A Modified Model for Electromagnetic Scattering of Sea Surface Covered with Crest Foam and Static Foam
Abstract
1. Introduction
2. Two Whitecap Stages: Crest Foam and Static Foam
2.1. Foam Coverage and Foam Thickness
2.2. The Ratio of Crest Foam and Static Foam in the Same Sea State
3. The Modeling of Sea Surface Covered with Foam
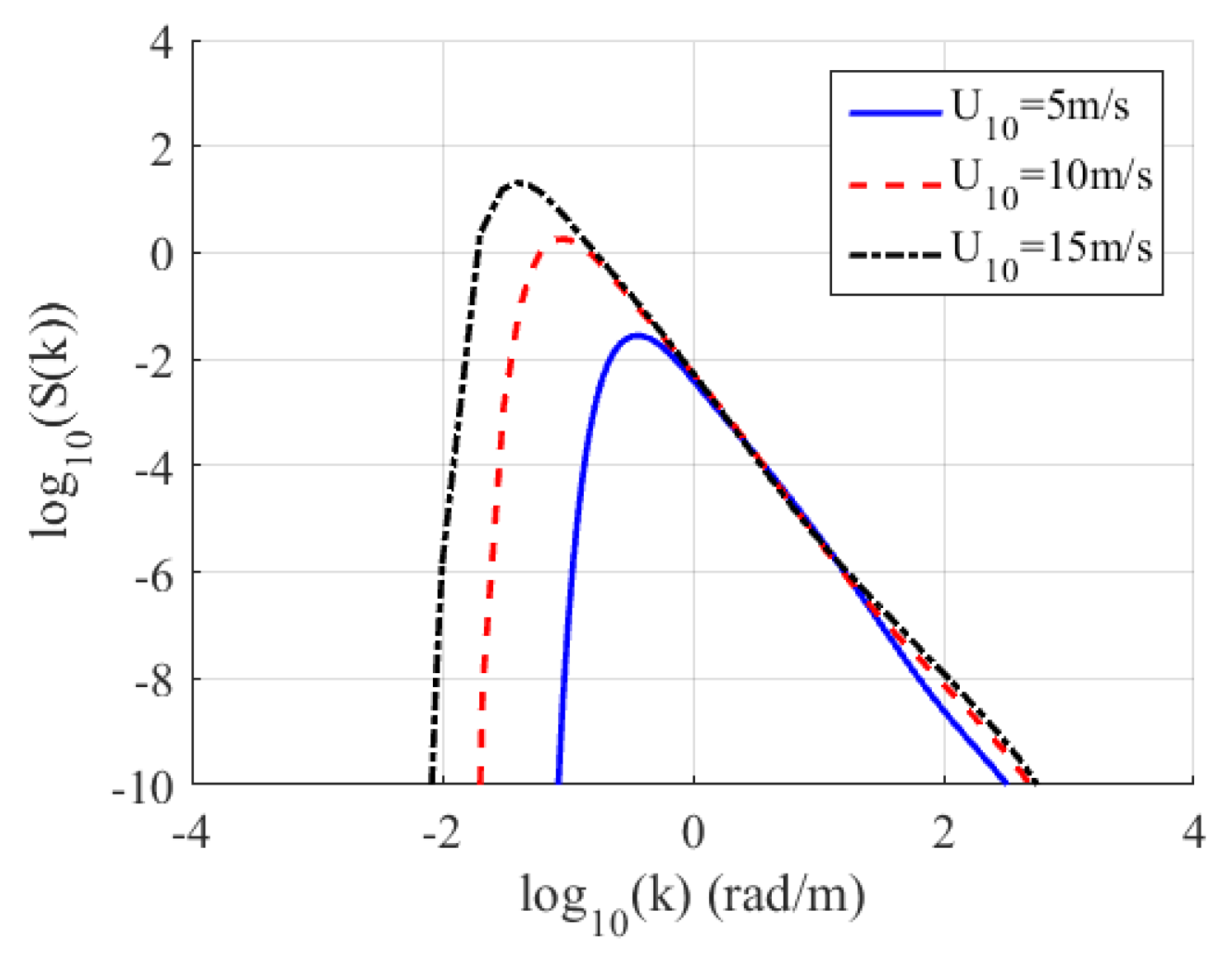
3.1. Sea Spectrum
3.2. The Foam-Covered Sea Surface
3.3. The Dielectric Constant of Sea Surface Covered with Foam
4. Electromagnetic Calculation Method
4.1. The Modified Facet-Based Two-Scale Model
4.2. The Foam Layer Scattering Model
5. Numerical Results and Discussion
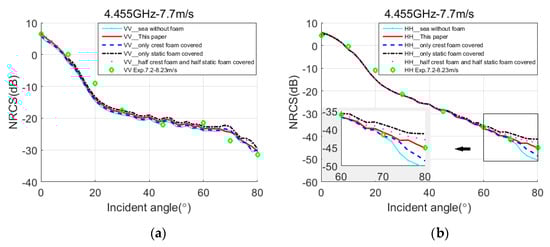
5.1. Comparison with Measured Data at Level 3 Sea State
5.2. Comparison with Measured Data at Level 4 Sea State
5.3. Comparison with Measured Data at Level 5 Sea State
5.4. Comparison with Measured Data at Level 6 Sea State
5.5. Discussion
6. Conclusions
Author Contributions
Funding
Acknowledgments
Conflicts of Interest
Appendix A
Appendix B
Appendix C
References
- Nordberg, W.; Conaway, J.; Ross, D.B. Measurements of Microwave Emission from a Foam-Covered Wind-Driven Sea. J. Atmos. Sci. 1971, 28, 429–435. [Google Scholar] [CrossRef]
- Goldstein, H. Attenuation by Condensed Water. In Propagation of Short Radio Waves; Kerr, D.E., Ed.; McGraw-Hill: New York, NY, USA, 1951. [Google Scholar]
- Martin, S. An Introduction to Ocean Remote Sensing; Cambridge University Press: Cambridge, UK, 2004. [Google Scholar]
- Raizer, V. Microwave Scattering Model of Sea Foam. In Proceedings of the IEEE International Geoscience and Remote Sensing Symposium (IGRSS), Munich, Germany, 22–27 July 2012; pp. 5836–5839. [Google Scholar]
- Droppleman, J.D. Apparent microwave emissivity of sea foam. J. Geophys. Res. 1970, 75, 696–698. [Google Scholar] [CrossRef]
- Rosencratz, P.W.; Staelin, D.H. The microwave emissivity of ocean foam and its effect on nadiral radiometric measurements. J. Geophys. Res. 1972, 77, 6528–6538. [Google Scholar]
- Anguelova, M.D.; Gaiser, P.W. Dielectric and Radiative Properties of Sea Foam at Microwave Frequencies: Conceptual Understanding of Foam Emissivity. Remote Sens. 2012, 4, 1162–1189. [Google Scholar] [CrossRef]
- Zhou, L.; Tsang, L. Polarimetric passive microwave remote sensing of wind vectors with foam-covered rough ocean surfaces. Radio Sci. 2003, 38, 1073–1086. [Google Scholar] [CrossRef]
- Guo, J.; Tsang, L. Applications of Dense Media Radiative Transfer Theory for Passive Microwave Remote Sensing of Foam Covered Ocean. IEEE Trans. Geosci. Remote Sens. 2001, 39, 1019–1027. [Google Scholar] [CrossRef]
