Remote Sensing and Social Sensing Data Reveal Scale-Dependent and System-Specific Strengths of Urban Heat Island Determinants
Abstract
1. Introduction
2. Materials and Data Processing
2.1. Study Areas and Data Pre-Processing
2.2. Land Surface Temperature Retrieval
2.3. Natural-Surface and Non-Surface Variables
3. Methodology
3.1. Statistical Analyses
3.2. Scaling Analysis
4. Results
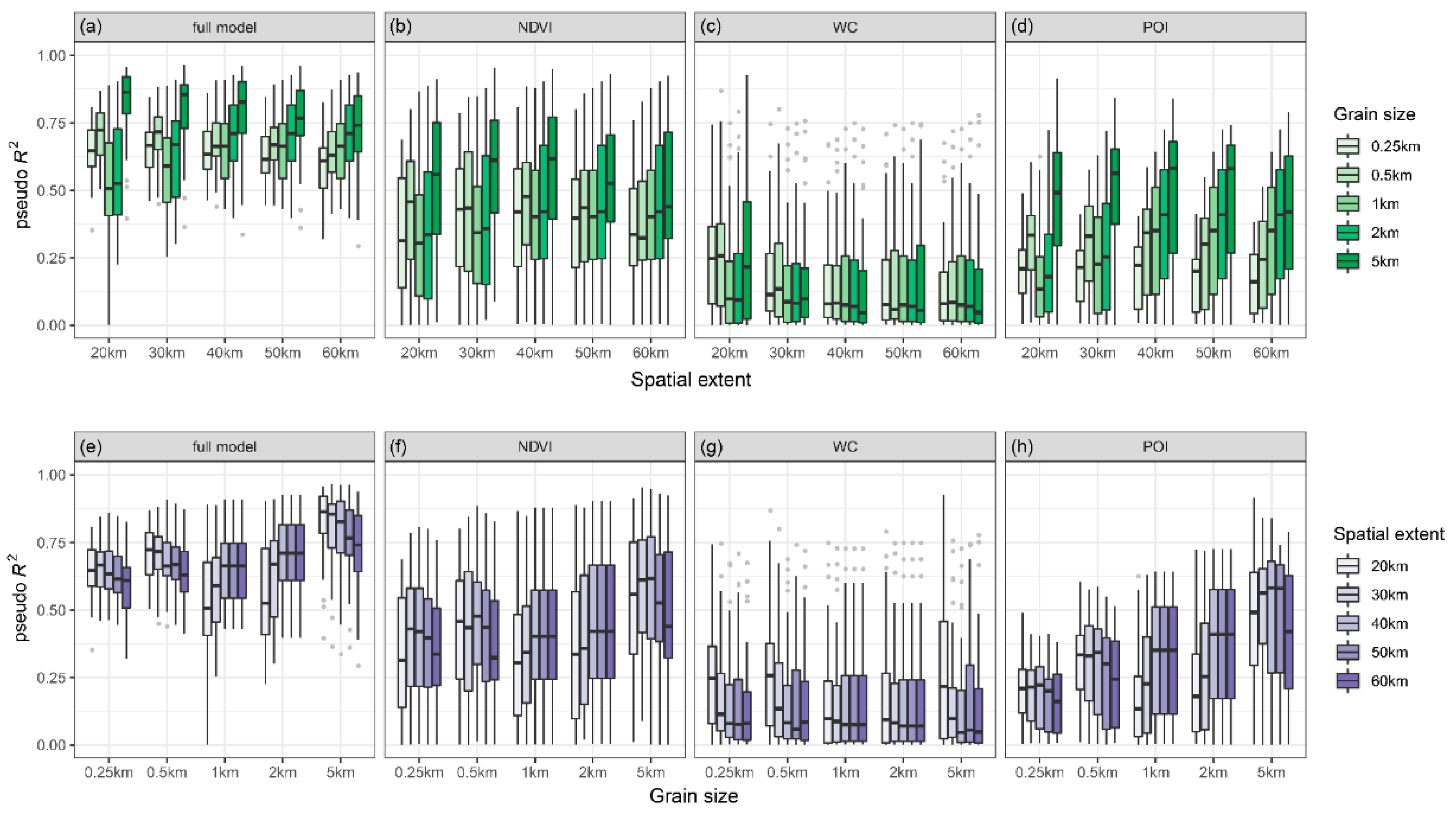
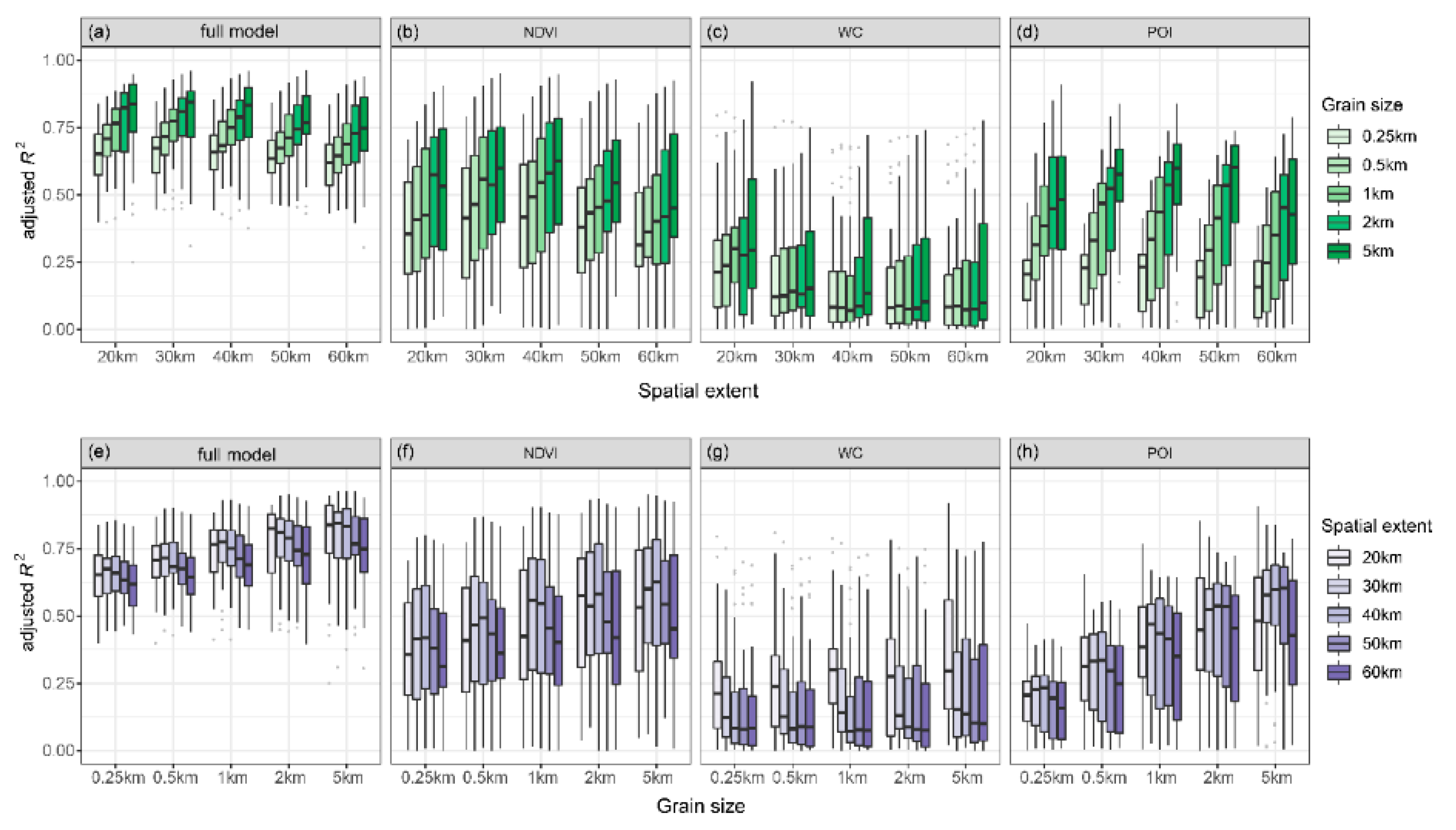
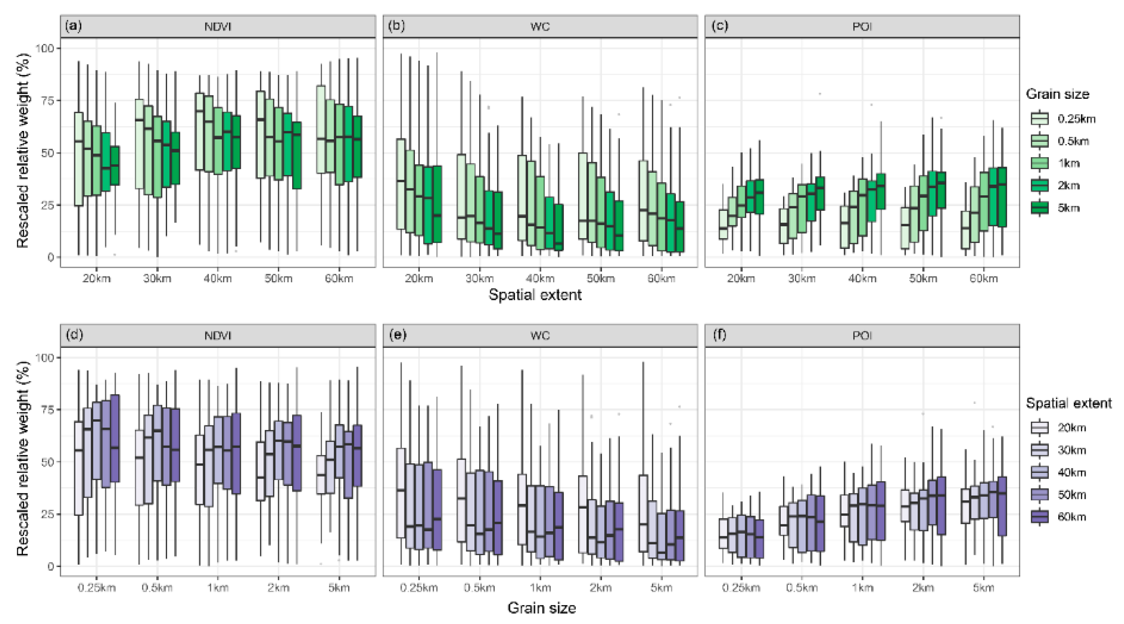
4.1. Scaling Relations at the City-Collective Level
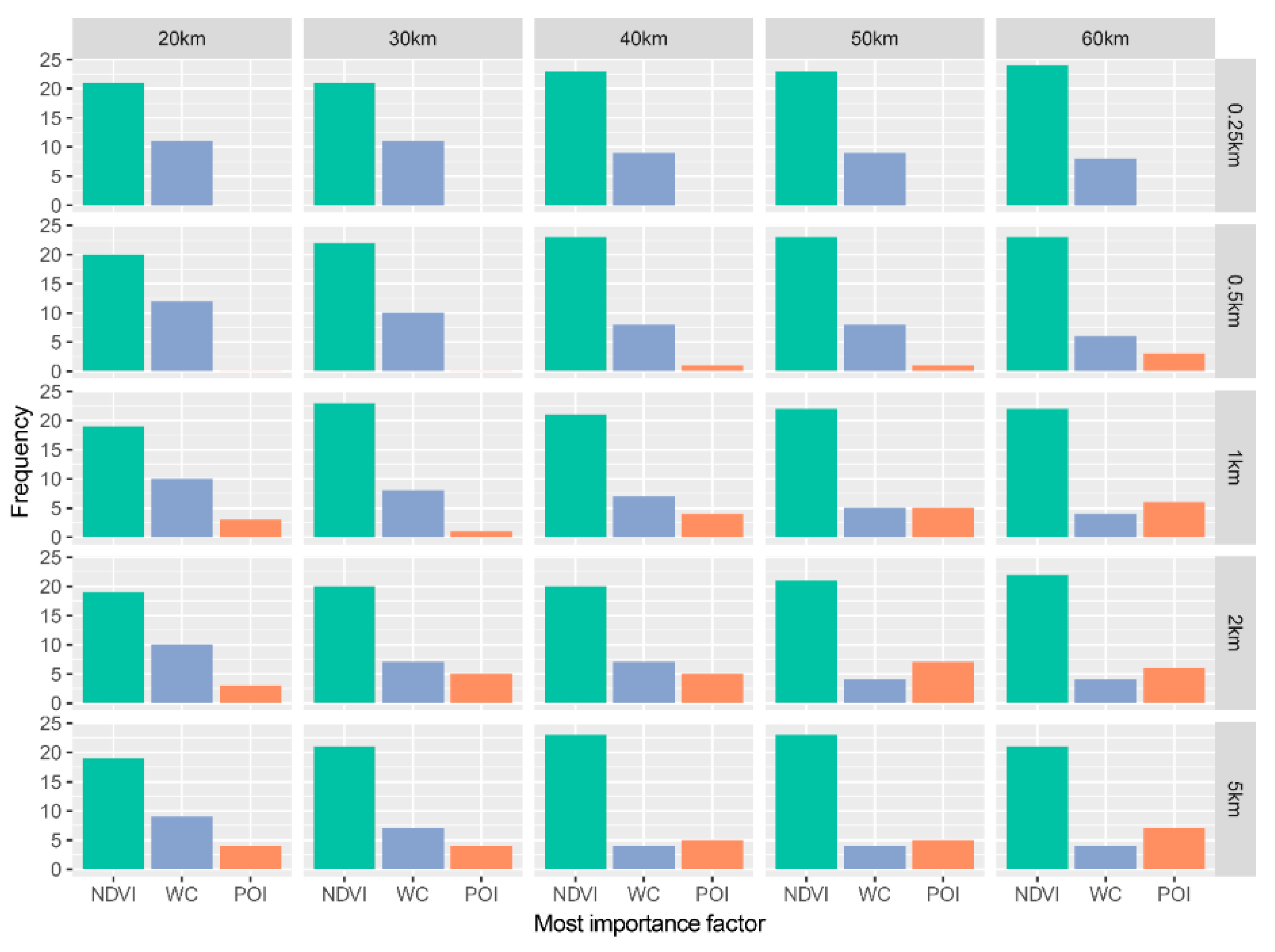
4.2. Scaling Relations and Variable Relative Importance at the Individual-City Level
5. Discussion
5.1. Scale Dependency and System Specificity of Urban Heat Island Determinants
5.2. Implications
5.3. Limitations and Further Studies
6. Conclusions
Author Contributions
Funding
Acknowledgments
Conflicts of Interest
Appendix A
| City | Path/Row | Time | City | Path/Row | Time |
|---|---|---|---|---|---|
| Anshan | 119/31 | 2017.08.31 | Panjin | 120/31 | 2017.09.07 |
| Baoding | 123/33; | 2017.07.10; | Shanghai | 118/38; | 2017.08.24; |
| 124/33 | 2017.07.01 | 118/39 | 2017.08.24 | ||
| Beijing | 123/32 | 2017.07.10 | Shenyang | 119/31 | 2017.08.31 |
| Changzhou | 119/38 | 2017.05.27 | Shijiazhuang | 124/33; | 2016.08.31; |
| 124/34 | 2016.08.31 | ||||
| Datong | 125/32 | 2017.08.25 | Suzhou | 119/38 | 2017.05.27 |
| Fuxin | 120/31 | 2017.09.07 | Tangshan | 122/32; | 2017.06.01; |
| 122/33 | 2017.06.01 | ||||
| Harbin | 118/28 | 2017.07.07 | Tianjin | 122/33 | 2015.06.12 |
| Handan | 124/34; | 2016.08.31; | Weifang | 121/34; | 2017.07.12; |
