google Scholar] [CrossRef]
- Lu, T.; Li, S.; Fang, L.; Bruzzone, L.; Benediktsson, J. Set-to-set distance-based spectral–spatial classification of hyperspectral images. IEEE Trans. Geosci. Remote Sens. 2016, 54, 1–13. [Google Scholar] [CrossRef]
- Tu, B.; Wang, J.; Kang, X.; Zhang, G.; Ou, X.; Guo, L. KNN-based representation of superpixels for hyperspectral image classification. IEEE J. Sel. Topics Appl. Earth Obs. Remote Sens. 2018, 11, 4032–4047. [Google Scholar] [CrossRef]
- Xie, F.; Lei, C.; Jin, C.; An, N. A novel spectral–spatial classification method for hyperspectral image at superpixel Level. Appl. Sci. 2020, 10, 463. [Google Scholar] [CrossRef]
- Leng, Q.; Yang, H.; Jiang, J. Label noise cleansing with sparse graph for hyperspectral image classification. Remote Sens. 2019, 11, 1116. [Google Scholar] [CrossRef]
- Shao, Y.; Sang, N.; Gao, C.; Ma, L. Spatial and class structure regularized sparse representation graph for semi-supervised hyperspectral image classification. Pattern Recognit. 2018, 81, 81–94. [Google Scholar] [CrossRef]
- Gao, F.; Wang, Q.; Dong, J.; Xu, Q. Spectral and Spatial Classification of Hyperspectral Images Based on Random Multi-Graphs. Remote Sens. 2018, 10, 1271. [Google Scholar] [CrossRef]
- Cui, B.; Xie, X.; Ma, X.; Ren, G.; Ma, Y. Superpixel-Based Extended Random Walker for Hyperspectral Image Classification. IEEE Trans. Geosci. Remote Sens. 2018, 56, 3233–3243. [Google Scholar] [CrossRef]
- Chen, M.; Wang, Q.; Li, X. Discriminant analysis with graph learning for hyperspectral image classification. Remote Sens. 2018, 10, 836. [Google Scholar] [CrossRef]
- Camps-Valls, G.; Bandos-Marsheva, T.; Zhou, D. Semi-Supervised Graph-Based Hyperspectral Image Classification. IEEE Trans. Geosci. Remote Sens. 2007, 45, 3044–3054. [Google Scholar] [CrossRef]
- Gao, Y.; Ji, R.; Cui, P.; Dai, Q.; Hua, G. Hyperspectral image classification through bilayer graph-based learning. IEEE Trans. Imag. Proc. 2014, 23, 2769–2778. [Google Scholar] [CrossRef] [PubMed]
- Cui, B.; Xie, X.; Hao, S.; Cui, J.; Lu, Y. Semi-supervised classification of hyperspectral images based on extended label propagation and rolling guidance filtering. Remote Sens. 2018, 10, 515. [Google Scholar] [CrossRef]
- Sellars, P.; Aviles-Rivero, A.; Papadakis, N.; Coomes, D.; Faul, A.; Schönlieb, C.B. Semi-Supervised Learning with Graphs: Covariance Based Superpixels for Hyperspectral Image Classification; IGARSS: Yokohama, Japan, 2019; pp. 592–595. [Google Scholar]
- Zhu, X.; Tuia, D.; Mou, L.; Xia, G.S.; Zhang, L.; Xu, F.; Fraundorfer, F. Deep learning in remote sensing: A comprehensive review and list of resources. IEEE Geosci. Remote Sens. Mag. 2017, 5, 8–36. [Google Scholar] [CrossRef]