- Kaimykov, A.I.; Pustovoytenkov, V.V. On polarization features of radio signals scattered from the sea at small grazing angles. J. Geophys. Res. 1976, 81, 1960–1964. [Google Scholar] [CrossRef]
- Lyzenga, D.R.; Maffett, A.I.; Shuchman, R.A. The contribution of wedge scattering to the radar cross section of the ocean surface. IEEE Trans. Geosci. Remote Sens. 1983, 21, 502–505. [Google Scholar] [CrossRef]
- Churyumov, A.N.; Kravtsov, Y.A. Microwave backscatter from mesoscale breaking waves on the sea surface. Waves Random Media 2002, 10, 1–15. [Google Scholar] [CrossRef]
- Kudryavtsev, V.; Hauser, D.; Caudal, G. A semi-empirical model of the normalized radar cross section of the sea surface:1. the background model. J. Geophys. Res. 2003, 108, 1–24. [Google Scholar]
- Kudryavtsev, V.; Hauser, D.; Caudal, G. A semi-empirical model of the normalized radar cross section of the sea surface: surface: 2. radar modulation transfer function. J. Geophys. Res. 2003, 108, 1–16. [Google Scholar]
- West, J.C.; Zhao, Z.Q. Electromagnetic modeling of multipath scattering from breaking water waves with rough faces. IEEE Trans. Geosci. Remote Sens. 2002, 40, 583–592. [Google Scholar] [CrossRef]
- Li, J.X.; Zhang, M.; Fan, W.N.; Nie, D. Facet-Based Investigation on Microwave Backscattering From Sea Surface With Breaking Waves: Sea Spikes and SAR Imaging. IEEE Trans. Geosci. Remote Sens. 2017, 55, 2313–2325. [Google Scholar] [CrossRef]
- Monahan, E. Oceanic whitecaps. J. Phys. Oceanogr. 1971, 1, 139–144. [Google Scholar] [CrossRef]
- Monahan, E.; Woolf, D.K. Comments on variations of whitecap coverage with wind stress and water temperature. J. Phys. Oceanogr. 1989, 19, 706–709. [Google Scholar] [CrossRef]
- Sharkov, Y.A. Experimental investigations of the lifetime for breaking wave dispersive zone. Izv. Atmos. Ocean. Phys. 1995, 30, 808–811. [Google Scholar]
- Reising, S.C.; Asher, W.E.; Rose, L.A. Polarimetric emissivity of whitecaps experiment (POEWEX): Preliminary results. In WindSat Science Workshop, November; Noesis, Inc.: Arlington, VA, USA, 2002. [Google Scholar]
- Reul, N.; Chapron, B. A model of sea–foam thickness distribution for passive microwave remote sensing application. J. Geophys. Res. 2003, 108. [Google Scholar] [CrossRef]
- Anguelova, D.A.; Gaiser, W.G. Microwave emissivity of sea foam layers with vertically inhomogeneous dielectric properties. Remote Sens. Environ. 2013, 139, 81–96. [Google Scholar]
- Daley, J.C.; Ransone, J.R.; Burkett, J.A. Radar Sea Return-JOSS I; U.S. Naval Research Laboratory: Washington, DC, USA, 1971. [Google Scholar]
- Daley, J.C.; Davis, W.T.; Mills, N.R. Radar Sea Return-high Sea States; U.S. Naval Research Laboratory: Washington, DC, USA, 1970. [Google Scholar]
