Application of Shore-Based Video and Unmanned Aerial Vehicles (Drones): Complementary Tools for Beach Studies
Abstract
1. Introduction
2. Study Area
3. Materials and Methods
3.1. Camera Video Data Collection
3.2. Orthophoto and DEM Generation from UAV Photogrammetry
4. Results
4.1. VCS Shorelines, Hydrodynamic, and Tide Data
4.2. UAV Data
4.3. Comparative Shoreline Locations from VCS and UAV Data
4.4. Erosion Rates
4.5. Beach Volume Changes
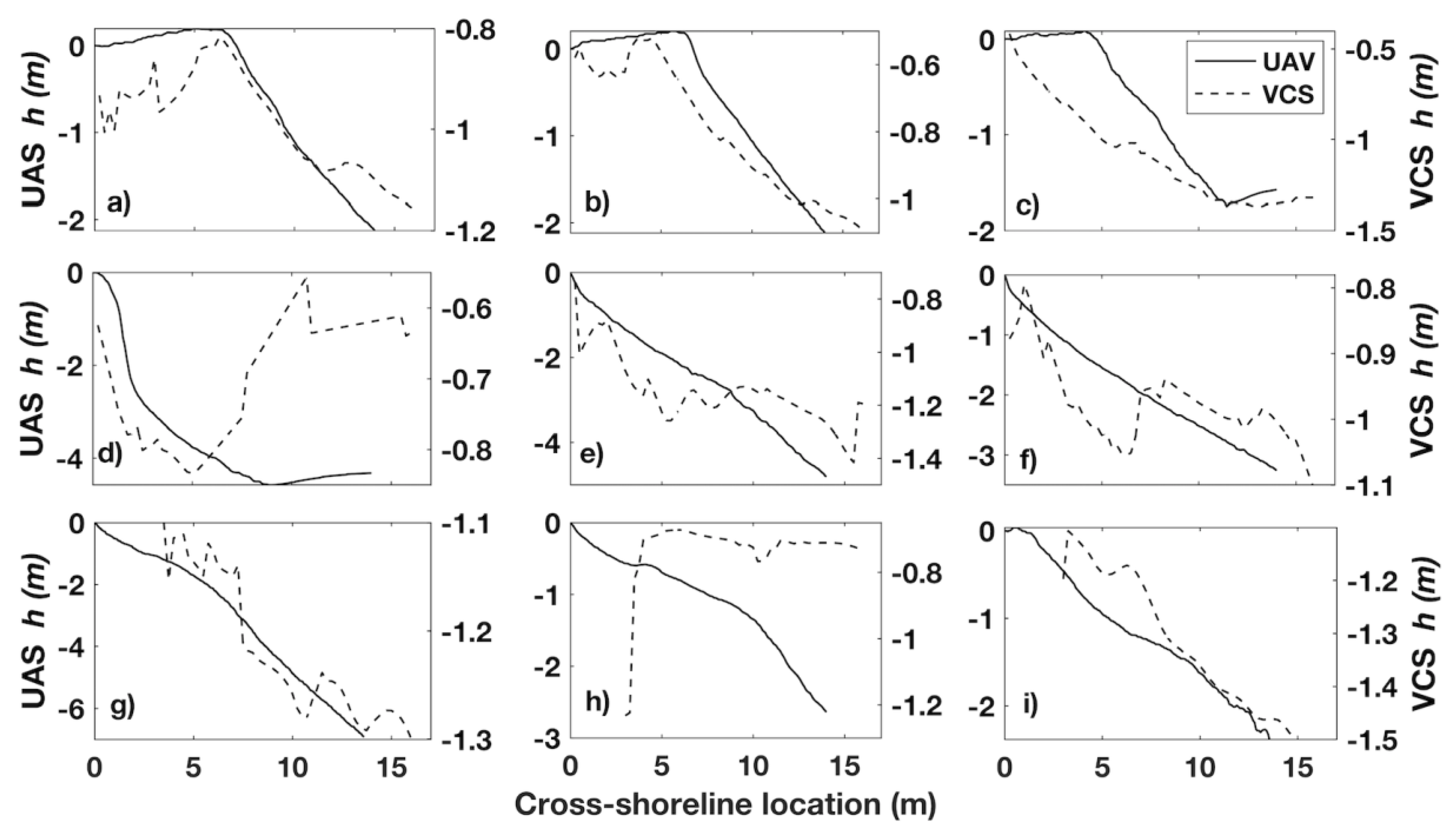
4.6. Intertidal Profile Characteristics from VCS and UAV Data
5. Discussion
6. Conclusions
Author Contributions
Funding
Acknowledgments
Conflicts of Interest
References
- Neshaei, M.A.L.; Mehrdad, M.A.; Abedimahzoon, N.; Asadollahi, N. Predicting beach profile evolution with group method data handling-type neural networks on beaches with seawalls. Front. Struct. Civ. Eng. 2013, 7, 117–126. [Google Scholar] [CrossRef]
- Peterson, C.H.; Bishop, M.J. Assessing the Environmental Impacts of Beach Nourishment. Bioscience 2005, 55, 887–896. [Google Scholar] [CrossRef]
- Dean, R.G.; Dalrymple, R.A. Coastal Processes with Engineering Applications; Cambridge University Press: Cambridge, UK, 2001. [Google Scholar]
- Angnuureng, B.D.; Appeaning Addo, K.; Wiafe, G. Impact of sea defense structures on downdrift coasts: The case of Keta in Ghana. Acad. J. Environ. Sci. 2013, 1, 104–121. [Google Scholar] [CrossRef]
- Jayson-Quashigah, P.N.; Appeaning Addo, K.; Kufogbe, S.K. Medium resolution satellite imagery as a tool for monitoring shoreline change. Case study of the Eastern coast of Ghana. J. Coast. Res. 2013, 65, 511–516. [Google Scholar] [CrossRef]
- Wiafe, G.; Boateng, I.; Appeaning Addo, K.; Quashigah, P.N.; Ababio, S.D.; Laryea, S.W. Handbook of Coastal Processes and Management in Ghana; The Choir Press: Gloucester, UK, 2013; p. 274. [Google Scholar]
- Holman, R.; Sallenger, A.; Lippmann, T.; Haines, J. The Application of Video Image Processing to the Study of Nearshore Processes. Oceanography 1993, 6, 78–85. [Google Scholar] [CrossRef]
- Holland, K.; Holman, R.; Lippmann, T.; Stanley, J.; Plant, N. Practical use of video imagery in nearshore oceanographic field studies. IEEE J. Ocean. Eng. 1997, 22, 81–92. [Google Scholar] [CrossRef]
