Coastal Turbidity Derived From PROBA-V Global Vegetation Satellite
Abstract
1. Introduction
2. Materials and Methods
2.1. Study Area
2.2. PROBA-V Mission
2.3. PROBA-V Processing
2.3.1. Atmospheric Correction
2.3.2. Turbidity Algorithm
2.4. Validation
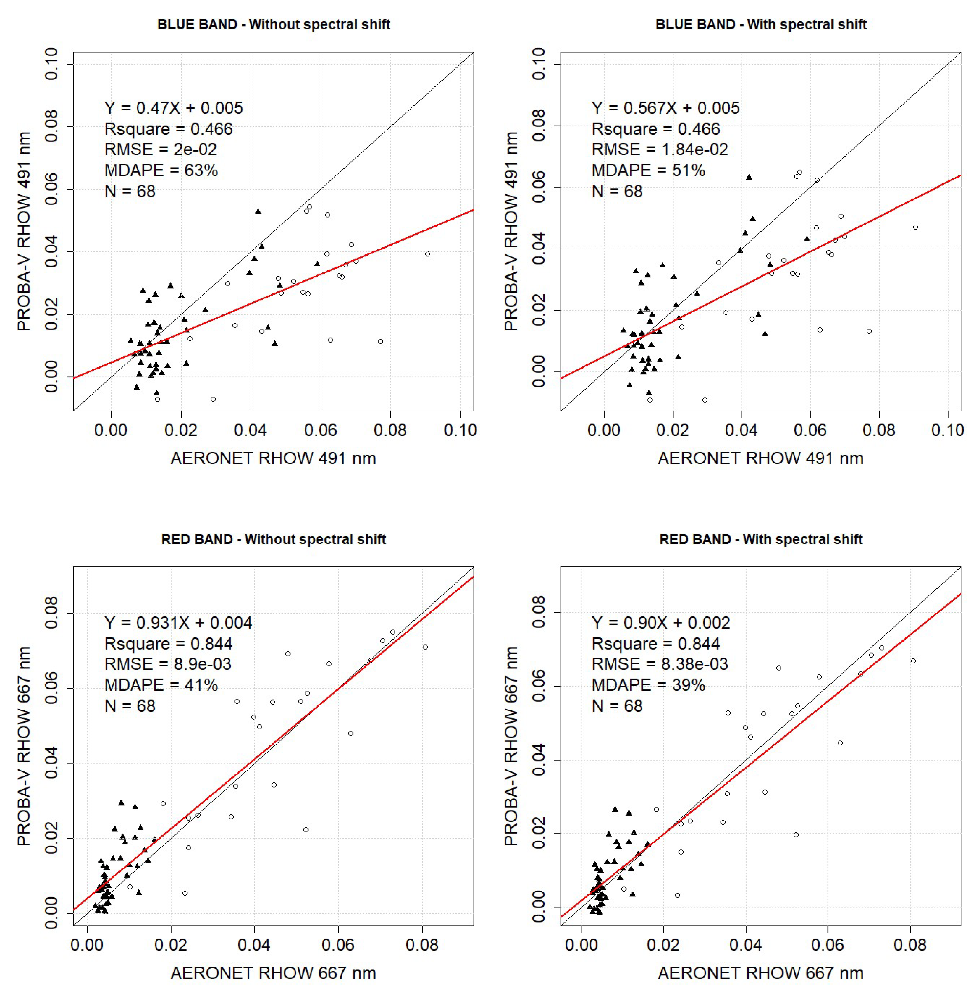
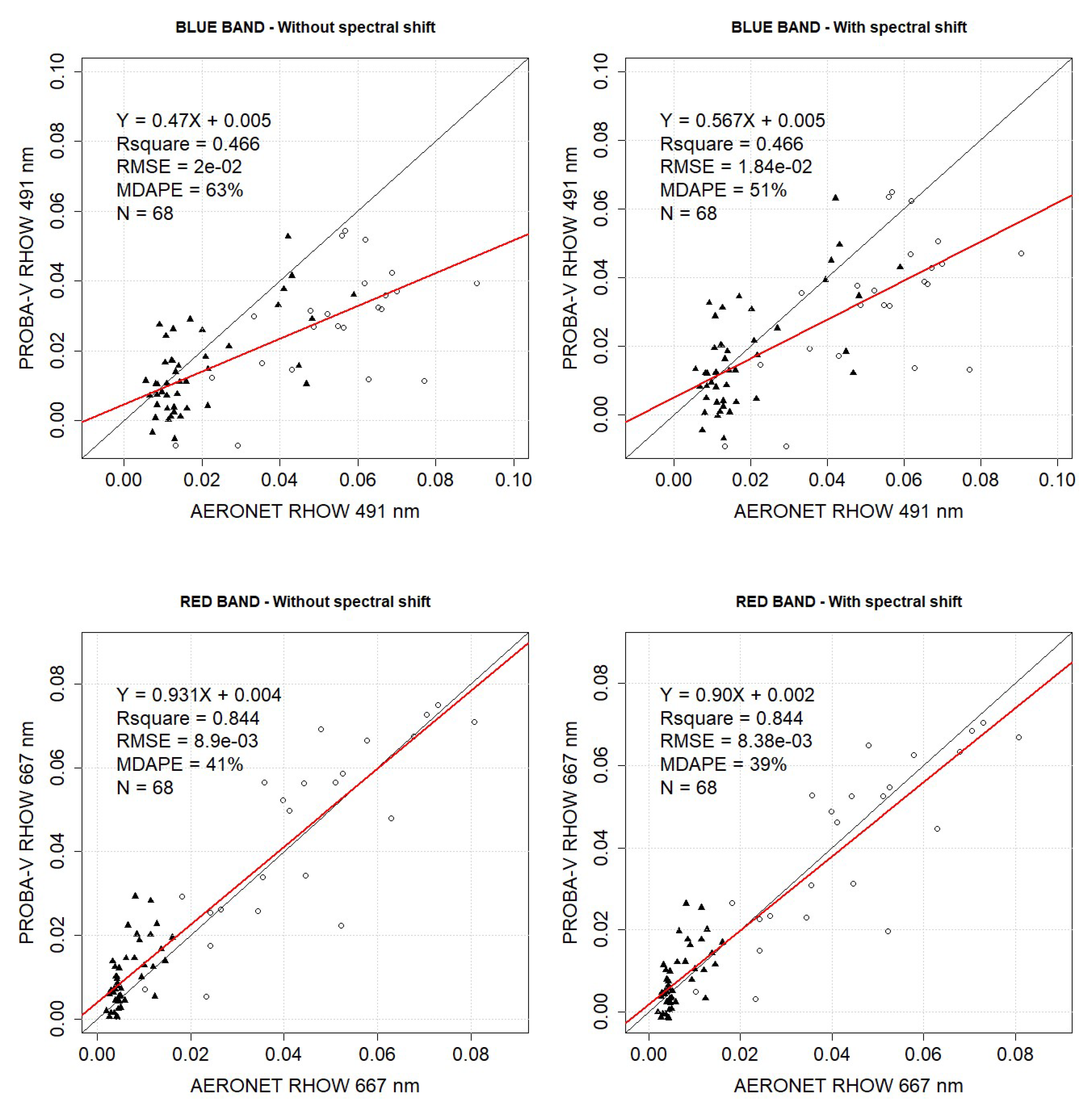
2.4.1. Water leaving Radiance Reflectance Validation with AERONET-OC
2.4.2. Turbidity Validation with In-Situ Measurements
CEFAS SmartBuoys
Field Measurements
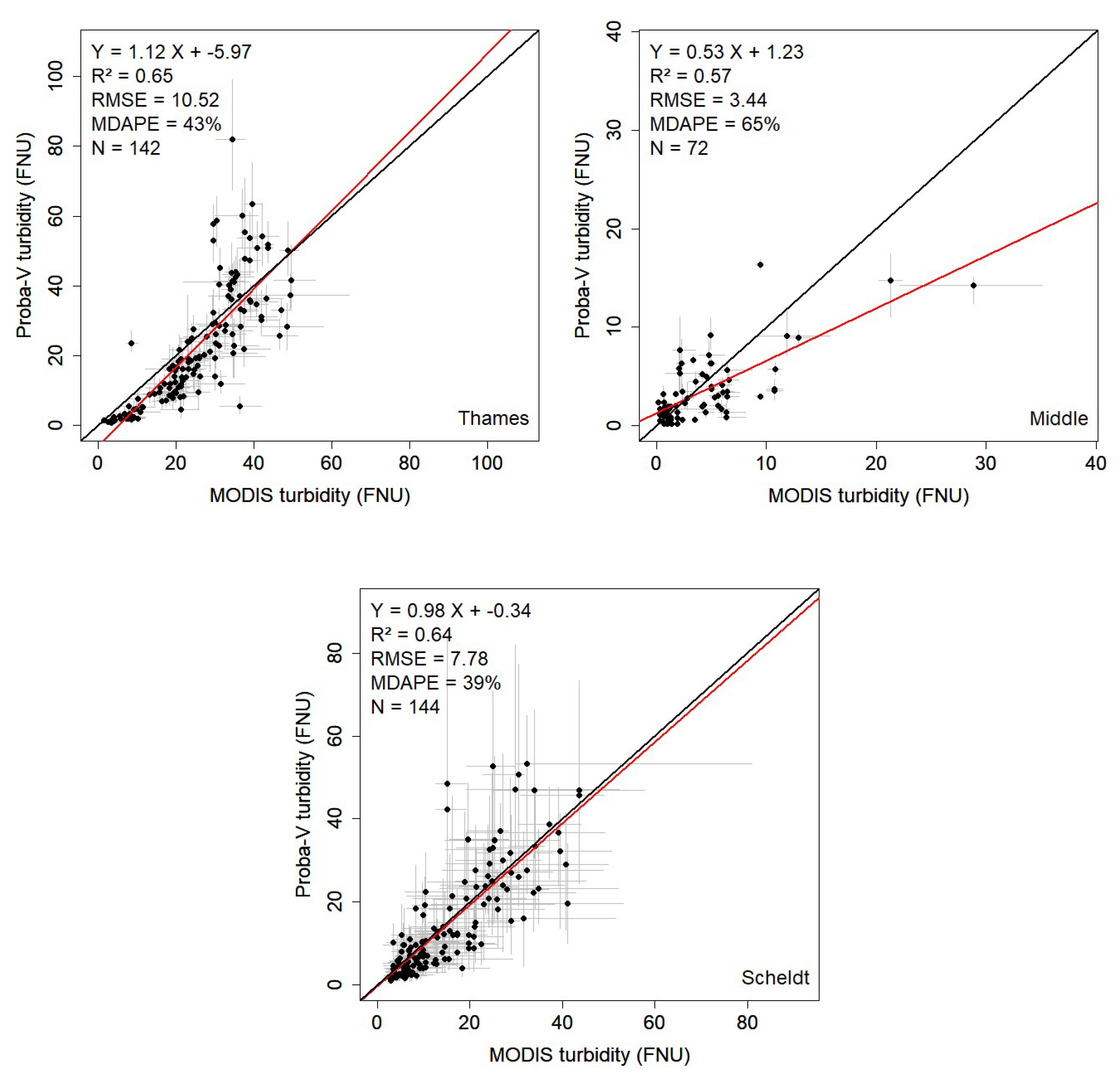
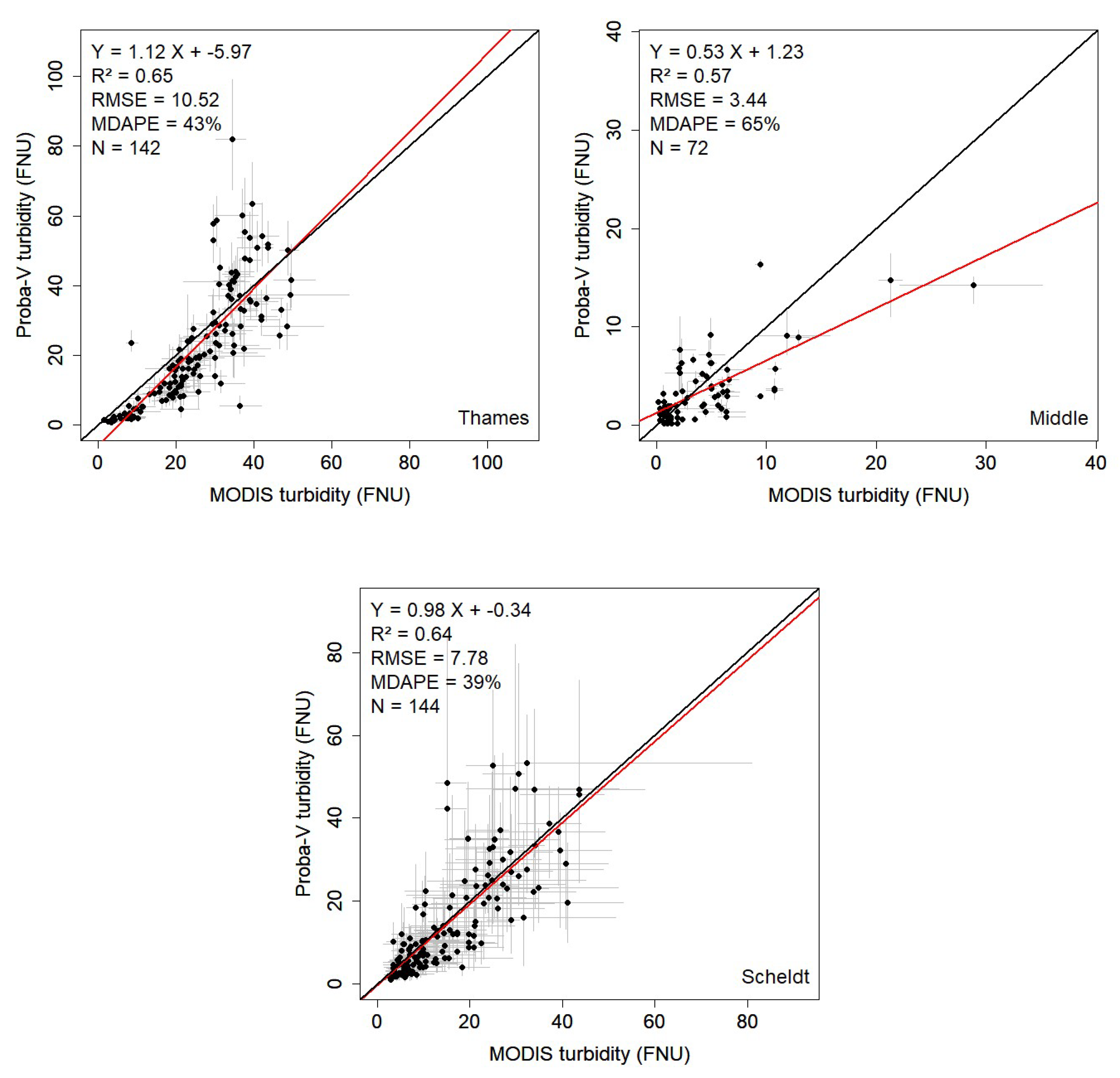
2.4.3. Turbidity Intercomparison with MODIS
MODIS Processing
Time Series Intercomparison
3. Results
3.1. Water Leaving Radiance Reflectance Validation with AERONET-OC
3.2. Turbidity Validation with In-Situ Measurements
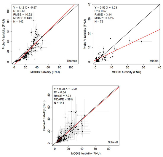
3.3. Turbidity Intercomparison with MODIS
4. Discussion
5. Conclusions
Author Contributions
Funding
Acknowledgments
Conflicts of Interest
References
- Dogliotti, A.; Ruddick, K.; Nechad, B.; Doxaran, D.; Knaeps, E. A single algorithm to retrieve turbidity from remotely-sensed data in all coastal and estuarine waters. Remote Sens. Environ. 2015, 156, 157–168. [Google Scholar] [CrossRef]