| 124/35 | 2016.08.31 | 121/35 | 2017.07.12 | ||
| Hefei | 121/38 | 2016.07.25 | Wuhan | 123/39 | 2016.07.23 |
| Hohhot | 126/32 | 2017.06.29 | Xi’an | 127/36 | 2016.06.17 |
| Jinan | 122/34; | 2015.06.12; | Xuzhou | 121/36; | 2015.06.05; |
| 122/35 | 2015.06.12 | 122/36 | 2015.07.30 | ||
| Linyi | 121/36 | 2017.05.25 | Yinchuan | 129/33 | 2016.07.01 |
| Luoyang | 125/36 | 2017.08.09 | Changchun | 118/29; | 2016.07.04; |
| 118/30 | 2016.07.04 | ||||
| Nanchang | 121/40 | 2017.09.14 | Changsha | 123/40; | 2016.07.23; |
| 123/41 | 2016.07.23 | ||||
| Nanjing | 120/38 | 2017.07.21 | Zhengzhou | 124/36 | 2015.09.14 |
| Nanning | 125/44 | 2016.10.09 | Zibo | 121/34; | 2017.07.12; |
| 121/35 | 2017.07.12 |










Appendix B














| 0.25 km | 0.5 km | 1 km | 2 km | 5 km | |||||||||||
|---|---|---|---|---|---|---|---|---|---|---|---|---|---|---|---|
| NDVI | WC | POI | NDVI | WC | POI | NDVI | WC | POI | NDVI | WC | POI | NDVI | WC | POI | |
| 20 km | 21 | 11 | 0 | 20 | 12 | 0 | 19 | 10 | 3 | 19 | 10 | 3 | 19 | 9 | 4 |
| 30 km | 21 | 11 | 0 | 22 | 10 | 0 | 23 | 8 | 1 | 20 | 7 | 5 | 21 | 7 | 4 |
| 40 km | 23 | 9 | 0 | 23 | 8 | 1 | 21 | 7 | 4 | 20 | 7 | 5 | 23 | 4 | 5 |
| 50 km | 23 | 9 | 0 | 23 | 8 | 1 | 22 | 5 | 5 | 21 | 4 | 7 | 23 | 4 | 5 |
| 60 km | 24 | 8 | 0 | 23 | 6 | 3 | 22 | 4 | 6 | 22 | 4 | 6 | 21 | 4 | 7 |

References
- United Nations. World Urbanization Prospects: The 2018 Revision (st/esa/ser.A/420); United Nations, Department of Economic and Social Affairs, Population Division: New York, NY, USA, 2019. [Google Scholar]
- Oke, T.R. Boundary Layer Climates; Routledge: London, UK; New York, NY, USA, 2002. [Google Scholar]