- Anthony, E.J.; Gardel, A.; Dolique, F.; Guiral, D. Short-term changes in the plan shape of a sandy beach in response to sheltering by a nearshore mud bank, Cayenne, French Guiana. Earth Surf. Process. Landf. 2002, 27, 857–866. [Google Scholar] [CrossRef]
- Aarninkhof, S.G.; Turner, I.L.; Dronkers, T.D.; Caljouw, M.; Nipius, L. A video-based technique for mapping intertidal beach bathymetry. Coast. Eng. 2003, 49, 275–289. [Google Scholar] [CrossRef]
- Van Enckevort, I.; Ruessink, B. Video observations of nearshore bar behaviour. Part 1: Alongshore uniform variability. Cont. Shelf Res. 2003, 23, 501–512. [Google Scholar] [CrossRef]
- Van Dongeren, A.; Plant, N.; Cohen, A.; Roelvink, D.; Haller, M.C.; Catalán, P.; Van Dongeren, A. Beach Wizard: Nearshore bathymetry estimation through assimilation of model computations and remote observations. Coast. Eng. 2008, 55, 1016–1027. [Google Scholar] [CrossRef]
- Almar, R.; Ranasinghe, R.; Sénéchal, N.; Bonneton, P.; Roelvink, D.; Bryan, K.R.; Marieu, V.; Parisot, J.P. Video-Based Detection of Shorelines at Complex Meso–Macro Tidal Beaches. J. Coast. Res. 2012, 28, 1040–1048. [Google Scholar]
- Almar, R.; Hounkonnou, N.; Anthony, E.J.; Sénéchal, N.; Mensah-Senoo, T.; Degbe, G.; Quenum, M.; Dorel, M.; Chuchla, R.; Lefebvre, J.P.; et al. The Grand Popo beach 2013 experiment, Benin, West Africa: From short timescale processes to their integrated impact over long-term coastal evolution. J. Coast. Res. 2014, 70, 651–656. [Google Scholar] [CrossRef]
- Abessolo Ondoa, G.; Bonou, F.; Tomety, F.S.; Du Penhoat, Y.; Perret, C.; Degbe, C.G.E.; Almar, R. Beach Response to Wave Forcing from Event to Inter-Annual Time Scales at Grand Popo, Benin (Gulf of Guinea). Water 2017, 9, 447. [Google Scholar] [CrossRef]
- Angnuureng, D.B.; Addo, K.A.; Almar, R.; Dieng, H. Influence of sea level variability on a micro-tidal beach. Nat. Hazards 2018, 93, 1611–1628. [Google Scholar] [CrossRef]
- Angnuureng, D.B.; Jayson-Quashigah, P.N.; Addo, K.A.; Aheto, D.W.; Almar, R.; Bonou, F.; Brempong, E. Quantification of the shoreline evolution of an open beach between coastal defenses. In Proceedings of the 9th International Conference in Coastal Sediments, Petersburg, FL, USA, 27–31 May 2019; pp. 1562–1576. [Google Scholar]
