Retrieving Volcanic Ash Top Height through Combined Polar Orbit Active and Geostationary Passive Remote Sensing Data
Abstract
1. Introduction
2. Data
2.1. SEVIRI L1 Data
2.2. CALIOP Data
2.3. Atmospheric Profile Data
2.4. VTH Product From 1DVAR Approach
2.5. Data Preprocess and Quality Control
3. Methodology
3.1. SDA-GA-LSSVR Model
- BT data from the SEVIRI’s 6 IR channels, which are channel 4 (3.9 μm), 5 (6.25 μm), 7 (8.7 μm), 9 (10.8 μm), 10 (12.0 μm), and 11 (13.4 μm), VTH product derived from CALIOP observations, and atmospheric temperature vertical profile data from the ERA-Interim reanalysis [46] are used as the original features (samples). These data are preprocessed and further normalized to eliminate the effect of nonuniform dimension lengths for training the hybrid deep learning model.
- Based on the collected original features, SDA were performed through the following 3 steps: (1) To set the values of super-parameters such as the number of nodes in each layer of the SDA (learning rate = 0.1, input zero masked fraction = 0.5, activation function = “sigm”); (2) To perform a layer-by-layer pretraining to find the local optimum for each noise-reducing self-encoder parameter; and finally, (3) the pretrained noise-reducing self-encoder parameters for all layers are formed into a neural network, and an unsupervised training is carried out. Through this step, the network is automatically optimized and the new features which highly represent the main characteristics of the original data were generated.
- The new features extracted by the SDA were further passed to the least squares support vector machine, and the LSSVR model was established to estimate the VTH. In this process, the GA was used to optimize 2 key parameters for LSSVR, which are the regularization parameter and the radial basis function , respectively.
3.2. Evaluation of Retrieval Accuracy
4. Results and Validation
4.1. Eyjafjallajökull Eruption
4.2. Puyehue-Cordón Caulle Eruption
5. Sensitivity to Atmosphere Temperature Vertical Profile Data
6. Sensitivity of VTH Retrieval to Feature Selection with the SDA Model
7. Uncertainty Analysis
8. Conclusions
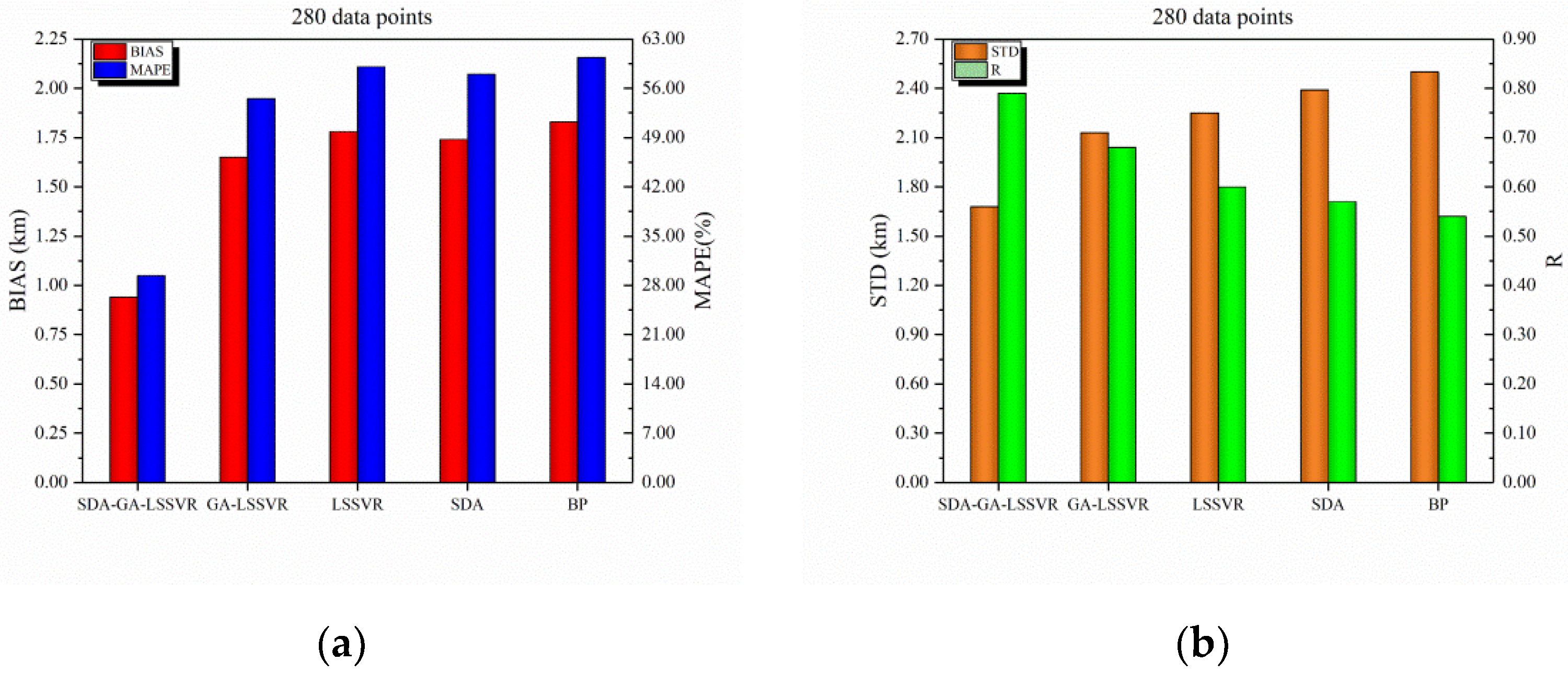
- By comparing the retrievals obtained from the hybrid SDA-GA-LSSVR, the GA-LSSVR, the LSSVR, the SDA, and the BP models for two typical cases, it is found that the GA optimization algorithm can effectively improve the approximation of the LSSVR and improve the accuracy of VTH retrievals. For small samples, the LSSVR is a novel learning method with a solid theoretical basis. The SDA performs better for larger samples size. The SDA model and the BP model are compared because they both use the same mechanism for fine-tuning. The use of the SDA to denoise the satellite measurements can reduce correlation among the input data and increase the robustness of the retrieval. The hybrid uses of the SDA, the GA, and the LSSVR achieve the most accurate VTH retrievals, with the smallest error and highest correlation with the “true” data (CALIOP measurements).