- Forman, R.T. Urban Ecology: Science of Cities; Cambridge University Press: Cambridge, UK, 2014. [Google Scholar]
- Akbari, H.; Kolokotsa, D. Three decades of urban heat islands and mitigation technologies research. Energy Build. 2016, 133, 834–842. [Google Scholar] [CrossRef]
- Foley, J.A.; DeFries, R.; Asner, G.P.; Barford, C.; Bonan, G.; Carpenter, S.R.; Chapin, F.S.; Coe, M.T.; Daily, G.C.; Gibbs, H.K. Global consequences of land use. Science 2005, 309, 570–574. [Google Scholar] [CrossRef] [PubMed]
- Sun, R.; Wang, Y.; Chen, L. A distributed model for quantifying temporal-spatial patterns of anthropogenic heat based on energy consumption. J. Clean. Prod. 2018, 170, 601–609. [Google Scholar] [CrossRef]
- Buyantuyev, A.; Wu, J. Urban heat islands and landscape heterogeneity: Linking spatiotemporal variations in surface temperatures to land-cover and socioeconomic patterns. Landsc. Ecol. 2010, 25, 17–33. [Google Scholar] [CrossRef]
- Yu, Z.; Yao, Y.; Yang, G.; Wang, X.; Vejre, H. Spatiotemporal patterns and characteristics of remotely sensed regional heat islands during the rapid urbanization (1995–2015) of southern china. Sci. Total Environ. 2019, 674, 242–254. [Google Scholar] [CrossRef] [PubMed]
- Churkina, G.; Kuik, F.; Bonn, B.; Lauer, A.; Grote, R.; Tomiak, K.; Butler, T.M. Effect of voc emissions from vegetation on air quality in berlin during a heatwave. Environ. Sci. Technol. 2017, 51, 6120–6130. [Google Scholar] [CrossRef]
- Huang, G.; Cadenasso, M.L. People, landscape, and urban heat island: Dynamics among neighborhood social conditions, land cover and surface temperatures. Landsc. Ecol. 2016, 31, 2507–2515. [Google Scholar] [CrossRef]
