Coastal Wind Measurements Using a Single Scanning LiDAR
Abstract
1. Introduction
2. Materials and Methods
2.1. Experimental Setup
2.2. Leveling Calibration of the Scannig LiDAR
2.3. Scanning Mode and the Velocity Volume Processing (VVP) Method
2.3.1. Scanning Mode
2.3.2. Velocity Volume Processing (VVP)
3. Results
3.1. Wind Condition during the Experimental Campaign
3.2. Validation of 10-Minute Mean Wind Speeds and Wind Directions
3.2.1. Sensitivity to the Azimuth Angle Settings
3.2.2. Sensitivity to Elevation Angle Setting
3.2.3. Impact of Wind Direction on Wind Speed Accuracy
3.3. Data Availability and Accuracy Indicators
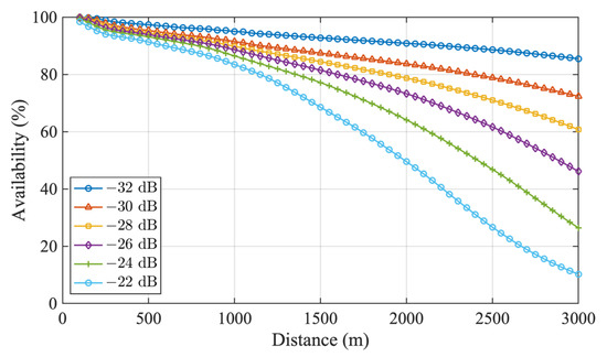
3.3.1. CNR Variation on the Measurement Range
3.3.2. Goodness of Fit for the Curve Fitting
4. Discussion
5. Conclusions
Author Contributions
Funding
Conflicts of Interest
Abbreviations
| 100s | Windcube 100s |
| ASL | Above Sea Level |
| CNR | Carrier-to-Noise Ratio |
| DBS | Doppler Beam Swinging |
| HORS | Hazaki Oceanographic Research Station |
| HTC | Hard Target Calibration |
| IEC | International Electrotechnical Commission |
| LiDAR | Light Detection and Ranging |
| METI | Ministry of Economy, Trade and Industry |
| PPI | Plan Position Indicator |
| RAE | Relative Absolute Error |
| RHI | Range Height Indicator |
| SA | Sonic Anemometer |
| STC | Soft Target Calibration |
| TI | Turbulence Intensity |
| V1 | Windcube V1 |
| VVP | Velocity Volute Processing |
References
- Global Wind Energy Council (GWEC). Global Wind Report 2019; GWEC: Maharashtra, India, 2019. [Google Scholar]
- METI. Promising Sea Areas and Sites Selected for Targeted Promotion. Available online: https://www.meti.go.jp/english/press/2019/0730_001.html (accessed on 12 August 2019).
- Barthelmie, R.J.; Wang, H.; Doubrawa, P.; Pryor, S. Best Practice for Measuring Wind Speeds and Turbulence Offshore through In-Situ and Remote Sensing Technologies; Report to the Department of Energy as Partial Fulfilment of Grant EE0005379; Cornell University: Ithaca, NY, USA, 2016. [Google Scholar]
- Goit, J.P.; Shimada, S.; Kogaki, T. Can LiDARs Replace Meteorological Masts in Wind Energy? Energies 2019, 12, 3680. [Google Scholar] [CrossRef]
- Hasager, C.B.; Sjoholm, M. Editorial for the Special Issue “Remote Sensing of Atmospheric Conditions for Wind Energy Applications”. Remote Sens. 2019, 11, 781. [Google Scholar] [CrossRef]
- Sathe, A.; Banta, R.; Pauscher, L.; Vogstad, K.; Schlipf, D.; Wylie, S. Estimating Turbulence Statistics and Parameters from Ground-and nAcelle-Based Lidar Measurements: IEA Wind Expert Report; DTU Wind Energy: Roskilde, Denmark, 2015. [Google Scholar]
- Shimada, S.; Takeyama, Y.; Kogaki, T.; Ohsawa, T.; Nakamura, S. Investigation of the Fetch Effect Using Onshore and Offshore Vertical LiDAR Devices. Remote Sens. 2018, 10, 1408. [Google Scholar] [CrossRef]
- Shimada, S.; Takeyama, Y.; Kogaki, T.; Ohsawa, T.; Nakamura, S.; Kawaguchi, K. Enhanced offshore wind simulations with WRF using LiDAR observation nudging. J. JWEA 2018, 42, 17–24. (In Japanese) [Google Scholar]
- Leosphere. Scanning Windcube. Available online: https://www.leosphere.com (accessed on 11 March 2020).