- Hwang, P.A. Foam and roughness effects on passive microwave remote sensing of the ocean. IEEE Trans. Geosci. Remote Sens. 2012, 50, 2978–2985. [Google Scholar] [CrossRef]
- Hwang, P.A.; Reul, N.; Meissner, T.; Yueh, S.H. Whitecap and Wind Stress Observations by Microwave Radiometers: Global Coverage and Extreme Conditions. J. Phys. Oceanogr. 2019, 49, 2291–2307. [Google Scholar] [CrossRef]
- Callaghan, A.H.; Leeuw, G.D.; Cohen, L.H.; O’Dowd, C.D. The relationship of oceanic whitecap coverage to wind speed and wind history. J. Geophys. Res. Lett. 2008, 35. [Google Scholar] [CrossRef]
- Meissner, T.; Wentz, F.J. Wind-vector retrievals under rain with passive satellite microwave radiometers. IEEE Trans. Geosci. Remote Sens. 2009, 47, 3065–3083. [Google Scholar] [CrossRef]
- Anguelova, M.D.; Webster, F. Whitecap coverage from satellite measurements: A first step toward modeling the variability of oceanic whitecaps. J. Geophys. Res. 2006, 111. [Google Scholar] [CrossRef]
- Sugihara, Y.H.; Tsumori, T.; Yoshioka, O.H.; Serizawa, S. Variation of whitecap coverage with wave-field conditions. J. Mar. Syst. 2007, 66, 47–60. [Google Scholar] [CrossRef]
- Lafon, C.; Piazzola, J.; Forget, P.; Despiau, S. Whitecap coverage in coastal environment for steady and unsteady wave field conditions. J. Mar. Syst. 2007, 66, 38–46. [Google Scholar] [CrossRef]
- Elfouhaily, T.; Chapron, B.; Katsaros, K. A unified directional spectrum for long and short wind-driven waves. J. Geophys. Res. 1997, 102, 15781–15796. [Google Scholar] [CrossRef]
- Creamer, D.B.; Henyey, F.; Schult, R.; Wright, J. Improved linear representation of sea surface waves. J. Fluid Mech. 1989, 205, 135–161. [Google Scholar] [CrossRef]
- Longuet-Higgins, M.S. Integral properties of periodic gravity waves of finite amplitude. Proc. R. Soc. Lond. 1975, 342, 157–174. [Google Scholar]
- McLean, J.W.; Ma, Y.C.; Martin, D.U.; Saffman, P.G.; Yuen, H.C. Three-dimensional instability of finite-amplitude water waves. Phys. Rev. Lett. 1981, 46, 817–820. [Google Scholar] [CrossRef]
- Phillips, O.M.; Banner, M.L. Wave breaking in the presence of wind drift and swell. J. Fluid Mech. 1974, 66, 625–640. [Google Scholar] [CrossRef]
- Stokes, G.G. On the theory of oscillatory waves. Trans. Camb. Philos. Soc. 1847, 8, 441–455. [Google Scholar]
- Longuet-Higgins, M.S.; Fox, M.J.H. Theory of the almost-highest wave: The inner solution. J. Fluid Mech. 1977, 80, 721–741. [Google Scholar] [CrossRef]
- Meissner, T.; Wentz, J. The complex dielectric constant of pure and sea water from microwave satellite observations. IEEE Trans. Geosci. Remote Sens. 2004, 42, 1836–1849. [Google Scholar] [CrossRef]