- Estoque, R.C.; Murayama, Y.; Myint, S.W. Effects of landscape composition and pattern on land surface temperature: An urban heat island study in the megacities of Southeast Asia. Sci. Total Environ. 2017, 577, 349–359. [Google Scholar] [CrossRef]
- Yu, Z.; Guo, X.; Jørgensen, G.; Vejre, H. How can urban green spaces be planned for climate adaptation in subtropical cities? Ecol. Indic. 2017, 82, 152–162. [Google Scholar] [CrossRef]
- Peng, J.; Xie, P.; Liu, Y.; Ma, J. Urban thermal environment dynamics and associated landscape pattern factors: A case study in the Beijing metropolitan region. Remote Sens. Environ. 2016, 173, 145–155. [Google Scholar] [CrossRef]
- Santamouris, M.; Ban-Weiss, G.; Osmond, P.; Paolini, R.; Synnefa, A.; Cartalis, C.; Muscio, A.; Zinzi, M.; Morakinyo, T.E.; Ng, E.; et al. Progress in urban greenery mitigation science–assessment methodologies advanced technologies and impact on cities. J. Civ. Eng. Manag. 2018, 24, 638–671. [Google Scholar] [CrossRef]
- Li, X.; Zhou, W.; Ouyang, Z. Relationship between land surface temperature and spatial pattern of greenspace: What are the effects of spatial resolution? Landsc. Urban Plan. 2013, 114, 1–8. [Google Scholar] [CrossRef]
- Yu, Z.; Yao, Y.; Yang, G.; Wang, X.; Vejre, H. Strong contribution of rapid urbanization and urban agglomeration development to regional thermal environment dynamics and evolution. For. Ecol. Manag. 2019, 446, 214–225. [Google Scholar] [CrossRef]
- Fan, H.; Yu, Z.; Yang, G.; Liu, T.Y.; Liu, T.Y.; Hung, C.H.; Vejre, H. How to cool hot-humid (Asian) cities with urban trees? An optimal landscape size perspective. Agric. For. Meteorol. 2019, 265, 338–348. [Google Scholar] [CrossRef]