- Since the hybrid SDA-GA-LSSVR model has the ability to simulate the complicated nonlinear relationship between IR radiances and the volcanic ash cloud parameters through deep learning, it not only performs well under a relatively simple meteorological background but also is robust under more complex meteorological conditions, as seen in the Puyehue-Cordón Caulle cases (R = 0.79).
- Using the hybrid SDA-GA-LSSVR retrieval algorithm, the nonlinear relationship between IR channel observations and VTH can be well established. However, due to the uncertainties that are attributed to different eruption times, atmospheric conditions, surface conditions, and satellite observation angles, it is difficult to fully capture temporal and spatial changes in VTH retrievals using only satellite IR observations as input, especially in the case of complex meteorological conditions. Adding atmospheric temperature vertical profiles to the training samples results in significant reduced bias, STD, and MAPE but increased R; the R is increased by 3.95% for the Eyjafjallajökull cases and 29.51% for the Puyehue-Cordón Caulle cases. These results demonstrate that adding atmospheric temperature vertical profile information to training samples can further improve the VTH retrievals, while the moisture profiles do provide a little impact since moisture mostly resides in low troposphere and has little radiative effect on the IR channels used for VTH retrieval (results now shown).
- The IR channel observations are spectrally correlated. The SDA can automatically extract complex features due to its multi-hidden-layer structure. Therefore, the SDA is capable of enhancing volcanic ash information from satellite IR measurements. In addition, the choice of hyperparameters directly influences the learning ability of the SDA and the final retrievals.
Author Contributions
Funding
Acknowledgments
Conflicts of Interest
Appendix A. Algorithm Principle
Appendix A.1. Stack Noise Reduction Encoder
- Take a training sample from the training data.
- Set the noise reduction ratio k, denoise to obtain new input information , where nk data in is 0.
- Replace the input information with , estimate the reconstructed distribution of the self-encoder, and re-enter the training.
- Using the first three steps to denoise the first Denoising Autoencoder (DA) unit, use the hidden layer of the first DA unit as input to the second DA unit, and then denoise again to extract the hidden layer as the feature output.
Appendix A.2. Stack Noise Reduction Encoder Least Squares Support Vector Regression Method Based on a Genetic Algorithm
- Set the largest evolutionary algebra and randomly generate the number of individuals as the initial state (initialization).