- Carbon Trust. Roadmap for the Commercial Acceptance of Floating LiDAR Technology; Carbon Trust: London, UK, 2018. [Google Scholar]
- Gottschall, J.; Wolken-Mohlmann, G.; Viergutz, T.; Lange, B. Results and conclusions of a floating-lidar offshore test. Enrgy Procedia 2014, 53, 156–161. [Google Scholar] [CrossRef]
- Hsuan, C.-Y.; Tasi, Y.-S.; Ke, J.-H.; Prahmana, R.A.; Chen, K.-J.; Lin, T.-H. Validation and Measurements of Floating LiDAR for Nearshore Wind Resource Assessment Application. Energy Procedia 2014, 61, 1699–1702. [Google Scholar] [CrossRef]
- Fuertes, F.C.; Iungo, G.V.; Porte-Agel, F. 3D Turbulence Measurements Using Three Synchronous Wind Lidars: Validation against Sonic Anemometry. J. Atmos. Ocean Technol. 2014, 31, 1549–1556. [Google Scholar] [CrossRef]
- Mann, J.; Cariou, J.P.; Courtney, M.S.; Parmentier, R.; Mikkelsen, T.; Wagner, R.; Lindelow, P.; Sjoholm, M.; Enevoldsen, K. Comparison of 3D turbulence measurements using three staring wind lidars and a sonic anemometer. Meteorol. Z. 2009, 18, 135–140. [Google Scholar] [CrossRef]
- Newsom, R.K.; Berg, L.K.; Shaw, W.J.; Fischer, M.L. Turbine-scale wind field measurements using dual-Doppler lidar. Wind Energy 2015, 18, 219–235. [Google Scholar] [CrossRef]
- Pena, A.; Mann, J. Turbulence Measurements with Dual-Doppler Scanning Lidars. Remote Sens. 2019, 11, 2444. [Google Scholar] [CrossRef]
- Newman, J.F.; Bonin, T.A.; Klein, P.M.; Wharton, S.; Newsom, R.K. Testing and validation of multi-lidar scanning strategies for wind energy applications. Wind Energy 2016, 19, 2239–2254. [Google Scholar] [CrossRef]
- Wagner, R.; Vignaroli, A.; Courtney, M.; McKeown, S.; Cussons, R.; Murthy, R.K.; Boquet, M. Real world offshore power curve using nacelle mounted and scanning Doppler lidars. In Proceedings of the EWEA Offshore 2015, Copenhagen, Denmark, 10–12 March 2015. [Google Scholar]
- Cameron, L.; Clerc, A.; Feeney, S.; Stuart, P. Remote Wind Measurements Offshore Using Scanning LiDAR Systems; OWA Report; Carbon Trust: London, UK, 2014. [Google Scholar]
- Courtney, M.; Wagner, R.; Murthy, R.K.; Boquet, M. Optimized Lidar Scanning Patterns for Reduced Project Uncertainty. In Proceedings of the EWEA 2014, Barcelona, Spain, 10–13 March 2014. [Google Scholar]
- Coutts, E.; Oldroyd, A.; Stein, D.; Boque, M.; Krishna, R.; Akhoun, M.; Espin, F.; Miguel Gonzalez Garcia, L. Cost Effective Offshore Wind Measurement. In Proceedings of the EWEA Resource Assessment 2015, Helsinki, Finland, 2–3 June 2015. [Google Scholar]
- Simon, E.; Courtney, M. A Comparison of Sector-Scan and Dual Doppler Wind Measurements at Høvsøre Test Station—One Lidar or Two? Technical Report DTU Wind Energy E-0112 (EN); DTU Wind Energy: Roskilde, Denmark, 2016. [Google Scholar]
- PARI. Hazaki Oceanographical Research Station (HORS). Available online: https://www.pari.go.jp/unit/edosy/en/main-facility/2.html (accessed on 10 September 2019).