- Yang, G.; Yu, Z.; Jørgensen, G.; Vejre, H. How can urban blue-green space be planned for climate adaption in high-latitude cities? A seasonal perspective. Sustain. Cities Soc. 2020, 53, 101932. [Google Scholar] [CrossRef]
- Kuang, W.; Liu, Y.; Dou, Y.; Chi, W.; Chen, G.; Gao, C.; Yang, T.; Liu, J.; Zhang, R. What are hot and what are not in an urban landscape: Quantifying and explaining the land surface temperature pattern in Beijing, China. Landsc. Ecol. 2015, 30, 357–373. [Google Scholar] [CrossRef]
- Xu, H. Modification of normalised difference water index (ndwi) to enhance open water features in remotely sensed imagery. Int. J. Remote Sens. 2006, 27, 3025–3033. [Google Scholar] [CrossRef]
- Yu, Z.; Guo, X.; Zeng, Y.; Koga, M.; Vejre, H. Variations in land surface temperature and cooling efficiency of green space in rapid urbanization: The case of Fuzhou City, China. Urban For. Urban Green. 2018, 29, 113–121. [Google Scholar] [CrossRef]
- Liu, Y.; Liu, X.; Gao, S.; Gong, L.; Kang, C.; Zhi, Y.; Chi, G.; Shi, L. Social sensing: A new approach to understanding our socioeconomic environments. Ann. Assoc. Am. Geogr. 2015, 105, 512–530. [Google Scholar] [CrossRef]
- Raghupathi, W.; Raghupathi, V. Big data analytics in healthcare: Promise and potential. Health Inf. Sci. Syst. 2014, 2, 3. [Google Scholar] [CrossRef]
- Wei, S.; Teng, S.N.; Li, H.J.; Xu, J.; Ma, H.; Luan, X.L.; Yang, X.; Shen, D.; Liu, M.; Huang, Z.Y.; et al. Hierarchical structure in the world’s largest high-speed rail network. PLoS ONE 2019, 14, e0211052. [Google Scholar] [CrossRef] [PubMed]