- Calculate the fitness of each individual in the initial population (calculation of fitness).
- Determine recombinant or crossed individuals and subindividuals according to the fitness obtained above (select).
- Generate new individuals by mating the information from the population with the father (cross).
References
- Miller, T.P.; Casadevall, T.J. Volcanic ash hazards to aviation. In Encyclopedia of Volcanoes, 1st ed.; Sigurdsson, H., Ed.; Academic Press: San Diego, CA, USA, 2000. [Google Scholar]
- Robock, A. Volcanic eruptions and climate. Rev. Geophys. 2000, 38, 191–219. [Google Scholar] [CrossRef]
- Heinold, B.; Tegen, I.; Wolke, R.; Ansmann, A.; Mattis, I.; Minikin, A.; Schumann, U.; Weinzierl, B. Simulations of the 2010 Eyjafjallajökull volcanic ash dispersal over Europe using COSMO–MUSCAT. Atmos. Environ. 2012, 48, 195–204. [Google Scholar] [CrossRef]
- Prata, A.J.; Grant, I.F. Determination of mass loadings and plume heights of volcanic ash clouds from satellite data. In CSIRO Atmospheric Research; National Library of Australia Cataloguing-in-PublicationEntry: Canberra, Australia, 2015. [Google Scholar]
- Pavolonis, M.J.; Heidinger, A.K.; Sieglaff, J. Automated retrievals of volcanic ash and dust cloud properties from upwelling infrared measurements. J. Geophys. Res. Atmos. 2013, 118, 1436–1458. [Google Scholar] [CrossRef]
- Wen, S.; Rose, W.I. Retrieval of sizes and total masses of particles in volcanic clouds using AVHRR bands 4 and 5. J. Geophys. Res. Atmos. 1999, 99, 5421–5431. [Google Scholar] [CrossRef]
- Zhu, L.; Li, J.; Zhao, Y.Y.; Gong, H.; Li, W.J. Retrieval of volcanic ash height from satellite-based infrared measurements. J. Geophys. Res. Atmos. 2017, 122, 5364–5379. [Google Scholar] [CrossRef]
- Nelson, D.L.; Garay, M.J.; Kahn, R.A.; Dunst, B.A. Stereoscopic height and wind retrievals for aerosol plumes with the MISR INteractive eXplorer (MINX). Remote Sens. 2013, 5, 4593–4628. [Google Scholar] [CrossRef]
- Oppenheimer, C. Volcanological applications of meteorological satellites. Int. J. Remote Sens. 1998, 19, 2829–2864. [Google Scholar] [CrossRef]
- Prata, A.J. Infrared radiative transfer calculations for volcanic ash clouds. Geophys. Res. Lett. 1989, 16, 1293–1296. [Google Scholar] [CrossRef]
- Corradini, S.; Montopoli, M.; Guerrieri, L.; Ricci, M.; Scollo, S.; Merucci, L.; Grainger, R.G. A multi-sensor approach for volcanic ash cloud retrieval and eruption characterization: The 23 November 2013 Etna lava fountain. Remote Sens. 2016, 8, 58. [Google Scholar] [CrossRef]
- Marzano, F.S.; Barbieri, S.; Vulpiani, G.; Rose, W.I. Volcanic ash cloud retrieval by ground-based microwave weather radar. IEEE Trans. Geosci. Electron. 2006, 44, 3235–3246. [Google Scholar] [CrossRef]
- Scollo, S.; Prestifilippo, M.; Pecora, E.; Corradini, S.; Merucci, L.; Spata, G.; Coltelli, M. Eruption column height estimation of the 2011–2013 Etna lava fountains. Ann. Geophys. 2014, 57, S0214. [Google Scholar]
- Merucci, L.; Zakšek, K.; Carboni, E.; Corradini, S. Stereoscopic estimation of volcanic ash cloud-top height from two geostationary satellites. Remote Sens. 2016, 8, 206. [Google Scholar] [CrossRef]
- Picchiani, M.; Chini, M.; Corradini, S.; Merucci, L.; Sellitto, P.; Del Frate, F.; Stramondo, S. Volcanic ash detection and retrievals using MODIS data by means of neural networks. Atmos. Meas. Technol. 2011, 4, 2619–2631. [Google Scholar] [CrossRef]