- Calhoun, R.; Heap, R.; Princevac, M.; Newsom, R.; Fernando, H.; Ligon, D. Virtual towers using coherent Doppler lidar during the Joint Urban 2003 dispersion experiment. J. Appl. Meteorol. Clim. 2006, 45, 1116–1126. [Google Scholar] [CrossRef]
- Zhou, S.H.; Wei, M.; Wang, L.J.; Zhao, C.; Zhang, M.X. Sensitivity Analysis of the VVP Wind Retrieval Method for Single-Doppler Weather Radars. J. Atmos. Ocean Technol. 2014, 31, 1289–1300. [Google Scholar]
- Waldteufel, P.; Corbin, H. On the Analysis of Single-Doppler Radar Data. J. Appl. Meteorol. 1979, 18, 532–542. [Google Scholar] [CrossRef]
- Koscielny, A.J.; Doviak, R.J.; Rabin, R. Statistical Considerations in the Estimation of Divergence from Single-Doppler Radar and Application to Pre-Storm Boundary-Layer Observations. J. Appl. Meteorol. 1982, 21, 197–210. [Google Scholar] [CrossRef][Green Version]
- International Electrotechnical Commision (IEC). IEC 61400-12-1 Wind Energy Generation Systems—Part 12-1: Power Performance Measurements of Electricity Producing Wind Turbines, 2nd ed.; IEC Central Office: Geneva, Switzerland, 2017. [Google Scholar]
- Hasager, C.B.; Stein, D.; Courtney, M.; Pena, A.; Mikkelsen, T.; Stickland, M.; Oldroyd, A. Hub Height Ocean Winds over the North Sea Observed by the NORSEWInD Lidar Array: Measuring Techniques, Quality Control and Data Management. Remote Sens. 2013, 5, 4280–4303. [Google Scholar] [CrossRef]
- Gryning, S.E.; Floors, R. Carrier-to-Noise-Threshold Filtering on Off-Shore Wind Lidar Measurements. Sensors 2019, 19, 592. [Google Scholar] [CrossRef] [PubMed]




















| Instrument | Location on the Pier | Height Above Sea Level | Measurement Parameters (Sampling Interval) |
|---|---|---|---|
| Scanning light detection and ranging (LiDAR) (Windcube 100s (100s)) | Landward end | 10.5 m | Radial wind speeds (1 Hz) |
| Vertical profiling LiDAR (Windcube V1 (V1)) | Seaward end | 7 m | Horizontal and vertical wind speeds and directions at heights of 40–200 m (1 Hz) |
| Sonic anemometer (Young Model 81000) | Seaward end | 10 m | Horizontal and vertical wind speeds, virtual temperature (4 Hz) |
| Case | Start Date (LST) | End Date (LST) | Duration (Hours) | (°) | (°/s) | (°) | Height (m) | |
|---|---|---|---|---|---|---|---|---|
| 1 | 2019-02-20 | 2019-02-25 | 119.6 | 60 | 3 | 5.07 | V1 | 47 |
| 2 | 2019-01-22 | 2019-01-26 | 97.5 | 45 | 3 | 5.07 | V1 | 47 |
| 3 | 2019-01-26 | 2019-01-30 | 96.1 | 30 | 3 | 5.07 | V1 | 47 |
| 4 | 2019-01-30 | 2019-02-04 | 112.5 | 15 | 3 | 5.07 | V1 | 47 |
| 5 | 2019-02-13 | 2019-02-20 | 169.3 | 15 | 1 | 5.07 | V1 | 47 |
| 6 | 2019-04-19 | 2019-04-23 | 100.2 | 45 | 3 | 14.11 | V1 | 107 |
| 7 | 2019-02-04 | 2019-02-08 | 102.5 | 45 | 3 | 26.05 | V1 | 207 |