- Chen, Y.; Lin, Z.; Zhao, X.; Wang, G.; Gu, Y. Deep learning-based classification of hyperspectral data. IEEE J. Sel. Top. Appl. Earth Obs. Remote Sens. 2014, 7, 2094–2107. [Google Scholar] [CrossRef]
- Ding, C.; Li, Y.; Xia, Y.; Wei, W.; Zhang, L.; Zhang, Y. Convolutional neural networks based hyperspectral image classification method with adaptive kernels. Remote Sens. 2017, 9, 618. [Google Scholar] [CrossRef]
- Chen, Y.; Huang, L.; Zhu, L.; Yokoya, N.; Jia, X. Fine-Grained Classification of Hyperspectral Imagery Based on Deep Learning. Remote Sens. 2019, 11, 2690. [Google Scholar] [CrossRef]
- Sellami, A.; Farah, M.; Farah, I.R.; Solaiman, B. Hyperspectral imagery classification based on semi-supervised3-D deep neural network and adaptive band selection. Expert Syst. Appl. 2019, 129, 246–259. [Google Scholar] [CrossRef]
- Girvan, M.; Newman, M. Community structure in social and biological networks. Proc. Natl. Acad. Sci. USA 2002, 99, 7821–7826. [Google Scholar] [CrossRef]
- Fortunato, S. Community detection in graphs. Phys. Rep. 2010, 486, 75–174. [Google Scholar] [CrossRef]
- Li, X.; Wu, X.; Xu, S.; Qing, S.; Chang, P.-C. A novel complex network community detection approach using discrete particle swarm optimization with particle diversity and mutation. Appl. Soft Comput. 2019, 81, 105476. [Google Scholar] [CrossRef]
- Wu, F.; Huberman, B. Finding communities in linear time: A physics approach. Euro. Phys. J. B 2004, 38, 331–338. [Google Scholar] [CrossRef]
- Osaba, E.; Del Ser, J.; Camacho, D.; Bilbao, M.; Yang, X. Community detection in networks using bio-inspired optimization: Latest developments, new results and perspectives with a selection of recent meta-heuristics. Appl. Soft Comput. 2020, 87, 106010. [Google Scholar] [CrossRef]
- Gou, J.; Zhan, Y.; Rao, Y.; Shen, X.; Wang, X.; He, W. Improved pseudo nearest neighbor classification. Knowl. Based Syst. 2014, 70, 361–375. [Google Scholar] [CrossRef]
- Kang, X.; Li, S.; Benediktsson, J. Spectral–spatial hyperspectral image classification with edge-preserving filtering. IEEE Trans. Geosci. Remote Sens. 2014, 52, 2666–2677. [Google Scholar] [CrossRef]
- Kang, X.; Li, S.; Benediktsson, J. Feature extraction of hyperspectral images with image fusion and recursive filtering. IEEE Trans. Geosci. Remote Sens. 2014, 52, 3742–3752. [Google Scholar] [CrossRef]
- Li, J.; Bioucas-Dias, J.; Plaza, A. Exploiting spatial information in semi-supervised hyperspectral image segmentation. In Proceedings of the 2010 2nd Workshop on Hyperspectral Image and Signal Processing: Evolution in Remote Sensing, Reykjavik, Iceland, 14–16 June 2010; pp. 1–4. [Google Scholar]