- Nechad, B.; Ruddick, K.; Neukermans, G. Calibration and validation of a generic multisensor algorithm for mapping of turbidity in coastal waters. Proc. SPIE 2009, 7473, 1–11. [Google Scholar] [CrossRef]
- Petus, C.; Chust, G.; Gohin, F.; Doxaran, D.; Froidefond, J.M.; Sagarminaga, Y. Estimating turbidity and total suspended matter in the Adour River plume (South Bay of Biscay) using MODIS 250-m imagery. Cont. Shelf Res. 2010, 30, 379–392. [Google Scholar] [CrossRef]
- Moreno-Madrinan, M.J.; Al-Hamdan, M.Z.; Rickman, D.L.; Muller-Karger, F.E. Using the Surface Reflectance MODIS Terra Product to Estimate Turbidity in Tampa Bay, Florida. Remote Sens. 2010, 2, 2713–2728. [Google Scholar] [CrossRef]
- Constantin, S.; Doxaran, D.; Constantinescu, S. Estimation of water turbidity and analysis of its spatio-temporal variability in the Danube River plume (Black Sea) using MODIS data. Cont. Shelf Res. 2016, 112, 14–30. [Google Scholar] [CrossRef]
- Vanhellemont, Q.; Greenwood, N.; Ruddick, K. Validation of MERIS-derived turbidity and PAR attenuation using autonomous buoy data. In Proceedings of the 2013 European Space Agency Living Planet Symposium, Edinburgh, UK, 8–13 September 2013. [Google Scholar]
