New Textural Indicators for Assessing Above-Ground Cotton Biomass Extracted from Optical Imagery Obtained via Unmanned Aerial Vehicle
Abstract
1. Introduction
2. Materials and Methods
2.1. Field Experiment Design
2.2. Data Collection
2.2.1. UAV Data
2.2.2. Field Data
2.3. Data Analysis Method
2.3.1. Design of the Candidate Textural Index for Estimating Cotton Biomass
2.3.2. Biomass Prediction Model Design
3. Results
3.1. Best Spectral Indices for Estimating Cotton Biomass
3.2. Best Designed Textural Indices for Estimating Cotton Biomass
3.3. Results of Biomass Estimation Based on the Different Methods Used to Design Models
4. Discussion
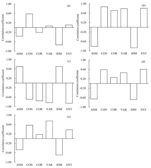
4.1. Mechanism Explanation for Selected Textural Indices
4.2. Importance of Adding Textural Information When Estimating Biomass
4.3. Previous Difficulties in Application of Textural Information and New Changes
4.4. Application of Textural Indices
5. Conclusions
Author Contributions
Funding
Acknowledgments
Conflicts of Interest
References
- Yue, J.; Yang, G.; Li, C.; Li, Z.; Wang, Y.; Feng, H.; Xu, B. Estimation of winter wheat above-ground biomass using unmanned aerial vehicle-based snapshot hyperspectral sensor and crop height improved models. Remote Sens. 2017, 9, 708. [Google Scholar] [CrossRef]
- Ghassemi-Golezani, K.; Tajbakhsh, Z. Relationship of plant biomass and grain filling with grain yield of maize cultivars. Int. J. Agric. 2012, 4, 1536–1539. [Google Scholar]
- Barbieri, A.L.; de Arruda, G.F.; Rodrigues, F.A.; Bruno, O.M.; da Fontoura Costa, L. An entropy-based approach to automatic image segmentation of satellite images. Phys. A 2011, 390, 512–518. [Google Scholar] [CrossRef]
- Hansen, P.M.; Schjoerring, J.K. Reflectance measurement of canopy biomass and nitrogen status in wheat crops using normalized difference vegetation indices and partial least squares regression. Remote Sens. Environ. 2003, 86, 542–553. [Google Scholar] [CrossRef]
- Campos, I.; Gonzalez-Gomez, L.; Villodre, J.; Gonzalez-Piqueras, J.; Suyker, A.E.; Calera, A. Remote sensing-based crop biomass with water or light-driven crop growth models in wheat commercial fields. Field Crops Res. 2018, 216, 175–188. [Google Scholar] [CrossRef]
- Liao, C.H.; Wang, J.F.; Dong, T.F.; Shang, J.L.; Liu, J.G.; Song, Y. Using spatio-temporal fusion of Landsat-8 and MODIS data to derive phenology, biomass and yield estimates for corn and soybean. Sci. Total Environ. 2019, 650, 1707–1721. [Google Scholar] [CrossRef]
- Machwitz, M.; Giustarini, L.; Bossung, C.; Frantz, D.; Schlerf, M.; Lilienthal, H.; Wandera, L.; Matgen, P.; Hoffmann, L.; Udelhoven, T. Enhanced biomass prediction by assimilating satellite data into a crop growth model. Environ. Modell. Softw. 2014, 62, 437–453. [Google Scholar] [CrossRef]
- Chen, P.; Haboudane, D.; Tremblay, N.; Wang, J.; Vigneault, P.; Li, B. New spectral indicator assessing the efficiency of crop nitrogen treatment in corn and wheat. Remote Sens. Environ. 2010, 114, 1987–1997. [Google Scholar] [CrossRef]