- Sun, L.; Wu, Z.; Liu, J.; Xiao, L.; Wei, Z. Supervised spectral–spatial hyperspectral image classification with weighted Markov random fields. IEEE Trans. Geosci. Remote Sens. 2015, 53, 1490–1503. [Google Scholar] [CrossRef]
- Jiang, J.; Ma, J.; Chen, C.; Wang, Z.; Cai, Z.; Wang, L. SuperPCA: A Superpixel-wise PCA approach for unsupervised feature extraction of hyperspectral imagery. IEEE Trans. Geosci. Remote Sens. 2018, 56, 4581–4593. [Google Scholar] [CrossRef]
- Xie, F.; Lei, C.; Yang, J.; Jin, C. An effective classification scheme for hyperspectral image based on superpixel and discontinuity preserving relaxation. Remote Sens. 2019, 11, 1149. [Google Scholar] [CrossRef]









| Indian Pines | Salinas | ||||
|---|---|---|---|---|---|
| Class | Name | Pixels | Class | Name | Pixels |
| 1 | Alfalfa | 46 | 1 | Brocoli_green_weeds_1 | 2009 |
| 2 | Corn-notill | 1428 | 2 | Brocoli_green_weeds_2 | 3726 |
| 3 | Corn-mintill | 830 | 3 | Fallow | 1976 |
| 4 | Corn | 237 | 4 | Fallow_rough_plow | 1394 |
| 5 | Grass-pasture | 483 | 5 | Fallow_smooth | 2678 |
| 6 | Grass-trees | 730 | 6 | Stubble | 3959 |
| 7 | Grass-pasture-mowed | 28 | 7 | Celery | 3579 |
| 8 | Hay-windrowed | 478 | 8 | Grapes_untrained | 11,271 |
| 9 | Oats | 20 | 9 | Soil_vinyard_develop | 6203 |
| 10 | Soybean-notill | 972 | 10 | Corn_senesced_green_weeds | 3278 |
| 11 | Soybean-mintill | 2455 | 11 | Lettuce_romaine_4wk | 1068 |
| 12 | Soybean-clean | 593 | 12 | Lettuce_romaine_5wk | 1927 |
| 13 | Wheat | 205 | 13 | Lettuce_romaine_6wk | 916 |
| 14 | Woods | 1265 | 14 | Lettuce_romaine_7wk | 1070 |
| 15 | Buildings-Grass-Trees-Drives | 386 | 15 | Vinyard_untrained | 7268 |
| 16 | Stone-Steel-Towers | 93 | 16 | Vinyard_vertical_trellis | 1807 |
| Class | EPF | IFRF | LORSAL | SMLR-S | SCMK | SuperPCA | SVM-SD | Ours |
|---|---|---|---|---|---|---|---|---|
| 1 | 99.03 ± 1.56 | 99.68 ± 1.02 | 88.39 ± 2.25 | 94.19 ± 1.36 | 96.78 ± 3.4 | 96.77 ± 3.4 | 92.58 ± 2.66 | 100 ± 0 |
| 2 | 45.33 ± 12.9 | 70.32 ± 9.2 | 36.74 ± 0.23 | 51.47 ± 0.2 | 69.23 ± 9.15 | 70.59 ± 13.74 | 64.46 ± 10.01 | 95.84 ± 1.92 |
| 3 | 63.9 ± 6.15 | 79.31 ± 8 | 51.96 ± 0.37 | 66.28 ± 0.29 | 72.77 ± 6.4 | 71.6 ± 13.1 | 80.04 ± 8.26 | 95.62 ± 2.21 |
| 4 | 94.23 ± 7.38 | 86.89 ± 6.85 | 48.33 ± 1.2 | 99.55 ± 0 | 88.69 ± 9.49 | 84.41 ± 11.58 | 78.74 ± 9.71 | 94.9 ± 8.06 |
| 5 | 88.76 ± 4.99 | 83.74 ± 7.02 | 69.59 ± 0.47 | 70.45 ± 0.48 | 87.29 ± 4.91 | 86.32 ± 6.22 | 78.8 ± 10.43 | 99.43 ± 0.99 |
| 6 | 97.02 ± 3.1 | 94.34 ± 2.75 | 86.43 ± 0.22 | 98.21 ± 0.09 | 96.9 ± 3.55 | 75.96 ± 12.33 | 96.77 ± 4.71 | 100 ± 0 |
| 7 | 93.85 ± 3.24 | 100 ± 0 | 96.92 ± 3.97 | 100 ± 0 | 96.16 ± 4.05 | 95.38 ± 3.97 | 100 ± 0 | 100 ± 0 |