- Zakšek, K.; Hort, M.; Zaletelj, J.; Langmann, B. Monitoring volcanic ash cloud top height through simultaneous retrieval of optical data from polar orbiting and geostationary satellites. Atmos. Chem. Phys. 2013, 13, 2589–2606. [Google Scholar] [CrossRef]
- Holasek, R.E.; Self, S.; Woods, A.W. Satellite observations and interpretation of the 1991 Mount Pinatubo eruption plumes. J. Geophys. Res. 1996, 101, 27635. [Google Scholar] [CrossRef]
- Winker, D.M.; Pelon, J.; Coakley, J.A.; Ackerman, S.A.; Charlson, R.J.; Colarco, P.R.; Flamant, P.; Fu, Q.; Hoff, R.M.; Kittaka, C.; et al. The CALIPSO mission: A global 3D view of aerosols and clouds. Bull. Am. Meteorol. Soc. 2010, 91, 1211. [Google Scholar] [CrossRef]
- Stohl, A.; Prata, F.; Eckhardt, S.; Clarisse, L.; Durant, A.J.; Henne, S.; Kristiansen, N.I.; Minikin, A.; Schumann, U.; Seibert, P.; et al. Determination of time-and height-resolved volcanic ash emissions and their use for quantitative ash dispersion modeling: The 2010 Eyjafjallajokull eruption. Atmos. Chem. Phys. 2011, 11, 4333–4351. [Google Scholar] [CrossRef]
- Li, J.; Li, Z.L.; Jin, X.; Schmit, T.J.; Zhou, L.H.; Goldberg, M.D. Land surface emissivity from high temporal resolution geostationary infrared imager radiances: Methodology and simulation studies. J. Geophys. Res. Atmos. 2011, 116, D01304. [Google Scholar] [CrossRef]
- Li, Z.L.; Li, J.; Li, Y.; Zhang, Y.; Schmit, T.J.; Zhou, L.G.; Goldberg, M.; Menzel, W.P. Determining diurnal variations of land surface emissivity from geostationary satellites. J. Geophys. Res. Atmos. 2012, 117, D23302. [Google Scholar] [CrossRef]
- Zhang, Y.; Li, Z.L.; Li, J. Comparisons of emissivity observations from satellites and the ground at the CRCS Dunhuang Gobi site. J. Geophys. Res. Atmos. 2014, 119, 13026–13041. [Google Scholar] [CrossRef]
- Prata, A.J.; Kerkmann, J. Simultaneous retrieval of volcanic ash and SO2 using MSG-SEVIRI measurements. Geophys. Res. Lett. 2007, 34, L05813. [Google Scholar] [CrossRef]
- Ackerman, S.A.; Schreiner, A.J.; Schmit, T.J.; Woolf, H.M.; Li, J.; Pavolonis, M. Using the GOES Sounder to monitor upper level SO2 from volcanic eruption. J. Geophys. Res. Atmos. 2008, 113, D14S11. [Google Scholar] [CrossRef]
- Schmit, T.J.; Gunshor, M.M.; Menzel, W.P.; Gurka, J.J.; Bachmeier, A.S. Introducing the next-generation advanced baseline imager (ABI) on GOES-R. Bull. Am. Meteorol. 2005, 86, 1079–1096. [Google Scholar] [CrossRef]
- Schmit, T.J.; Li, J.; Lee, S.J.; Li, Z.L.; Dworak, R.; Lee, Y.; Bowlan, M.; Gerth, J.; Martin, G.; Straka, W.; et al. Legacy atmospheric profiles and derived products from GOES-16: Validation and applications. Earth Space Sci. 2019, 6, 1730–1748. [Google Scholar] [CrossRef]
- Heidinger, A.K.; Pavolonis, M.J.; Holz, R.E.; Baum, B.A.; Berthier, S. Using CALIPSO to explore the sensitivity to cirrus height in the infrared observations from NPOESS/VIIRS and GOES-R/ABI. J. Geophys. Res. Atmos. 2010, 115, D00H20. [Google Scholar] [CrossRef]
- Corradini, S.; Merucci, L.; Prata, A.J.; Piscini, A. Volcanic ash and SO2 in the 2008 Kasatochi eruption: Retrievals comparison from different IR satellite sensors. J. Geophys. Res. Atmos. 2010, 115, D00L21. [Google Scholar] [CrossRef]
- Pavolonis, M.J.; Sieglaff, J. GOES-R Advanced Baseline Imager (ABI) Algorithm Theoretical Basis Document for Volcanic Ash:Detection and Height, 2nd ed.; NOAA: Silver Spring, MD, USA, 2010.