- Bonou, F.; Angnuureng, D.B.; Sohou, Z.; Almar, R.; Alory, G.; Du Penhoat, Y. Shoreline and Beach Cusps Dynamics at the Low Tide Terraced Grand Popo Beach, Bénin (West Africa): A Statistical Approach. J. Coast. Res. 2018, 81, 138–144. [Google Scholar]
- Colomina, I.; Molina, P. Unmanned aerial systems for photogrammetry and remote sensing: A review. ISPRS J. Photogramm. Remote Sens. 2014, 92, 79–97. [Google Scholar] [CrossRef]
- Anderson, K.; Westoby, M.J.; James, M.R. Low-budget topographic surveying comes of age: Structure from motion photogrammetry in geography and the geosciences. Prog. Phys. Geogr. Earth Environ. 2019, 43, 163–173. [Google Scholar] [CrossRef]
- Klemas, V.V. Coastal and Environmental Remote Sensing from Unmanned Aerial Vehicles: An Overview. J. Coast. Res. 2015, 315, 1260–1267. [Google Scholar] [CrossRef]
- Bergsma, E.W.; Almar, R.; De Almeida, L.P.M.; Sall, M. On the operational use of UAVs for video-derived bathymetry. Coast. Eng. 2019, 152, 103527. [Google Scholar] [CrossRef]
- Brunier, G.; Fleury, J.; Anthony, E.J.; Gardel, A.; Dussouillez, P. Close-range airborne Structure-from-Motion Photogrammetry for high-resolution beach morphometric surveys: Examples from an embayed rotating beach. Geomorphology 2016, 261, 76–88. [Google Scholar] [CrossRef]
- Pitman, S.J.; Hart, D.E.; Katurji, M.H. Beach Cusp Morphodynamics on a Composite Beach Observed Using UAV Structure from Motion. In Proceedings of the Australian Coasts and Ports Conference, Hobart, Autralia, 10–13 September 2019. [Google Scholar]
- Laporte-Fauret, Q.; Marieu, V.; Castelle, B.; Michalet, R.; Bujan, S.; Rosebery, D. Low-Cost UAV for High-Resolution and Large-Scale Coastal Dune Change Monitoring Using Photogrammetry. J. Mar. Sci. Eng. 2019, 7, 63. [Google Scholar] [CrossRef]
- Agüera-Vega, F.; Carvajal-Ramírez, F.; Martínez-Carricondo, P. Assessment of photogrammetric mapping accuracy based on variation ground control points number using unmanned aerial vehicle. Measurement 2017, 98, 221–227. [Google Scholar] [CrossRef]
- Anthony, E.; Almar, R.; Aagaard, T. Recent shoreline changes in the Volta River delta, West Africa: The roles of natural processes and human impacts. Afr. J. Aquat. Sci. 2016, 41, 81–87. [Google Scholar] [CrossRef]