| 8 | 98.23 ± 3.06 | 100 ± 0 | 86.37 ± 0.24 | 100 ± 0 | 99.53 ± 0.14 | 98.6 ± 3.07 | 91.92 ± 4.61 | 100 ± 0 |
| 9 | 100 ± 0 | 100 ± 0 | 70 ± 25.39 | 100 ± 0 | 100 ± 0 | 100 ± 0 | 100 ± 0 | 100 ± 0 |
| 10 | 70.41 ± 12.08 | 88.72 ± 4.55 | 69.75 ± 0.25 | 92.15 ± 0.1 | 78.43 ± 7.05 | 71.67 ± 8.05 | 88.14 ± 5.18 | 93.48 ± 5.77 |
| 11 | 69.04 ± 6.28 | 64.02 ± 8.01 | 39.89 ± 0.14 | 64.98 ± 0.1 | 68.99 ± 6.72 | 61.09 ± 20.52 | 64.38 ± 7.13 | 93.78 ± 2.14 |
| 12 | 64.98 ± 18.94 | 76.65 ± 5.31 | 57.56 ± 0.56 | 80.99 ± 0.38 | 71.69 ± 6.04 | 71.75 ± 6.65 | 66.09 ± 18.52 | 85.41 ± 2.45 |
| 13 | 99.37 ± 0.33 | 99.47 ± 0.25 | 97.11 ± 0.28 | 100 ± 0 | 97.16 ± 1.84 | 98.42 ± 1.11 | 97.84 ± 3.05 | 96.84 ± 2.74 |
| 14 | 87.62 ± 9.72 | 90.3 ± 6.63 | 93.12 ± 0.05 | 99.92 ± 0 | 94.99 ± 3.24 | 68.05 ± 12.13 | 76.28 ± 12.99 | 100 ± 0 |
| 15 | 73.32 ± 10.02 | 94.99 ± 3.68 | 33.29 ± 0.96 | 59.46 ± 0.84 | 87.41 ± 5.32 | 83.91 ± 13.53 | 89.06 ± 8.89 | 100 ± 0 |
| 16 | 99.74 ± 0.54 | 98.98 ± 0.54 | 79.36 ± 2.37 | 100 ± 0 | 97.95 ± 2.02 | 95.26 ± 7.65 | 95.26 ± 3.48 | 88.46 ± 11.1 |
| OA (%) | 74.95 ± 3.16 | 82.41 ± 2.39 | 59.63 ± 0.52 | 77.79 ± 2.51 | 83.07 ± 1.82 | 81.79 ± 3.03 | 81.54 ± 1.79 | 96.19 ± 0.55 |
| AA (%) | 84.05 ± 6.27 | 89.21 ± 3.99 | 69.05 ± 2.43 | 86.1 ± 0.24 | 87.75 ± 4.58 | 83.11 ± 8.57 | 85.02 ± 6.85 | 96.49 ± 2.34 |
| κ | 0.72 ± 0.03 | 0.80 ± 0.03 | 0.55 ± 0.01 | 0.75 ± 0.03 | 0.81 ± 0.02 | 0.79 ± 0.03 | 0.79 ± 0.02 | 0.96 ± 0.01 |
| Class | EPF | IFRF | LORSAL | SMLR-S | SCMK | SuperPCA | SVM-SD | Ours |
|---|---|---|---|---|---|---|---|---|
| 1 | 99.79 ± 0.47 | 100 ± 0 | 96.04 ± 1.95 | 99.9 ± 0 | 100 ± 0 | 100 ± 0.31 | 99.44 ± 0.02 | 100 ± 0 |
| 2 | 99.78 ± 0.16 | 99.16 ± 0.62 | 84.67 ± 0.97 | 100 ± 0 | 99.77 ± 0.03 | 89.62 ± 0.38 | 99.74 ± 0.01 | 100 ± 0 |
| 3 | 84.27 ± 3.93 | 100 ± 0 | 87.65 ± 3.11 | 96.96 ± 0.03 | 97.84 ± 2.66 | 95.84 ± 3.58 | 76.12 ± 0.05 | 100 ± 0 |
| 4 | 99.67 ± 0.12 | 97.23 ± 1.26 | 94.8 ± 1.68 | 99.28 ± 0.02 | 99.39 ± 0.57 | 90.39 ± 0.62 | 96.04 ± 0.03 | 98.66 ± 1.22 |
| 5 | 99.21 ± 0.34 | 98.97 ± 0.43 | 91.99 ± 1.6 | 99.03 ± 0.02 | 97.11 ± 0.87 | 96.6 ± 1.51 | 97.64 ± 0.04 | 97.12 ± 0.73 |
| 6 | 99.98 ± 0.01 | 99.88 ± 0.05 | 77.61 ± 0.08 | 100 ± 0 | 99.63 ± 0.25 | 81.5 ± 0.5 | 99.48 ± 0.02 | 99.77 ± 0.13 |
| 7 | 99.72 ± 0.03 | 99.75 ± 0.12 | 83.62 ± 0.18 | 99.97 ± 0 | 99.17 ± 0.11 | 89.37 ± 0.38 | 99.06 ± 0.01 | 100 ± 0 |
| 8 | 76.81 ± 12.82 | 74.48 ± 9.73 | 62.41 ± 3.13 | 84.27 ± 0.02 | 77.11 ± 7.71 | 80.04 ± 4.87 | 84.47 ± 0.02 | 98.98 ± 0.77 |
| 9 | 98.98 ± 0.26 | 99.98 ± 0 | 68.17 ± 0.54 | 100 ± 0 | 96.77 ± 2.4 | 81.75 ± 2.37 | 70.75 ± 0.01 | 99.75 ± 0.56 |
| 10 | 90.43 ± 3.83 | 99.69 ± 0.27 | 75.48 ± 1.2 | 93.45 ± 0.04 | 91.19 ± 3.67 | 84.86 ± 1.31 | 88.9 ± 0.07 | 96.89 ± 2.76 |