- Naito, H.; Ogawa, S.; Valecia, M.O.; Mohri, H.; Urano, Y.; Hosoi, F.; Shimizu, Y.; Chavez, A.L.; Ishitani, M.; Selvaraj, M.G.; et al. Estimating rice yield related traits and quantitative trait loci analysis under different nitrogen treatments using a simple tower-based field phenotyping system with modified single-lens reflex cameras. ISPRS J. Photogramm. 2017, 125, 50–62. [Google Scholar] [CrossRef]
- Rumpler, M.; Daftry, S.; Tscharf, A.; Prettenthaler, R.; Hoppe, C.; Mayer, G.; Bischof, H. Automated end-to-end workflow for precise and geo-accurate reconstructions using fiducial markers. ISPRS Ann. Photogramm. Remote Sens. Spat. Inf. Sci. 2014, II–3, 135–142. [Google Scholar] [CrossRef]
- Wang, J.; Badenhorst, P.; Phelan, A.; Pembleton, L.; Shi, F.; Cogan, N.; Spangenberg, G.; Smith, K. Using sensors and unmanned aircraft systems for high-throughput phenotyping of biomass in perennial ryegrass breeding trials. Front. Plant Sci. 2019, 10, 1381. [Google Scholar] [CrossRef] [PubMed]
- Niu, Y.; Zhang, L.; Zhang, H.; Han, W.; Peng, X. Estimating above-ground biomass of maize using features derived from UAV-based RGB imagery. Remote Sens. 2019, 11, 1261. [Google Scholar] [CrossRef]
- Li, G.; Xie, Z.; Jiang, X.; Lu, D.; Chen, E. Integration of Ziyuan-3 multispectral and stereo data for modeling aboveground biomass of Larch Plantations in north China. Remote Sens. 2019, 11, 2328. [Google Scholar] [CrossRef]
- Hunt, E.R.; Cavigelli, M.; Cst, D.; Mcmurtrey, J.I.; Walthall, C.L. Evaluation of digital photography from model aircraft for remote sensing of crop biomass and nitrogen status. Precis. Agric. 2005, 6, 359–378. [Google Scholar] [CrossRef]
- Yue, J.; Yang, G.; Tian, Q.; Feng, H.; Xu, K.; Zhou, C. Estimate of winter-wheat above-ground biomass based on UAV ultrahigh-ground-resolution image textures and vegetation indices. ISPRS J. Photogramm. 2019, 150, 226–244. [Google Scholar] [CrossRef]
- Aasen, H.; Burkart, A.; Andreas, B.; Bareth, G. Generating 3D hyperspectral information with light weight UAV snapshot cameras for vegetation monitoring: From camera calibration to quality assurance. ISPRS J. Photogramm. 2015, 108, 245–259. [Google Scholar] [CrossRef]
- Li, W.; Niu, Z.; Chen, H.; Li, D.; Wu, M.; Zhao, W. Remote estimation of canopy height and aboveground biomass of maize using high-resolution stereo images from a low-cost unmanned aerial vehicle system. Ecol. Indic. 2016, 67, 637–648. [Google Scholar] [CrossRef]
- Bendig, J.; Bolten, A.; Bennertz, S.; Broscheit, J.; Eichfuss, S.; Bareth, G. Estimating biomass of barley using crop surface models (CSMs) derived from UAV-based RGB imaging. Remote Sens. 2014, 6, 10395–10412. [Google Scholar] [CrossRef]