| 8 | 2019-06-25 | 2019-09-22 | 2150.6 | 45 | 3 | 5.07 | V1 | 47 |
| 9 | 2019-04-23 | 2019-06-25 | 1512.2 | 45 | 3 | 0.00 | SA | 7 |
| Case | Uref | N (-) | (m/s) | (m/s) | (m/s, %) | (m/s, %) | R2 (-) | |
|---|---|---|---|---|---|---|---|---|
| m | ||||||||
| 1 | V1 | 644 | 7.83 | 7.85 | 0.03, 0.3% | 0.21, 2.6% | 1.001 | 0.997 |
| 2 | V1 | 436 | 7.04 | 7.11 | 0.07, 1.0% | 0.31, 4.5% | 1.002 | 0.994 |
| 3 | V1 | 424 | 6.44 | 6.67 | 0.24, 3.7% | 0.40, 6.2% | 1.032 | 0.983 |
| 4 | V1 | 411 | 5.40 | 5.88 | 0.48, 8.9% | 0.60, 11.1% | 1.072 | 0.951 |
| 5 | V1 | 754 | 5.54 | 5.81 | 0.27, 4.9% | 0.43, 7.8% | 1.039 | 0.967 |
| 6 | V1 | 602 | 6.20 | 6.23 | 0.03, 0.5% | 0.17, 2.7% | 1.004 | 0.998 |
| 7 | V1 | 531 | 8.19 | 8.20 | 0.01, 0.1% | 0.23, 2.8% | 1.001 | 0.995 |
| 8 | V1 | 8039 | 5.92 | 5.97 | 0.04, 0.7% | 0.24, 4.0% | 1.006 | 0.992 |
| 9 | SA | 3557 | 5.08 | 4.90 | −0.17, −3.4% | 0.55, 10.8% | 0.959 | 0.963 |
| Case | Uref | N (-) | (°) | (°) | (°) | (°) | R2 (-) | ||
|---|---|---|---|---|---|---|---|---|---|
| m | b | ||||||||
| 1 | V1 | 644 | 128.8 | 130.0 | −0.5 | 2.5 | 0.998 | −0.263 | 1.000 |
| 2 | V1 | 436 | 266.0 | 268.1 | −0.4 | 2.8 | 1.006 | −1.900 | 0.999 |
| 3 | V1 | 424 | 271.2 | 270.2 | −0.2 | 5.4 | 1.004 | −1.372 | 0.995 |
| 4 | V1 | 411 | 250.0 | 245.6 | −0.9 | 8.3 | 0.994 | 0.676 | 0.988 |
| 5 | V1 | 754 | 207.4 | 205.0 | −2.0 | 7.8 | 0.998 | −1.495 | 0.996 |
| 6 | V1 | 540 | 84.6 | 83.4 | −0.5 | 2.0 | 0.999 | −0.354 | 0.999 |
| 7 | V1 | 505 | 185.7 | 186.8 | −0.3 | 2.5 | 1.000 | −0.178 | 1.000 |
| 8 | V1 | 8039 | 114.9 | 114.0 | −0.7 | 3.7 | 0.997 | −0.329 | 0.998 |
| 9 | SA | 3557 | 158.7 | 157.8 | 1.4 | 12.1 | 0.995 | 2.254 | 0.984 |
© 2020 by the authors. Licensee MDPI, Basel, Switzerland. This article is an open access article distributed under the terms and conditions of the Creative Commons Attribution (CC BY) license (http://creativecommons.org/licenses/by/4.0/).
Share and Cite
Shimada, S.; Goit, J.P.; Ohsawa, T.; Kogaki, T.; Nakamura, S. Coastal Wind Measurements Using a Single Scanning LiDAR. Remote Sens. 2020, 12, 1347. https://doi.org/10.3390/rs12081347
Shimada S, Goit JP, Ohsawa T, Kogaki T, Nakamura S. Coastal Wind Measurements Using a Single Scanning LiDAR. Remote Sensing. 2020; 12(8):1347. https://doi.org/10.3390/rs12081347
Chicago/Turabian StyleShimada, Susumu, Jay Prakash Goit, Teruo Ohsawa, Tetsuya Kogaki, and Satoshi Nakamura. 2020. "Coastal Wind Measurements Using a Single Scanning LiDAR" Remote Sensing 12, no. 8: 1347. https://doi.org/10.3390/rs12081347
APA StyleShimada, S., Goit, J. P., Ohsawa, T., Kogaki, T., & Nakamura, S. (2020). Coastal Wind Measurements Using a Single Scanning LiDAR. Remote Sensing, 12(8), 1347. https://doi.org/10.3390/rs12081347