- Gohin, F. Annual cycles of chlorophyll-a, non-algal suspended particulate matter, and turbidity from space and in-situ in coastal waters. Ocean Sci. 2011, 7, 705–732. [Google Scholar] [CrossRef]
- Kyryliuk, D.; Kratzer, S. Evaluation of Sentinel-3A OLCI products derived using the Case-2 Regional CoastColour processor over the Baltic Sea. Sensors 2019, 19, 3609. [Google Scholar] [CrossRef]
- Neukermans, G.; Ruddick, K.; Greenwood, N. Diurnal variability of turbidity and light attenuation in the southern North Sea from the SEVIRI geostationary sensor. Remote Sens. Environ. 2012, 124, 564–580. [Google Scholar] [CrossRef]
- Vanhellemont, Q.; Ruddick, K. Turbid wakes associated with offshore wind turbines observed with Landsat 8. Remote Sens. Environ. 2014, 145, 105–115. [Google Scholar] [CrossRef]
- Liu, L.W.; Wang, Y.M. Modelling reservoir turbidity using Landsat-8 satellite imagery by gene expression programming. Water 2019, 11, 1479. [Google Scholar] [CrossRef]
- Kuhn, C.; Valerio, A.M.; Ward, N.; Loken, L.; Sawakuchi, H.O.; Kampel, M.; Richey, J.; Stadler, P.; Crawford, J.; Strieg, R.; et al. Performance of Landsat-8 and Sentinel-2 surface reflectance products for river remote sensing retrievals of chlorophyll-a and turbidity. Remote Sens. Environ. 2019, 224, 104–118. [Google Scholar] [CrossRef]