- Zheng, H.; Cheng, T.; Zhou, M.; Li, D.; Yao, X.; Tian, Y.; Cao, W.; Zhu, Y. Improved estimation of rice aboveground biomass combining textural and spectral analysis of UAV imagery. Precis. Agric. 2019, 20, 611–629. [Google Scholar] [CrossRef]
- Lu, D.; Batistella, M. Exploring TM image texture and its relationships with biomass estimation in Rondônia, Brazilian Amazon. Acta Amazon. 2005, 35, 249–257. [Google Scholar] [CrossRef]
- Sarker, L.R.; Nichol, J.E. Improved forest biomass estimates using ALOS AVNIR-2 texture indices. Remote Sens. Environ. 2011, 115, 968–977. [Google Scholar] [CrossRef]
- Kelsey, K.; Neff, J. Estimates of aboveground biomass from texture analysis of Landsat imagery. Remote Sens. 2014, 6, 6407–6422. [Google Scholar] [CrossRef]
- Jung, J.; Maeda, M.; Chang, A.; Juan, L.; Yeom, J.; McGinty, J. Unmanned aerial system assisted framework for the selection of high yielding cotton genotypes. Comput. Electron. Agric. 2018, 152, 74–81. [Google Scholar] [CrossRef]
- Chen, Z.; Tao, Z.; Khan, A.; Tan, D.K.Y.; Luo, H. Biomass accumulation, photosynthetic traits and root development of cotton as affected by irrigation and nitrogen fertilization. Front. Plant Sci. 2018, 9, 173. [Google Scholar] [CrossRef]
- Yang, G.; Tang, H.; Nie, Y. Responses of cotton growth, yield, and biomass to nitrogen split application ratio. Eur. J. Agron. 2011, 35, 164–170. [Google Scholar] [CrossRef]
- Mariotto, I.; Thenkabail, P.S.; Huete, A.; Slonecker, E.T.; Platonov, A. Hyperspectral versus multispectral crop-productivity modeling and type discrimination for the HyspIRI mission. Remote Sens. Environ. 2013, 139, 291–305. [Google Scholar] [CrossRef]
- Zhao, D.L.; Reddy, K.R.; Kakani, V.G.; Read, J.J.; Koti, S. Canopy reflectance in cotton for growth assessment and lint yield prediction. Eur. J. Agron. 2007, 26, 335–344. [Google Scholar] [CrossRef]
- Olson, D.; Chatterjee, A.; Franzen, D.W.; Day, S.S. Relationship of drone-based vegetation indices with corn and sugarbeet yields. Agron. J. 2019, 11, 2545–2557. [Google Scholar] [CrossRef]
- Haralick, R.M.; Shanmugam, K.; Dinstein, I. Textural features for image classification. IEEE Trans. Syst. Man. Cybern 1973, SMC-3, 610–621. [Google Scholar] [CrossRef]
- Feng, P.; Wang, B.; Liu, D.; Waters, C.; Xiao, D.; Shi, L.; Yu, Q. Dynamic wheat yield forecasts are improved by a hybrid approach using a biophysical model and machine learning technique. Agric. For. Meteorol. 2020, 285–286, 107922. [Google Scholar] [CrossRef]
- Rouse, J.W.; Haas, R.H.; Schell, J.A.; Deering, D.W.; Harlan, J.C. Monitoring the Vernal Advancement of Retrogradation (Green Wave Effect) of Natural Vegetation; Type III, Final Report; NASA/GSFC: Greenbelt, MD, USA, 1974; pp. 1–371.
- Gitelson, A.A. Wide dynamic range vegetation index for remote quantification of biophysical characteristics of vegetation. J. Plant Physiol. 2004, 161, 165–173. [Google Scholar] [CrossRef] [PubMed]