- McKenzie, G.; Janowicz, K.; Adams, B. A weighted multi-attribute method for matching user-generated points of interest. Cartogr. Geogr. Inf. Sci. 2014, 41, 125–137. [Google Scholar] [CrossRef]
- Luan, X.; Wei, S.; Han, S.; Li, X.; Yang, W.; Liu, M.; Xu, C. A multi-scale study on the formation mechanism and main controlling factors of urban thermal field based on urban big data. Chin. J. Appl. Ecol. 2018, 29, 2861–2868. [Google Scholar]
- Sun, Y.; Gao, C.; Li, J.; Wang, R.; Liu, J. Quantifying the effects of urban form on land surface temperature in subtropical high-density urban areas using machine learning. Remote Sens. 2019, 11, 959. [Google Scholar] [CrossRef]
- Ma, Q.; Wu, J.; He, C. A hierarchical analysis of the relationship between urban impervious surfaces and land surface temperatures: Spatial scale dependence, temporal variations, and bioclimatic modulation. Landsc. Ecol. 2016, 31, 1–15. [Google Scholar] [CrossRef]
- Stewart, I.D.; Oke, T.R. Local climate zones for urban temperature studies. Bull. Am. Meteorol. Soc. 2012, 93, 1879–1900. [Google Scholar] [CrossRef]
- Du, H.; Wang, D.; Wang, Y.; Zhao, X.; Qin, F.; Jiang, H.; Cai, Y. Influences of land cover types, meteorological conditions, anthropogenic heat and urban area on surface urban heat island in the yangtze river delta urban agglomeration. Sci. Total Environ. 2016, 571, 461–470. [Google Scholar] [CrossRef]
- Wu, J. Effects of changing scale on landscape pattern analysis: Scaling relations. Landsc. Ecol. 2004, 19, 125–138. [Google Scholar] [CrossRef]
- ESA Climate Change Initiative. Land Cover cci, Product User Guide, Version 2.0. Cci-lc-Pugv2. Available online: http://maps.Elie.Ucl.Ac.Be/cci/viewer/ (accessed on 16 December 2017).