- Caballero, I.; Steinmetz, F.; Navarro, G. Evaluation of the first year of operational Sentinel-2A data for retrieval of suspended solids in medium-to high-turbidity waters. Remote Sens. 2018, 10, 982. [Google Scholar] [CrossRef]
- Bresciani, M.; Giardino, C.; Stroppiana, D.; Dessena, M.A.; Buscarinu, P.; Cabras, L.; Schenk, K.; Heege, T.; Bernet, H.; Bazdanis, G.; et al. Monitoring water quality in two dammed reservoirs from multispectral satellite data. Eur. J. Remote Sens. 2019, 52, 113–122. [Google Scholar] [CrossRef]
- Sterckx, S.; Benhadj, I.; Duhoux, G.; Livens, S.; Dierckx, W.; Goor, E.; Adriaensen, S.; Heyns, W.; Van Hoof, K.; Strackx, G.; et al. The PROBA-V mission: Image processing and calibration. Int. J. Remote Sens. 2014, 35, 2565–2588. [Google Scholar] [CrossRef]
- Knaeps, E.; Sterckx, S.; Bhatia, N.; Bi, Q.; Monbaliu, J.; Toorman, E.; Cattrrijsse, A.; De Keukelaere, K. Coastal Turbidity Monitoring using the PROBA-V Satellite. In Proceedings of the Coastal Dynamics 2017 Conference, Helsingør, Denmark, 12–16 June 2017; p. 19. [Google Scholar]
- Anthony, E.J. Storms, shoreface morphodynamics, sand supply, and the accretion and erosion of coastal dune barriers in the southern North Sea. Geomorphology 2013, 199, 8–21. [Google Scholar] [CrossRef]