- Qi, J.; Chehbouni, A.; Huete, A.R.; Kerr, Y.H.; Sorooshian, S. A modified soil adjusted vegetation index. Remote Sens. Environ. 1994, 48, 119–126. [Google Scholar] [CrossRef]
- Rondeaux, G.; Steven, M.; Baret, F. Optimization of Soil-Adjusted vegetation indices. Remote Sens. Environ. 1996, 55, 95–107. [Google Scholar] [CrossRef]
- Huete, A.; Justice, C.; Liu, H. Development of vegetation and soil indices for MODIS. Remote Sens. Environ. 1994, 49, 224–234. [Google Scholar] [CrossRef]
- Broge, N.H.; Leblanc, E. Comparing prediction power and stability of broadband and hyperspectral vegetation indices for estimation of green leaf area index and canopy chlorophyll density. Remote Sens. Environ. 2001, 76, 156–172. [Google Scholar] [CrossRef]
- Haboudane, D.; Miller, J.R.; Pattey, E.; Zarco-Tejada, P.J.; Strachan, I.B. Hyperspectral vegetation indices and novel algorithms for predicting green LAI of crop canopies: Modeling and validation in the context of precision agriculture. Remote Sens. Environ. 2004, 90, 337–352. [Google Scholar] [CrossRef]
- Pearson, R.L.; Miller, L.D. Remote Mapping of Standing Crop Biomass for Estimation of the Productivity of the Short-Grass Prairie, Pawnee National Grasslands, Colorado; ERIM: Ann Arbor, MI, USA, 1972. [Google Scholar]
- Fitzgerald, G.J.; Rodriguez, D.; Christensen, L.K.; Belford, R.; Sadras, V.O.; Clarke, T.R. Spectral and thermal sensing for nitrogen and water status in rainfed and irrigated wheat environments. Precis. Agric. 2006, 7, 233–248. [Google Scholar] [CrossRef]
- Mohanaiah, P.; Sathyanarayana, P.; GuruKumar, L. Image texture feature extraction using GLCM approach. Int. J. Sci. Res. 2013, 3, 1–5. [Google Scholar]
- Chen, P.; Tremblay, N.; Wang, J.; Vigneault, P.; Huang, W.; Li, B. New index for crop canopy fresh biomass estimation. Spectrosc. Spect. Anal. 2010, 30, 512–517, (In Chinese with English abstract). [Google Scholar]
- Kaizer, H. A Quantification of Textures on Aerial Photographs; Technical Report, Tech. Note 121, AD 69484; Boston University Research laboratories: Boston, MA, USA, 1955. [Google Scholar]
- Eckert, S. Improved forest biomass and carbon estimations using texture measures from WorldView-2 satellite data. Remote Sens. 2012, 4, 810–829. [Google Scholar] [CrossRef]








| Item | Fertilizer Application (Month and Day) | |||||||
|---|---|---|---|---|---|---|---|---|
| June 24 | July 02 | July 10 | July 18 | July 26 | Aug. 4 | Aug. 14 | Aug. 24 | |
| N application ratio (%) 1 | 9.5 | 12.5 | 13.5 | 15.5 | 16.0 | 13.5 | 12.0 | 7.5 |
| Index | Formula |
|---|---|
| NBTI(CON, IDM)b | (CONb – IDMb)/(CONb + IDMb) |
| NBTI(CON, ASM)g | (CONg – ASMg)/(CONg + ASMg) |
| NBTI(CON, IDM)g | (CONg – IDMg)/(CONg + IDMg) |
| NBTI(COR, ASM)g | (CORg – ASMg)/(CONg + ASMg) |
| NBTI(COR, IDM)g | (CORg – IDMg)/(CONg + IDMg) |
| NBTI(VAR, ASM)g | (VARg – ASMg)/(CONg + ASMg) |
| NBTI(VAR, IDM)g | (VARg – IDMg)/(CONg + IDMg) |
| NBTI(ENT, ASM)g | (ENTg – ASMg)/(CONg + ASMg) |
| NBTI(ENT, IDM)g | (ENTg – IDMg)/(CONg + IDMg) |