- Li, J.; Menzel, W.P.; Schreiner, A.J. Variational retrieval of cloud parameters from GOES sounder longwave cloudy radiance measurements. J. Appl. Meteorol. 2001, 40, 312–330. [Google Scholar] [CrossRef]
- Francis, P.N.; Cooke, M.C.; Saunders, R.W. Retrieval of physical properties of volcanic ash using Meteosat: A case study from the 2010 Eyjafjallajökull eruption. J. Geophys. Res. 2012, 117, D00U09. [Google Scholar] [CrossRef]
- Piscini, A.; Picchiani, M.; Chini, M.; Corradini, S.; Merucci, L.; Del Frate, F.; Stramondo, S. A neural network approach for the simultaneous retrieval of volcanic ash parameters and SO2 using MODIS data. Atmos. Meas. Technol. 2014, 7, 4023–4047. [Google Scholar] [CrossRef]
- Genkova, I.; Seiz, G.; Zuidema, P.; Zhao, G.; Di Girolamo, L. Cloud top height comparisons from ASTER, MISR, and MODIS for trade wind cumuli. Remote Sens. Environ. 2007, 107, 211–222. [Google Scholar] [CrossRef]
- Rose, W.I.; Bluth, G.J.S.; Ernst, G.G.J. Integrating retrievals of Volcanic cloud characteristics from satellite remote sensors: A summary. Philos. Trans. R. Soc. A 2000, 358, 1585–1606. [Google Scholar] [CrossRef]
- Ellord, G.P.; Connell, B.H.; Hillger, D.W. Improved detection of airborne volcanic ash using multispectral infrared satellite data. J. Geophys. Res. Atmos. 2003, 108, 4356. [Google Scholar] [CrossRef]
- Tupper, A.; Carn, S.; Davey, J.; Kamada, Y.; Potts, R.; Prata, F.; Tokuno, M. An evaluation of volcanic cloud detection techniques during recent significant eruptions in the western ‘Ring of Fire’. Remote Sens. Environ. 2004, 91, 27–46. [Google Scholar] [CrossRef]
- Webley, P.; Mastin, L. Improved prediction and tracking of volcanic ash clouds. J. Volcanol. Geotherm. Res. 2009, 186, 1–9. [Google Scholar] [CrossRef]
- Li, J.; Wang, P.; Han, H.; Li, J.L.; Zheng, J. On the assimilation of satellite sounder data in cloudy skies in the numerical weather prediction models. J. Meteorol. Res. 2016, 30, 169–182. [Google Scholar] [CrossRef]
- Li, J.; Li, Z.; Wang, P.; Schmit, T.J.; Bai, W.; Atlas, R. An efficient radiative transfer model for hyperspectral IR radiance simulation and applications under cloudy sky conditions. J. Geophys. Res. Atmos. 2017, 122, 7600–7613. [Google Scholar] [CrossRef]
- Schmetz, J.P.; Pili, S.; Tjemkes, D.; Just, J.; Kerkmann, S.R.; Ratier, A. An introduction to Meteosat Second Generation (MSG). Bull. Am. Meteorol. Soc. 2002, 83, 977–993. [Google Scholar] [CrossRef]
- Realmuto, V.J.; Abrams, M.J.; Boungiorno, M.F.; Pieri, D.C. The use of multispectral thermal infrared image data to estimate the sulfur dioxide flux from volcanoes: A case study from Mount Etna, Sicily, July 29, 1986. J. Geophys. Res. Solid Earth 1994, 99, 481–488. [Google Scholar] [CrossRef]
- Realmuto, V.J.; Sutton, A.J.; Elias, T. Multispectral thermal infrared mapping of sulfur dioxide plumes: A case study from the East Rift Zone of Kilauea Volcano, Hawaii. J. Geophys. Res. Solid Earth 1997, 102, 15057–15072. [Google Scholar] [CrossRef]
- Winker, D.M.; Vaughan, H.A.; Omar, A.; Hu, Y.; Powell, K.A. Overview of the CALIPSO mission and CALIOP data processing algorithms. J. Atmos. Ocean. Technol. 2009, 26, 2310–2323. [Google Scholar] [CrossRef]