- Jiménez-Muñoz, J.C.; Sobrino, J.A.; Skoković, D.; Mattar, C.; Cristóbal, J. Land surface temperature retrieval methods from landsat-8 thermal infrared sensor data. IEEE Geosci. Remote Sens. Lett. 2014, 11, 1840–1843. [Google Scholar] [CrossRef]
- Atmospheric Correction Parameter Calculator. Available online: http://atmcorr.gsfc.nasa.gov/ (accessed on 31 December 2017).
- Ellison, D.; Morris, C.E.; Locatelli, B.; Sheil, D.; Cohen, J.; Murdiyarso, D.; Gutierrez, V.; Noordwijk, M.V.; Creed, I.F.; Pokorny, J.; et al. Trees, forests and water: Cool insights for a hot world. Glob. Environ. Chang. 2017, 43, 51–61. [Google Scholar] [CrossRef]
- AMAP. Available online: https://ditu.amap.com/ (accessed on 31 October 2017).
- Yuan, F.; Bauer, M.E. Comparison of impervious surface area and normalized difference vegetation index as indicators of surface urban heat island effects in landsat imagery. Remote Sens. Environ. 2007, 106, 375–386. [Google Scholar] [CrossRef]
- Tonidandel, S.; LeBreton, J.M. Relative importance analysis: A useful supplement to regression analysis. J. Bus. Psychol. 2011, 26, 1–9. [Google Scholar] [CrossRef]
- Kissling, W.D.; Carl, G. Spatial autocorrelation and the selection of simultaneous autoregressive models. Glob. Ecol. Biogeogr. 2008, 17, 59–71. [Google Scholar] [CrossRef]
- Teng, S.N.; Xu, C.; Sandel, B.; Svenning, J.C. Effects of intrinsic sources of spatial autocorrelation on spatial regression modelling. Methods Ecol. Evol. 2018, 9, 363–372. [Google Scholar] [CrossRef]
- Xu, C.; Huang, Z.Y.X.; Chi, T.; Chen, B.J.W.; Zhang, M.; Liu, M. Can local landscape attributes explain species richness patterns at macroecological scales? Glob. Ecol. Biogeogr. 2014, 23, 436–445. [Google Scholar] [CrossRef]
- Tonidandel, S.; Lebreton, J.M. Rwa web: A free, comprehensive, web-based, and user-friendly tool for relative weight analyses. J. Bus. Psychol. 2015, 30, 207–216. [Google Scholar] [CrossRef]
- Allen, T.F.; Starr, T.B. Hierarchy: Perspectives for Ecological Complexity; University of Chicago Press: Chicago, IL, USA, 2017. [Google Scholar]
- Sun, R.; Lü, Y.; Yang, X.; Chen, L. Understanding the variability of urban heat islands from local background climate and urbanization. J. Clean. Prod. 2019, 208, 743–752. [Google Scholar] [CrossRef]
- Zhao, L.; Lee, X.; Smith, R.B.; Oleson, K. Strong contributions of local background climate to urban heat islands. Nature 2014, 511, 216–219. [Google Scholar] [CrossRef]
- Yin, C.; Yuan, M.; Lu, Y.; Huang, Y.; Liu, Y. Effects of urban form on the urban heat island effect based on spatial regression model. Sci. Total Environ. 2018, 634, 696–704. [Google Scholar] [CrossRef]
- Zhang, Y.; Middel, A.; Turner, B.L. Evaluating the effect of 3d urban form on neighborhood land surface temperature using google street view and geographically weighted regression. Landsc. Ecol. 2019, 34, 681–697. [Google Scholar] [CrossRef]
- Shiflett, S.A.; Liang, L.L.; Crum, S.M.; Feyisa, G.L.; Wang, J.; Jenerette, G.D. Variation in the urban vegetation, surface temperature, air temperature nexus. Sci. Total Environ. 2017, 579, 495–505. [Google Scholar] [CrossRef] [PubMed]