| NBTI(CON, ASM)re | (CONre – ASMre)/(CONre + ASMre) |
| NBTI(CON, IDM)re | (CONre – IDMre)/(CONre + IDMre) |
| NBTI(COR, ASM)re | (CORre – ASMre)/(CONre + ASMre) |
| NBTI(COR, IDM)re | (CORre – IDMre)/(CONre + IDMre) |
| NBTI(VAR, ASM)re | (VARre – ASMre)/(CONre + ASMre) |
| NBTI(VAR, IDM)re | (VARre – IDMre)/(CONre + IDMre) |
| NBTI(ENT, ASM)re | (ENTre – ASMre)/(CONre + ASMre) |
| NBTI(ENT, IDM)re | (ENTre – IDMre)/(CONre + IDMre) |
| NBTI(CON, ASM)nir | (CONnir – ASMnir)/(CONnir + ASMnir) |
| NBTI(CON, IDM)nir | (CONnir – IDMnir)/(CONnir + IDMnir) |
| NBTI(COR, ASM)nir | (CORnir – ASMnir)/(CONnir + ASMnir) |
| NBTI(COR, IDM)nir | (CORnir – IDMnir)/(CONnir + IDMnir) |
| NBTI(VAR, ASM)nir | (VARnir – ASMnir)/(CONnir + ASMnir) |
| NBTI(VAR, IDM)nir | (VARnir – IDMnir)/(CONnir + IDMnir) |
| NBTI(ENT, ASM)nir | (ENTnir – ASMnir)/(CONnir + ASMnir) |
| NBTI(ENT, IDM)nir | (ENTnir – IDMnir)/(CONnir + IDMnir) |
| Index | Full Name | Formula | Developed by |
|---|---|---|---|
| NDVI | Normalized Difference Vegetation Index | (Rnir – Rred)/(Rnir + Rred) | Rouse et al. [31] |
| GNDVI | Green-Normalized Difference Vegetation Index | (Rnir – Rgreen)/(Rnir + Rgreen) | Gitelson et al. [32] |
| MSAVI | Modified Soil-Adjusted Vegetation Index | (2Rnir + 1 – sqrt((2Rnir + 1)2 – 8(Rnir – Rred)))/2 | Qi et al. [33] |
| OSAVI | Optimized Soil-Adjusted Vegetation Index | 1.16(Rnir – Rred)/(Rnir + Rred + 0.16) | Rondeaux et al. [34] |
| EVI | Enhanced Vegetation Index | 2.5(Rnir – Rred)/(Rnir + 6Rred – 7.5Rblue + 1) | Huete et al. [35] |
| TVI | Triangular Vegetation Index | 0.5(120(Rnir – Rgreen) – 200(Rred – Rgreen)) | Broge et al. [36] |
| MTVI2 | Modified Triangular Vegetation Index 2 | 1.5(1.2(Rnir – Rgreen) – 2.5(Rred – Rgreen))/sqrt((2 Rnir + 1)2 – (6 Rnir – 5sqrt(Rred)) – 0.5) | Habouance et al. [37] |
| RVI | Ratio Vegetation Index | Rnir/Rred | Pearson et al. [38] |
| NDRE | Normalized Difference Red Edge | (Rnir – Rred-edge)/(Rnir + Rred-edge) | Fitzgerald et al. [39] |
| Spectral Index | Calibration | Validation | ||||
|---|---|---|---|---|---|---|
| R2 | RMSE (t ha−1) | MAPE (%) | R2 | RMSE (t ha−1) | MAPE (%) | |
| NDVI | 0.80 | 1.85 | 26.27% | 0.63 | 1.61 | 25.32% |
| GNDVI | 0.83 | 1.70 | 24.16% | 0.73 | 1.36 | 21.77% |
| MSAVI | 0.84 | 1.68 | 23.04% | 0.73 | 1.38 | 21.70% |
| OSAVI | 0.83 | 1.72 | 24.04% | 0.71 | 1.42 | 22.55% |
| EVI | 0.86 | 1.57 | 21.30% | 0.79 | 1.21 | 19.18% |
| TVI | 0.88 | 1.47 | 19.43% | 0.86 | 0.99 | 15.85% |
| MTVI2 | 0.83 | 1.70 | 23.17% | 0.70 | 1.43 | 22.33% |
| RVI | 0.84 | 1.67 | 21.99% | 0.63 | 1.64 | 22.92% |
| NDRE | 0.86 | 1.55 | 22.16% | 0.85 | 1.02 | 17.24% |
| Spectral Index | Calibration | Validation | ||||
|---|---|---|---|---|---|---|
| R2 | RMSE (t ha−1) | MAPE (%) | R2 | RMSE (t ha−1) | MAPE (%) | |
| NBTI(CON, IDM)b | 0.32 | 2.30 | 65.07 | 0.52 | 1.85 | 59.19 |
| NBTI(CON, ASM)g | 0.79 | 1.56 | 25.51 | 0.81 | 1.15 | 20.23 |