- Kutu, J.M. Seismic and Tectonic Correspondence of Major Earthquake Regions in Southern Ghana with Mid-Atlantic Transform-Fracture Zones. Int. J. Geosci. 2013, 4, 1326–1332. [Google Scholar] [CrossRef]
- Davies, J.L. Geographical Variation in Coastal Development, 2nd ed.; Longman: London, UK, 1980; p. 212. [Google Scholar]
- Almar, R.; Kestenare, E.; Reyns, J.; Jouanno, J.; Anthony, E.J.; Laibi, R.; Hemer, M.; Du Penhoat, Y.; Ranasinghe, R. Response of the Bight of Benin (Gulf of Guinea, West Africa) coastline to anthropogenic and natural forcing, Part 1: Wave climate variability and impacts on the longshore sediment transport. Cont. Shelf Res. 2015, 41, 81–87. [Google Scholar] [CrossRef]
- Boateng, I. Development of Integrated Shoreline Management Planning: A Case Study of Keta, Ghana Development of Integrated Shoreline Management Planning: A Case Study of Keta, Ghana. In Federation of International Surveyors Working Week 2009, Surveyors Key Role in Accelerated Development; International Federation of Surveyors: Eilat, Israel, 2019; pp. 1–19. [Google Scholar]
- Ly, C.K. The role of the Akosombo Dam on the Volta river in causing coastal erosion in central and eastern Ghana (West Africa). Mar. Geol. 1980, 37, 323–332. [Google Scholar] [CrossRef]
- Anthony, E.; Blivi, A. Morphosedimentary evolution of a delta-sourced, drift-aligned sand barrier–lagoon complex, western Bight of Benin. Mar. Geol. 1999, 158, 161–176. [Google Scholar] [CrossRef]
- Anthony, E.J.; Almar, R.; Besset, M.; Reyns, J.; Laibi, R.; Ranasinghe, R.; Abessolo Ondoa, G.; Vacchi, M. Response of the Bight of Benin (Gulf of Guinea, West Africa) coastline to anthropogenic and natural forcing, Part 2: Sources and patterns of sediment supply, sediment cells, and recent shoreline change. Cont. Shelf Res. 2019, 173, 93–103. [Google Scholar] [CrossRef]
- Westoby, M.; Brasington, J.; Glasser, N.; Hambrey, M.; Reynolds, J. ‘Structure-from-Motion’ photogrammetry: A low-cost, effective tool for geoscience applications. Geomorphology 2012, 179, 300–314. [Google Scholar] [CrossRef]
- Snavely, N. Scene Reconstruction and Visualization from Internet Photo Collections: A Survey. IPSJ Trans. Comput. Vis. Appl. 2011, 3, 44–66. [Google Scholar] [CrossRef]
- Agisoft. Agisoft PhotoScan. Available online: http://www.agisoft.com/ (accessed on 15 April 2018).