- Ruppin, R. Evaluation of extended Maxwell-Garnett Theories. Opt. Commun. 2000, 182, 273–279. [Google Scholar] [CrossRef]
- Li, D.F.; Zhao, Z.Q.; Zhao, Y.W.; Huang, Y.; Liu, Q.H. An Improved Facet-Based Two-scale model for Electromagnetic Scattering from Sea Surface and Wave breaking. In Proceedings of the IEEE Radar Conference, Boston, MA, USA, 22–26 April 2019; pp. 1–4. [Google Scholar]
- Kozlov, A.; Ligthart, I.; Logvin, L.; Besieris, P.; Pusone, M. Mathematical and Physical Modelling of Microwave Scattering and Polarimetric Remote Sensing; Springer: Dordrecht, The Netherlands, 2002; Volume 3. [Google Scholar]
- Fung, A.K. Microwave Scattering and Emission Models and Their Applications; Artech House: Norwood, MA, USA, 1994. [Google Scholar]
- Bourlier, C.; Berginc, G.; Saillard, J. One- and two- dimentional shadowing functions for any height and slope stationary uncorrelated surface in the monostatic and bistatic configurations. IEEE Trans. Antennas Propag. 2002, 50, 312–324. [Google Scholar] [CrossRef]
- Cox, C.; Munk, M. Statistics of the sea surface derived from sun glitter. J. Mar. Res. 1954, 13, 198–227. [Google Scholar]
- Voronovich, A.G. On the theory of electromagnetic waves scattering from the sea surface at low grazing angles. Radio Sci. 1996, 31, 1519–1530. [Google Scholar] [CrossRef]
- Li, D.F.; Zhao, Z.Q.; Qi, C.H.; Huang, Y.; Zhao, Y.W.; Nie, Z.P. An Improved Two-Scale Model for Electromagnetic Backscattering from Sea Surface. IEEE Geosci. Remote Sens. Lett. 2019, 1–5. [Google Scholar] [CrossRef]












© 2020 by the authors. Licensee MDPI, Basel, Switzerland. This article is an open access article distributed under the terms and conditions of the Creative Commons Attribution (CC BY) license (http://creativecommons.org/licenses/by/4.0/).
Share and Cite
Li, D.; Zhao, Z.; Zhao, Y.; Huang, Y.; Nie, Z. A Modified Model for Electromagnetic Scattering of Sea Surface Covered with Crest Foam and Static Foam. Remote Sens. 2020, 12, 788. https://doi.org/10.3390/rs12050788
Li D, Zhao Z, Zhao Y, Huang Y, Nie Z. A Modified Model for Electromagnetic Scattering of Sea Surface Covered with Crest Foam and Static Foam. Remote Sensing. 2020; 12(5):788. https://doi.org/10.3390/rs12050788
Chicago/Turabian StyleLi, Dongfang, Zhiqin Zhao, Yanwen Zhao, Yuan Huang, and Zaiping Nie. 2020. "A Modified Model for Electromagnetic Scattering of Sea Surface Covered with Crest Foam and Static Foam" Remote Sensing 12, no. 5: 788. https://doi.org/10.3390/rs12050788
APA StyleLi, D., Zhao, Z., Zhao, Y., Huang, Y., & Nie, Z. (2020). A Modified Model for Electromagnetic Scattering of Sea Surface Covered with Crest Foam and Static Foam. Remote Sensing, 12(5), 788. https://doi.org/10.3390/rs12050788