- Capuzzo, E.; Stephens, D.; Silva, T.; Barry, J.; Forster, R.M. Decrease in water clarity of the southern and central North Sea during the 20th century. Global Change Biol. 2015, 21, 2206–2214. [Google Scholar] [CrossRef] [PubMed]
- Fettweis, M.; Nechad, B.; Van den Eynde, D. An estimate of the suspended particulate matter (SPM) transport in the southern North Sea using SeaWiFS images, in situ measurements and numerical model results. Cont. Shelf Res. 2007, 27, 1568–1583. [Google Scholar] [CrossRef]
- Lee, B.J.; Fettweis, M.; Toorman, E.; Moltz, F. Multimodality of a particle size distribution of cohesive suspended particulate matters in a coastal zone. J. Geophys. Res. 2012, 117, 1–17. [Google Scholar] [CrossRef]
- Shen, X.; Toorman, E.A.; Lee, B.J.; Fettweis, M. Biophysical flocculation of suspended particulate matters in Belgian coastal zones. J. Hydrol. 2018, 567, 238–252. [Google Scholar] [CrossRef]
- Wolters, E.; Dierckx, W.; Iordache, M.D.; Swinnen, E. PROBA-V Products User Manual V 3.01. 2018, v3.01, pp. 1–100. Available online: http://proba-v.vgt.vito.be/sites/proba-v.vgt.vito.be/files/products_user_manual.pdf (accessed on 29 January 2020).