- Zhou, W.; Wang, J.; Cadenasso, M.L. Effects of the spatial configuration of trees on urban heat mitigation: A comparative study. Remote Sens. Environ. 2017, 195, 1–12. [Google Scholar] [CrossRef]
- Han, S.R.; Wei, S.; Zhou, W.; Zhang, M.J.; Tao, T.T.; Qiu, L.; Liu, M.S.; Xu, C. Quantifying the spatial pattern of urban thermal fields based on point of interest data and landsat images. Acta Ecol. Sin. 2017, 37, 5305–5312. [Google Scholar]
- Weng, Q.; Lu, D.; Schubring, J. Estimation of land surface temperature–vegetation abundance relationship for urban heat island studies. Remote Sens. Environ. 2004, 89, 467–483. [Google Scholar] [CrossRef]
- Liu, H.; Weng, Q. Scaling effect on the relationship between landscape pattern and land surface temperature. Photogramm. Eng. Remote Sens. 2009, 75, 291–304. [Google Scholar] [CrossRef]
- Du, H.; Song, X.; Jiang, H.; Kan, Z.; Wang, Z.; Cai, Y. Research on the cooling island effects of water body: A case study of shanghai, china. Ecol. Indic. 2016, 67, 31–38. [Google Scholar] [CrossRef]
- Yu, Z.; Xu, S.; Zhang, Y.; Jørgensen, G.; Vejre, H. Strong contributions of local background climate to the cooling effect of urban green vegetation. Sci. Rep. 2018, 8, 6798. [Google Scholar] [CrossRef]
- Gao, J.; Yu, Z.; Wang, L.; Vejre, H. Suitability of regional development based on ecosystem service benefits and losses: A case study of the yangtze river delta urban agglomeration, china. Ecol. Indic. 2019, 107, 105579. [Google Scholar] [CrossRef]







© 2020 by the authors. Licensee MDPI, Basel, Switzerland. This article is an open access article distributed under the terms and conditions of the Creative Commons Attribution (CC BY) license (http://creativecommons.org/licenses/by/4.0/).
Share and Cite
Luan, X.; Yu, Z.; Zhang, Y.; Wei, S.; Miao, X.; Huang, Z.Y.X.; Teng, S.N.; Xu, C. Remote Sensing and Social Sensing Data Reveal Scale-Dependent and System-Specific Strengths of Urban Heat Island Determinants. Remote Sens. 2020, 12, 391. https://doi.org/10.3390/rs12030391
Luan X, Yu Z, Zhang Y, Wei S, Miao X, Huang ZYX, Teng SN, Xu C. Remote Sensing and Social Sensing Data Reveal Scale-Dependent and System-Specific Strengths of Urban Heat Island Determinants. Remote Sensing. 2020; 12(3):391. https://doi.org/10.3390/rs12030391
Chicago/Turabian StyleLuan, Xiali, Zhaowu Yu, Yuting Zhang, Sheng Wei, Xinyu Miao, Zheng Y. X. Huang, Shuqing N. Teng, and Chi Xu. 2020. "Remote Sensing and Social Sensing Data Reveal Scale-Dependent and System-Specific Strengths of Urban Heat Island Determinants" Remote Sensing 12, no. 3: 391. https://doi.org/10.3390/rs12030391
APA StyleLuan, X., Yu, Z., Zhang, Y., Wei, S., Miao, X., Huang, Z. Y. X., Teng, S. N., & Xu, C. (2020). Remote Sensing and Social Sensing Data Reveal Scale-Dependent and System-Specific Strengths of Urban Heat Island Determinants. Remote Sensing, 12(3), 391. https://doi.org/10.3390/rs12030391