- Mancini, F.; Dubbini, M.; Gattelli, M.; Stecchi, F.; Fabbri, S.; Gabbianelli, G. Using Unmanned Aerial Vehicles (UAV) for High-Resolution Reconstruction of Topography: The Structure from Motion Approach on Coastal Environments. Remote Sens. 2013, 5, 6880–6898. [Google Scholar] [CrossRef]
- Furukawa, Y.; Ponce, J. Accurate, dense, and robust multi-view stereopsis. IEEE Trans. Pattern Anal. Mach. Intell. 2010, 32, 1362–1376. [Google Scholar] [CrossRef] [PubMed]
- Wheaton, J.M.; Brasington, J.; Darby, S.E.; Sear, D.A. Accounting for uncertainty in DEMs from repeat topographic surveys: Improved sediment budgets. Earth Surf. Process. Landf. 2010, 35, 136–156. [Google Scholar] [CrossRef]
- Boak, E.H.; Turner, I.L. Shoreline Definition and Detection: A Review. J. Coast. Res. 2005, 214, 688–703. [Google Scholar] [CrossRef]
- Copernicus Climate Change Service, C3S. ERA5: Fifth Generation of ECMWF Atmospheric Reanalyses of the Global Climate; Copernicus Climate Change Service Climate Data Store (CDS). Available online: https://cds.climate.copernicus.eu/cdsapp#!/home (accessed on 12 August 2019).
- The Wamdi Group. The WAM Model—A Third Generation Ocean Wave Prediction Model. J. Phys. Oceanogr. 1988, 18, 1775–1810. [Google Scholar] [CrossRef]
- Flater, D. WXTide32—A Free Windows Tide and Current Prediction Program. Available online: www.wxtide32.com (accessed on 25 September 2018).
- Thieler, R.E.; Himmelstoss, E.A.; Zichichi, J.L.; Ergul, A. The Digital Shoreline Analysis System (DSAS) Version 4.0, An ArcGIS Extension for Calculating Shoreline Change (ver. 4.4, July 2017). 2017, U.S. Geological Survey Open-File Report. 2008-1278. Available online: https://searchworks.stanford.edu/view/8366174 (accessed on 12 August 2019).
- Klein, A.H.F.; Menezes, J.T. Beach morphodynamics and profile sequence for a headland. J. Coast. Res. 2001, 17, 812–835. [Google Scholar]
- Almar, R.; Almeida, P.; Blenkinsopp, C.; Catalan, P. Surf-swash interactions on a low-tide terraced beach. J. Coast. Res. 2016, 75, 348–352. [Google Scholar] [CrossRef]
- Athanasiou, P.; van Dongeren, A.; Giardino, A.; Vousdoukas, M.; Gaytan-Aguilar, S.; Ranasinghe, R. Global distribution of nearshore slopes with implications for coastal retreat. Earth Syst. Sci. Data 2019, 11, 1515–1529. [Google Scholar] [CrossRef]
- Bergsma, E.W.J.; Conley, D.C.; Davidson, M.A.; O’Hare, T.J.; Almar, R. Storm Event to Seasonal Evolution of Nearshore Bathymetry Derived from Shore-Based Video Imagery. Remote Sens. 2019, 11, 519. [Google Scholar] [CrossRef]
- Young, I. Seasonal variability of the global ocean wind and wave climate. Int. J. Clim. 1999, 19, 931–950. [Google Scholar] [CrossRef]
- Stive, M.J.; Aarninkhof, S.G.; Hamm, L.; Hanson, H.; Larson, M.; Wijnberg, K.M.; Nicholls, R.J.; Capobianco, M. Variability of shore and shoreline evolution. Coast. Eng. 2002, 47, 211–235. [Google Scholar] [CrossRef]
- Plant, N.G.; Holman, R.A. Intertidal beach profile estimation using video images. Mar. Geol. 1997, 140, 1–24. [Google Scholar] [CrossRef]












| Item | VCS | UAV |
|---|---|---|
| Longshore coverage | <1 km | >1 km |