| NBTI(CON, IDM)g | 0.84 | 1.53 | 21.37 | 0.88 | 1.04 | 18.46 |
| NBTI(COR, ASM)g | 0.60 | 1.81 | 34.95 | 0.87 | 1.16 | 26.72 |
| NBTI(COR, IDM)g | 0.61 | 1.83 | 34.45 | 0.87 | 1.05 | 23.71 |
| NBTI(VAR, ASM)g | 0.74 | 1.58 | 26.11 | 0.90 | 0.94 | 16.11 |
| NBTI(VAR, IDM)g | 0.79 | 1.54 | 23.50 | 0.89 | 0.90 | 11.52 |
| NBTI(ENT, ASM)g | 0.73 | 1.66 | 28.35 | 0.82 | 1.12 | 22.51 |
| NBTI(ENT, IDM)g | 0.81 | 1.55 | 23.68 | 0.87 | 0.97 | 17.67 |
| NBTI(CON, ASM)re | 0.66 | 2.14 | 34.21 | 0.51 | 1.87 | 28.82 |
| NBTI(CON, IDM)re | 0.72 | 2.04 | 31.65 | 0.53 | 1.77 | 30.02 |
| NBTI(COR, ASM)re | 0.61 | 2.20 | 37.22 | 0.51 | 1.90 | 28.14 |
| NBTI(COR, IDM)re | 0.64 | 2.24 | 34.79 | 0.43 | 2.01 | 29.75 |
| NBTI(VAR, ASM)re | 0.66 | 2.19 | 34.17 | 0.48 | 1.93 | 28.62 |
| NBTI(VAR, IDM)re | 0.65 | 2.31 | 34.39 | 0.38 | 2.10 | 30.10 |
| NBTI(ENT, ASM)re | 0.66 | 2.18 | 34.45 | 0.47 | 1.93 | 30.18 |
| NBTI(ENT, IDM)re | 0.68 | 2.20 | 32.12 | 0.40 | 2.05 | 32.95 |
| NBTI(CON, ASM)nir | 0.58 | 2.37 | 38.70 | 0.33 | 2.25 | 35.08 |
| NBTI(CON, IDM)nir | 0.66 | 2.09 | 34.87 | 0.48 | 1.83 | 34.18 |
| NBTI(COR, ASM)nir | 0.35 | 2.74 | 48.43 | 0.13 | 2.67 | 40.13 |
| NBTI(COR, IDM)nir | 0.37 | 2.75 | 47.53 | 0.13 | 2.65 | 39.44 |
| NBTI(VAR, ASM)nir | 0.66 | 2.16 | 35.49 | 0.46 | 1.99 | 32.71 |
| NBTI(VAR, IDM)nir | 0.76 | 1.90 | 29.05 | 0.66 | 1.53 | 28.11 |
| NBTI(ENT, ASM)nir | 0.42 | 2.65 | 45.22 | 0.12 | 2.70 | 41.26 |
| NBTI(ENT, IDM)nir | 0.58 | 2.44 | 37.81 | 0.24 | 2.41 | 36.11 |
| NDTI(MEAnir, MEAg) * | 0.69 | 4.62 | 31.71 | 0.51 | 2.36 | 28.62 |
Publisher’s Note: MDPI stays neutral with regard to jurisdictional claims in published maps and institutional affiliations. |
© 2020 by the authors. Licensee MDPI, Basel, Switzerland. This article is an open access article distributed under the terms and conditions of the Creative Commons Attribution (CC BY) license (http://creativecommons.org/licenses/by/4.0/).
Share and Cite
Chen, P.; Wang, F. New Textural Indicators for Assessing Above-Ground Cotton Biomass Extracted from Optical Imagery Obtained via Unmanned Aerial Vehicle. Remote Sens. 2020, 12, 4170. https://doi.org/10.3390/rs12244170
Chen P, Wang F. New Textural Indicators for Assessing Above-Ground Cotton Biomass Extracted from Optical Imagery Obtained via Unmanned Aerial Vehicle. Remote Sensing. 2020; 12(24):4170. https://doi.org/10.3390/rs12244170
Chicago/Turabian StyleChen, Pengfei, and Fangyong Wang. 2020. "New Textural Indicators for Assessing Above-Ground Cotton Biomass Extracted from Optical Imagery Obtained via Unmanned Aerial Vehicle" Remote Sensing 12, no. 24: 4170. https://doi.org/10.3390/rs12244170
APA StyleChen, P., & Wang, F. (2020). New Textural Indicators for Assessing Above-Ground Cotton Biomass Extracted from Optical Imagery Obtained via Unmanned Aerial Vehicle. Remote Sensing, 12(24), 4170. https://doi.org/10.3390/rs12244170