- Dierckx, W.; Sterckx, S.; Benhadj, I.; Livens, S.; Duhoux, G.; Van Achteren, T.; Francois, M.; Mellab, K.; Saint, G. PROBA-V mission for global vegetation monitoring: Standard products and image quality. Int. J. Remote Sens. 2014, 35, 2589–2614. [Google Scholar] [CrossRef]
- De Keukelaere, L.; Sterckx, S.; Adriaensen, S.; Knaeps, E.; Reusen, I.; Giardino, C.; Bresciani, M.; Hunter, P.; Neil, C.; Van der Zande, D.; et al. Atmospheric correction of Landsat-8/OLI and Sentinel-2/MSI data using iCOR algorithm: Validation for coastal and inland waters. Eur. J. Remote Sens. 2018, 51, 525–542. [Google Scholar] [CrossRef]
- Maisongrande, P.; Duchemin, B.; Dedieu, G. VEGETATION/SPOT: An operational mission for the Earth monitoring; presentation of new standard products. Int. J. Remote Sens. 2004, 25, 9–14. [Google Scholar] [CrossRef]
- Berk, A.; Anderson, G.P.; Acharya, P.K.; Bernstein, L.S.; Muratov, L.; Lee, L.; Fox, M.; Adler-Golden, S.M.; Chetwynd, J.H.; Hoke, M.L.; et al. MODTRAN5: 2006 Update. Proc. SPIE 2006, 6233, 1–8. [Google Scholar] [CrossRef]
- Vanhellemont, Q.; Ruddick, K. Advantages of high quality SWIR bands for ocean colour processing: Examples from Landsat-8. Remote Sens. Environ. 2015, 161, 89–106. [Google Scholar] [CrossRef]
- Wang, M.; Shi, W.; Jiang, L. Atmospheric correction using near-infrared bands for satellite ocean color data processing in the turbid western Pacific region. Opt. Express 2012, 20, 741–753. [Google Scholar] [CrossRef]
- Zibordi, G.; Holben, B.; Slutsker, I.; Giles, D.; D’Alimonte, D.; Mélin, F.; Berthon, J.-F.; Vandemarkn, D.; Feng, H.; Schuster, G.; et al. AERONET-OC: A network for the validation of ocean color primary products. J. Atmos. Ocean Technol. 2009, 26, 1634–1651. [Google Scholar] [CrossRef]
- Thuillier, G.; Hers, M.; Simon, P.C.; Labs, D.; Mandel, H.; Gillotay, D. Observation of the solar spectral irradiance from 200 nm to 870 nm during the ATLAS 1 and ATLAS 2 missions by the SOLSPEC spectrometer. Metrologia 2003, 35, 689–695. [Google Scholar] [CrossRef]
- Bailey, S.; Werdell, P.J. A multi-sensor approach for the on-orbit validation of ocean color satellite data products. Remote Sens. Environ. 2006, 102, 12–23. [Google Scholar] [CrossRef]
- Gordon, H.R.; Clark, D.K.; Brown, J.W.; Brown, O.B.; Evans, R.H.; Broenkow, W.W. Phytoplankton pigment concentrations in the Middle Atlantic Bight: Comparison of ship determinations and CZCS estimates. Appl. Opt. 1983, 22, 20–36. [Google Scholar] [CrossRef]
- Nechad, B.; Ruddick, K.; Schroeder, T.; Oubelkheir, K.; Blondeau-Patissier, D.; Cherukuru, N.; Brando, V.; Dekker, A.; Clementson, L.; Banks, A.C.; et al. CoastColour Round Robin data sets: A database to evaluate the performance of algorithms for the retrieval of water quality parameters in coastal waters. Earth Syst. Sci. Data 2015, 7, 319–348. [Google Scholar] [CrossRef]
- Mobley, C.D. Estimation of the remote-sensing reflectance from above-surface measurements. Appl. Opt. 1999, 38, 7442. [Google Scholar] [CrossRef] [PubMed]