| 11 | 98.2 ± 1.65 | 92.87 ± 2.93 | 85.33 ± 0.39 | 99.82 ± 0.03 | 97.07 ± 2.54 | 92.68 ± 2.35 | 47.68 ± 0.04 | 97.23 ± 4.11 |
| 12 | 100 ± 0 | 99.19 ± 1.56 | 78.35 ± 0.83 | 99.84 ± 0.01 | 97.84 ± 3.26 | 87.24 ± 1.32 | 33.86 ± 0.02 | 87.73 ± 3.38 |
| 13 | 97.8 ± 0.42 | 88.42 ± 6.85 | 98.12 ± 0.05 | 98.23 ± 0.05 | 98.04 ± 0.31 | 98.11 ± 0.94 | 91.64 ± 0.05 | 98.3 ± 0.61 |
| 14 | 94.36 ± 2.16 | 93.54 ± 1.64 | 89.39 ± 2.63 | 99.9 ± 0.01 | 95.86 ± 1.84 | 90.17 ± 1.64 | 97.7 ± 0.07 | 92.23 ± 6.39 |
| 15 | 70.85 ± 13.47 | 86.26 ± 9.58 | 63.46 ± 1.27 | 76.32 ± 0.03 | 83.76 ± 7.15 | 71.87 ± 1.51 | 81.2 ± 0.03 | 98.15 ± 0.73 |
| 16 | 95.5 ± 3.57 | 98.83 ± 0.4 | 88.51 ± 2.06 | 99 ± 0.02 | 98.22 ± 2.05 | 95.28 ± 2.04 | 97.62 ± 0.04 | 100 ± 0 |
| OA (%) | 89.53 ± 1.87 | 92.06 ± 2.07 | 75.50 ± 2.12 | 92.87 ± 0.01 | 92.87 ± 1.29 | 84.71 ± 3.27 | 85.34 ± 0.01 | 98.46 ± 0.21 |
| AA (%) | 94.08 ± 2.7 | 95.52 ± 2.22 | 82.85 ± 1.35 | 96.62 ± 0.02 | 95.55 ± 2.21 | 89.08 ± 1.6 | 85.08 ± 0.03 | 97.8 ± 1.34 |
| κ | 0.88 ± 0.02 | 0.91 ± 0.02 | 0.73 ± 0.02 | 0.92 ± 0.01 | 0.92 ± 0.01 | 0.83 ± 0.04 | 0.83 ± 0.01 | 0.98 ± 0.002 |
| Dataset | EPF | IFRF | LORSAL | SMLR-S | SCMK | SuperPCA | SVM-SD | Ours |
|---|---|---|---|---|---|---|---|---|
| Indian | 18.53 ± 0.08 | 5.98 ± 0.03 | 0.74 ± 0.02 | 27.92 ± 0.07 | 5.35 ± 0.07 | 8.64 ± 0.16 | 12.37 ± 0.16 | 9.71 ± 0.20 |
| Salinas | 32.93 ± 0.44 | 13.11 ± 0.19 | 2.6 ± 0.08 | 124.44 ± 0.21 | 10.49 ± 0.12 | 17.67 ± 0.14 | 18.31 ± 0.42 | 17.86 ± 0.13 |
© 2020 by the authors. Licensee MDPI, Basel, Switzerland. This article is an open access article distributed under the terms and conditions of the Creative Commons Attribution (CC BY) license (http://creativecommons.org/licenses/by/4.0/).
Share and Cite
Zhao, Y.; Su, F.; Yan, F. Novel Semi-Supervised Hyperspectral Image Classification Based on a Superpixel Graph and Discrete Potential Method. Remote Sens. 2020, 12, 1528. https://doi.org/10.3390/rs12091528
Zhao Y, Su F, Yan F. Novel Semi-Supervised Hyperspectral Image Classification Based on a Superpixel Graph and Discrete Potential Method. Remote Sensing. 2020; 12(9):1528. https://doi.org/10.3390/rs12091528
Chicago/Turabian StyleZhao, Yifei, Fenzhen Su, and Fengqin Yan. 2020. "Novel Semi-Supervised Hyperspectral Image Classification Based on a Superpixel Graph and Discrete Potential Method" Remote Sensing 12, no. 9: 1528. https://doi.org/10.3390/rs12091528
APA StyleZhao, Y., Su, F., & Yan, F. (2020). Novel Semi-Supervised Hyperspectral Image Classification Based on a Superpixel Graph and Discrete Potential Method. Remote Sensing, 12(9), 1528. https://doi.org/10.3390/rs12091528