- Tao, Z.; McCormick, M.P.; Wu, D. A comparison method for spaceborne and ground-based lidar and its application to the CALIPSO lidar. Appl. Phys. 2008, 91, 639. [Google Scholar] [CrossRef]
- Stephens, G.L. Coauthors the CloudSat mission and the A-Train: A new dimension of space-based observations of clouds and precipitation. Bull. Am. Meteorol. Soc. 2002, 83, 1771–1790. [Google Scholar] [CrossRef]
- Dee, D.P. The ERA-Interim reanalysis: Configuration and performance of the data assimilation system. Q. J. R. Meteorol. Soc. 2011, 137, 553–597. [Google Scholar] [CrossRef]
- Pavolonis, M.J. Advances in extracting cloud composition information from spaceborne infrared radiances—A robust alternative to brightness temperatures. Part I: Theory. J. Appl. Meteorol. Clim. 2010, 49, 1992–2012. [Google Scholar] [CrossRef]
- Lecun, Y.; Bengio, Y.; Hinton, G. Deep learning. Nature 2015, 521, 436. [Google Scholar] [CrossRef]
- Schmidhuber, J. Deep learning in neural networks: An overview. Neural Netw. 2015, 61, 85–117. [Google Scholar] [CrossRef]
- Bengio, Y. Deep learning of representations for unsupervised and transfer learning. JMLR Workshops Conf. Proc. 2012, 27, 17–36. [Google Scholar]
- Jin, X.; Li, J.; Schmit, T.J.; Li, J.; Goldberg, M.D.; Gurka, J.J. Retrieving clear-sky atmospheric parameters from SEVIRI and ABI infrared radiances. J. Geophys. Res. 2008, 113, D15310. [Google Scholar] [CrossRef]
- Cigala, V.; Biondi, R.; Prata, A.J.; Steiner, A.K.; Kirchengast, G.; Brenot, H. GNSS radio occultation advances the monitoring of volcanic clouds: The case of the 2008 Kasatochi eruption. Remote Sens. 2019, 11, 2199. [Google Scholar] [CrossRef]
- Yang, J.; Zhang, Z.Q.; Wei, C.Y.; Lu, F.; Guo, Q. Introducing the new generation of Chinese geostationary weather satellites, Fengyun-4. Bull. Am. Meteorol. Soc. 2017, 98, 1637–1658. [Google Scholar] [CrossRef]
- Min, M.; Wu, C.Q.; Li, C.; Liu, H.; Xu, N.; Wu, X.; Chen, L.; Wang, F.; Sun, F.L.; Qin, D.Y.; et al. Developing the science product algorithm testbed for Chinese next-generation geostationary meteorological satellites: Fengyun-4 series. J. Meteorol. Res. 2017, 31, 708–719. [Google Scholar] [CrossRef]
- Menzel, P.W.; Schmit, T.J.; Zhang, P.; Li, J. Satellite based atmospheric infrared sounder development and applications. Bull. Am. Meteorol. Soc. 2018, 99, 583–603. [Google Scholar] [CrossRef]
- Schmit, T.J.; Li, J.; Ackerman, S.A.; Gurka, J.J. High spectral and high temporal resolution infrared measurements from geostationary orbit. J. Atmos. Ocean. Technol. 2009, 26, 2273–2292. [Google Scholar] [CrossRef]
- Li, J.; Li, J.L.; Otkin, J.; Schmit, T.J.; Liu, C. Warning information in a preconvection environment from the geostationary advanced infrared sounding system—A simulation study using IHOP case. J. Appl. Meteorol. Clim. 2011, 50, 776–783. [Google Scholar] [CrossRef]
- Hinton, G.E.; Sejnowski, T.J. Parallel Distributed Processing: Explorations in the Microstructure of Cognition, 2nd ed.; MIT Press: Cambridge, UK, 1986. [Google Scholar]
- Bengio, Y.; Lamblin, P.; Popovici, D.; Larochelle, H. Greedy Layer-Wise Training of Deep Networks. Available online: https://www.researchgate.net/publication/200744514_Greedy_layer-wise_training_of_deep_networks (accessed on 15 December 2019).