- Ruddick, K.; De Cauwer, V.; Park, Y.-J.; Moore, G. Seaborne measurements of near infrared water-leaving reflectance: The similarity spectrum for turbid waters. Limnol. Oceanogr. 2006, 5, 1167–1179. [Google Scholar] [CrossRef]
- Mills, D.K.; Laane, R.W.P.M.; Rees, J.M.; van der Looef, M.R.; Suylen, J.M.; Pearce, D.J.; Sivyer, D.B.; Heins, C.; Platt, K.; Rawlinson, M. Smartbuoy: A marine environmental monitoring buoy with a difference. Elsevier Oceanogr. Ser. 2003, 69, 311–316. [Google Scholar] [CrossRef]
- Fettweis, M.; Nechad, B. Evaluation of in situ and remote sensing sampling methods for SPM concentrations, Belgian continental shelf (southern North Sea). Ocean Dyn. 2011, 61, 157–171. [Google Scholar] [CrossRef]
- Gordon, H.R.; Wang, M. Retrieval of water-leaving radiance and aerosol optical thickness over the oceans with SeaWiFS: A preliminary algorithm. Appl. Opt. 1994, 33, 443–452. [Google Scholar] [CrossRef]
- Shi, W.; Wang, M. Detection of turbid waters and absorbing aerosols for the MODIS ocean color data processing. Remote Sens. Environ. 2007, 110, 149–161. [Google Scholar] [CrossRef]
- Bailey, S.W.; Franz, B.A.; Werdell, P.J. Estimation of near-infrared water-leaving reflectance for satellite ocean color data processing. Opt. Express 2010, 18, 7521–7527. [Google Scholar] [CrossRef]
- Stumpf, R.P.; Werdell, P.J.; Arnone, R.A.; Gould, R.W.; Ransibrahmanakul, V. A partly coupled ocean–atmosphere model for retrieval of water-leaving radiance from SeaWiFS in coastal waters. NASA Tech. Memo. 2003, 206892, 51–59. [Google Scholar]
- Mobley, C.D.; Werdell, J.; Franz, B.; Ahmad, Z.; Bailey, S. Atmospheric Correction for Satellite Ocean Color Radiometry; NASA/TM–2016-217551; NASA Goddard Space Flight Center: Greenbelt, MD, USA, 1 July 2016.
- Fettweis, M.; Van den Eynde, D. The mud deposits and the high turbidity in the Belgian-Dutch coastal zone, southern bight of the North Sea. Cont. Shelf Res. 2003, 23, 669–691. [Google Scholar] [CrossRef]
- Eleveld, M.A. Wind-induced resuspension in a shallow lake from Medium Resolution Imaging Spectrometer (MERIS) full-resolution reflectances. Water Resour. Res. 2012, 48, 1–13. [Google Scholar] [CrossRef]
- Nurgiantoro, N.; Muliddin; Kurniadin, N.; Putra, A.; Azharuddin, M.; Hasan, J.; Hardianto; Langumadi, M. Assessment of atmospheric correction results by iCOR for MSI and OLI data on TSS concentration. In IOP Conf. Series: Earth Environment, Science, 389. Proceedings of the Geomatics International Conference, Surabaya, Indonesia, 21–22 August 2019; IOP Publishing Ltd.: Bristol, UK, 2019. [Google Scholar] [CrossRef]
- Warren, M.; Simis, S.; Martinez-Vicente, V.; Poser, K.; Bresciani, M.; Alikas, K.; Spyrakos, E.; Giardino, C.; Ansper, A. Assessment of atmospheric correction algorithms for the Sentinel-2A MultiSpectral Imager over coastal and inland waters. Remote Sens. Environ. 2019, 225, 267–289. [Google Scholar] [CrossRef]
- Kravitz, J.; Matthews, M.; Bernard, S.; Griffith, D. Application of Sentinel 3 OLCI for chl-a retrieval over small inland water targets: Successes and challenges. Remote Sens. Environ. 2020, 237, 1–21. [Google Scholar] [CrossRef]