| Temporal resolution | Minutes | Days |
| Elevation above ground | Max 50 m | Can exceed 120 m |
| Orientation to shoreline | Oblique | Dynamic |
| Intrinsic error analysis | No GPS system | In-built GPS system |
| Accuracy | ≈ 1 m | <10 cm |
| Cost | <$1500 | >$2000 |
| Risk to user | Safe | Spinning blades |
| Remote use | Not secured | Secured |
| Power | Connected to power grid | Runs on batteries |
| Processing time | Low (light image) | High (dense map) |
| Rectification of images | Automatic | Manual |
| Date of Survey | Tide at Time of Flight | Max. Tide (m) | Min. Tide (m) | Max. Hs (m) | Min. Hs (m) |
|---|---|---|---|---|---|
| 29/05/2018 | 0.40 | 1.39 | 0.10 | 2.20 | 1.92 |
| 28/06/2018 | 0.77 | 1.32 | 0.09 | 1.85 | 1.68 |
| 07/08/2018 | 1.29 | 1.30 | 0.26 | 2.40 | 2.21 |
| 07/09/2018 | 1.07 | 1.39 | 0.12 | 2.00 | 1.68 |
| 04/10/2018 | 1.20 | 1.26 | 0.37 | 1.32 | 1.17 |
| 08/11/2018 | 0.19 | 1.59 | 0.16 | 1.52 | 1.42 |
| 11/12/2018 | 0.29 | 1.38 | 0.28 | 1.72 | 1.60 |
| 07/01/2019 | 0.27 | 1.45 | 0.21 | 1.65 | 1.45 |
| 01/03/2019 | 0.77 | 1.16 | 0.51 | 1.22 | 0.98 |
| Period | Shoreline Retreat (m) | Shoreline Accretion (m) | Volume Loss (×1000 m3) | Volume Gain (×1000 m3) | Beach Slope |
|---|---|---|---|---|---|
| May 2018–Aug 2018 | 8.27 | 0.00 | 0.89 | 5.80 | 0.30 |
| Aug 2018–Oct 2018 | 2.17 | 5.80 | 26.85 | 1.69 | 0.50 |
| Oct 2018–Dec 2018 | 1.00 | 4.45 | 3.58 | 5.50 | 0.10 |
| Dec 2018–Mar 2019 | 6.73 | 0.00 | 0.68 | 25.88 | 0.13 |
| Mar 2019–May 2019 | 2.35 | 1.58 | 0.62 | 9.81 | 0.20 |
| NET (Full year changes) | 7.16 | 0.38 | 0.17 | 11.97 | 0.25 |
© 2020 by the authors. Licensee MDPI, Basel, Switzerland. This article is an open access article distributed under the terms and conditions of the Creative Commons Attribution (CC BY) license (http://creativecommons.org/licenses/by/4.0/).
Share and Cite
Angnuureng, D.B.; Jayson-Quashigah, P.-N.; Almar, R.; Stieglitz, T.C.; Anthony, E.J.; Aheto, D.W.; Appeaning Addo, K. Application of Shore-Based Video and Unmanned Aerial Vehicles (Drones): Complementary Tools for Beach Studies. Remote Sens. 2020, 12, 394. https://doi.org/10.3390/rs12030394
Angnuureng DB, Jayson-Quashigah P-N, Almar R, Stieglitz TC, Anthony EJ, Aheto DW, Appeaning Addo K. Application of Shore-Based Video and Unmanned Aerial Vehicles (Drones): Complementary Tools for Beach Studies. Remote Sensing. 2020; 12(3):394. https://doi.org/10.3390/rs12030394
Chicago/Turabian StyleAngnuureng, Donatus Bapentire, Philip-Neri Jayson-Quashigah, Rafael Almar, Thomas Christian Stieglitz, Edward Jamal Anthony, Denis Worlanyo Aheto, and Kwasi Appeaning Addo. 2020. "Application of Shore-Based Video and Unmanned Aerial Vehicles (Drones): Complementary Tools for Beach Studies" Remote Sensing 12, no. 3: 394. https://doi.org/10.3390/rs12030394
APA StyleAngnuureng, D. B., Jayson-Quashigah, P.-N., Almar, R., Stieglitz, T. C., Anthony, E. J., Aheto, D. W., & Appeaning Addo, K. (2020). Application of Shore-Based Video and Unmanned Aerial Vehicles (Drones): Complementary Tools for Beach Studies. Remote Sensing, 12(3), 394. https://doi.org/10.3390/rs12030394