- Bruzzone, L.; Chi, M.; Marconcini, M. A novel transductive SVM for semisupervised classification of remote-sensing images. IEEE Trans. Geosci. Remote. 2006, 44, 3363–3373. [Google Scholar] [CrossRef]
- Holland, J.H. Genetic algorithms and the optimal allocation of trials. Siam. J. Comput. 1973, 2, 88–105. [Google Scholar] [CrossRef]











| Proportion (%) | ||||
|---|---|---|---|---|
| Index (+ for Increase, − for Decrease) | SDA-GA-LSSVR VS. GA-LSSVR (I) | GA-LSSVR VS. LSSVR (II) | LSSVR VS. SDA (III) | SDA VS. BP (IV) |
| bias | −36.11 | −9.24 | −37.04 | −4.06 |
| STD | −12.84 | −6.33 | −33.05 | −2.88 |
| MAPE | −37.43 | −8.53 | −32.51 | −0.09 |
| R | 4.05 | 10.44 | 55.81 | 12.56 |
| Proportion (%) | ||||
|---|---|---|---|---|
| Index (+ for Increase, − for Decrease) | SDA-GA-LSSVR VS. GA-LSSVR (I) | GA-LSSVR VS. LSSVR (II) | LSSVR VS. SDA (III) | SDA VS. BP (IV) |
| bias | −43.03 | −7.3 | 2.29 | −4.92 |
| STD | −21.13 | −5.33 | −5.86 | −4.4 |
| MAPE | −46.17 | −7.65 | 1.83 | −3.94 |
| R | 16.18 | 7.54 | 9.67 | 6.68 |
| (+ for Increase, − for Decrease) | bias (km) | STD (km) | MAPE (%) | R | |
|---|---|---|---|---|---|
| Eyjafjallajökull | Adding profile data | 0.69 | 1.29 | 23.67 | 0.77 |
| No profile data | 1.16 | 1.78 | 35.82 | 0.59 | |
| Adding VS. No | −40.51 | −27.53 | −33.92 | +29.51 | |
| Puyehue-Cordón Caulle | Adding profile data | 0.94 | 1.68 | 29.36 | 0.79 |
| No profile data | 1.05 | 1.80 | 32.11 | 0.76 | |
| Adding VS. No | −10.48 | −6.67 | −8.56 | +3.95 |
| LOSS | MAPE | Pretraining Learning Rate |
|---|---|---|
| 0.0502 | 0.2096 | 0.1 |
| 0.0921 | 0.3644 | 0.2 |
| 0.0683 | 0.1906 | 0.3 |
| 0.0805 | 0.4285 | 0.4 |
| 0.0792 | 0.3209 | 0.5 |
| 0.0832 | 0.4741 | 0.6 |
| 0.0508 | 0.2477 | 0.7 |
| 0.0537 | 0.3071 | 0.8 |
| 0.0513 | 0.2173 | 0.9 |
| 0.0475 | 0.217 | 1 |
© 2020 by the authors. Licensee MDPI, Basel, Switzerland. This article is an open access article distributed under the terms and conditions of the Creative Commons Attribution (CC BY) license (http://creativecommons.org/licenses/by/4.0/).
Share and Cite
Zhu, W.; Zhu, L.; Li, J.; Sun, H. Retrieving Volcanic Ash Top Height through Combined Polar Orbit Active and Geostationary Passive Remote Sensing Data. Remote Sens. 2020, 12, 953. https://doi.org/10.3390/rs12060953
Zhu W, Zhu L, Li J, Sun H. Retrieving Volcanic Ash Top Height through Combined Polar Orbit Active and Geostationary Passive Remote Sensing Data. Remote Sensing. 2020; 12(6):953. https://doi.org/10.3390/rs12060953
Chicago/Turabian StyleZhu, Weiren, Lin Zhu, Jun Li, and Hongfu Sun. 2020. "Retrieving Volcanic Ash Top Height through Combined Polar Orbit Active and Geostationary Passive Remote Sensing Data" Remote Sensing 12, no. 6: 953. https://doi.org/10.3390/rs12060953
APA StyleZhu, W., Zhu, L., Li, J., & Sun, H. (2020). Retrieving Volcanic Ash Top Height through Combined Polar Orbit Active and Geostationary Passive Remote Sensing Data. Remote Sensing, 12(6), 953. https://doi.org/10.3390/rs12060953