- Wang, M. Aerosol polarization effects on atmospheric correction and aerosol retrievals in ocean color remote sensing. Appl. Opt. 2006, 45, 8951–8963. [Google Scholar] [CrossRef] [PubMed]
- Roesler, C.; Boss, E. In situ measurement of the inherent optical properties (IOPs) and potential for harmful algal bloom detection and coastal ecosystem observations. In Real-time Coastal Observing Systems for Marine Ecosystem Dynaimcs and Harmful Algal Blooms: Theory, Instrumentation and Modelling, 2nd ed.; Babin, M., Roesler, C., Cullen, J., Eds.; UNESCO: Paris, France, 2008; pp. 153–206. [Google Scholar]












| Band | Band Center (nm) | Bandwidth (nm) | SNR at Lref |
|---|---|---|---|
| B1—BLUE | 463 | 46 | 155 at 111 W m−2 sr−1 μm−1 |
| B2—RED | 655 | 79 | 430 at 110 W m−2 sr−1 μm−1 |
| B3—NIR | 845 | 144 | 529 at 101 W m−2 sr−1 μm−1 |
| B4—SWIR | 1600 | 73 | 380 at 20 W m−2 sr−1 μm−1 |
| Date | Location | Lat | Lon | In-Situ Sampling | PROBA-V Overpass |
|---|---|---|---|---|---|
| 2016-05-04 | Nieuwpoort | 51.175 | 2.714 | 10:33–12:19 | 11:38 |
| 2016-05-19 | Zeebrugge | 51.370 | 3.170 | 11:18–13:14 | 11:01 |
| 2016-07-20 | Zeebrugge | 51.371 | 3.172 | 09:08–10:08 | 11:35 |
| 2016-08-17 | Nieuwpoort | 51.167 | 2.706 | 11:00–11:17 | 11:11 |
| 2016-08-25 | Zeebrugge | 51.369 | 3.168 | 12:05–12:13 | 11:39 |
| 2016-09-14 | Nieuwpoort | 51.161 | 2.707 | 11:22–13:01 | 10:51 |
| 2017-03-16 | Zeebrugge | 51.737 | 3.164 | 13:23–14:54 | 10:01 |
| 2017-05-10 | Nieuwpoort | 51.164 | 2.686 | 09:41–10:57 | 11:29 |
© 2020 by the authors. Licensee MDPI, Basel, Switzerland. This article is an open access article distributed under the terms and conditions of the Creative Commons Attribution (CC BY) license (http://creativecommons.org/licenses/by/4.0/).
Share and Cite
De Keukelaere, L.; Sterckx, S.; Adriaensen, S.; Bhatia, N.; Monbaliu, J.; Toorman, E.; Cattrijsse, A.; Lebreton, C.; Van der Zande, D.; Knaeps, E. Coastal Turbidity Derived From PROBA-V Global Vegetation Satellite. Remote Sens. 2020, 12, 463. https://doi.org/10.3390/rs12030463
De Keukelaere L, Sterckx S, Adriaensen S, Bhatia N, Monbaliu J, Toorman E, Cattrijsse A, Lebreton C, Van der Zande D, Knaeps E. Coastal Turbidity Derived From PROBA-V Global Vegetation Satellite. Remote Sensing. 2020; 12(3):463. https://doi.org/10.3390/rs12030463
Chicago/Turabian StyleDe Keukelaere, Liesbeth, Sindy Sterckx, Stefan Adriaensen, Nitin Bhatia, Jaak Monbaliu, Erik Toorman, André Cattrijsse, Carole Lebreton, Dimitry Van der Zande, and Els Knaeps. 2020. "Coastal Turbidity Derived From PROBA-V Global Vegetation Satellite" Remote Sensing 12, no. 3: 463. https://doi.org/10.3390/rs12030463
APA StyleDe Keukelaere, L., Sterckx, S., Adriaensen, S., Bhatia, N., Monbaliu, J., Toorman, E., Cattrijsse, A., Lebreton, C., Van der Zande, D., & Knaeps, E. (2020). Coastal Turbidity Derived From PROBA-V Global Vegetation Satellite. Remote Sensing, 12(3), 463. https://doi.org/10.3390/rs12030463

