River Flow Monitoring by Sentinel-3 OLCI and MODIS: Comparison and Combination
Abstract
1. Introduction
- (1)
- What is the potential of OLCI in the estimation of the river discharge?
- (2)
- Which is the river flow-related variable best represented by the reflectance ratio, behind the river discharge?
- (3)
- Could a multi-mission approach, obtained by the combination of different multispectral sensors (i.e., OLCI and MODIS), provide an improved estimation of river discharge or flow-related river variables?
2. Study Area and Datasets
2.1. In Situ Datasets
2.2. Satellite Datasets
- (1)
- pre-processing, including: (i) conversion of reflectance from radiance to the top of the atmosphere based on sensor-specific information [36] and removal of the effects of differences in illumination geometry (different solar angle, Earth–Sun distance); (ii) first phase of pre-classification helps us to understand the performance results of each processor taking into account the type of pixel (clouds and snow / ice);
- (2)
- correction of TOA reflectance for gaseous absorption (nitrogen—NO2, ozone—O3, oxygen—O2 and water—H2O)
- (3)
- second phase of pixel pre-classification (consolidated land/water). This allows for systematically generating maps and multi-temporal statistics of water constituents from Sentinel-3 to classify the territory. The classification could make use of various automatic or semi-automatic techniques, however, this being a fundamental step in the production chain, it was decided to create an ad hoc water mask for the study area. The mask filtering allowed the removal of pixels whose spectrum has been contaminated by land or terrestrial targets and that, undoubtedly, would have caused an erroneous estimate of the biogeophysics parameters.
- (4)
- smile correction, which is a necessary step together with the TOA reflectance correction because of the small-scale variations due to the wavelength of the central body which is not constant in some bands of the visual field. Smile correction can be defined as the second instrumental correction along with TOA to achieve maximum accuracy. Atmospheric correction acts on errors due to the atmosphere, while smile correction acts on errors in the spectral misalignment of the measured wavelength. Both corrections guarantee uniformity in the local variations of reflectance with the wavelength and allow a sure estimate of the reflectance derivative. The correction is made on the basis of a subset of bands, specific to the types of land surface and water.
- (5)
- system vicarious calibration and alternative atmospheric correction: these are the final pre-processing steps performing an indirect calibration with in -situ high-precision radiometry and improving the atmospheric correction on turbid and highly absorbent waters through a neural network. The Case 2 Regional Coast Color (C2RCC) processor is used, based on a neural network method with multi-sensor per pixel artificial, built on the AC Case 2 Regional and Coast Colour algorithms [37].
3. Methods
3.1. Estimation of the Level-3 Reflectance Ratio
3.2. Reflectance Ratio as a Proxy of River Flow-Related Variables
3.3. Integration Procedure for the Multi-Mission C/M Time Series
3.4. Evaluation of the Results
4. Results and Discussion
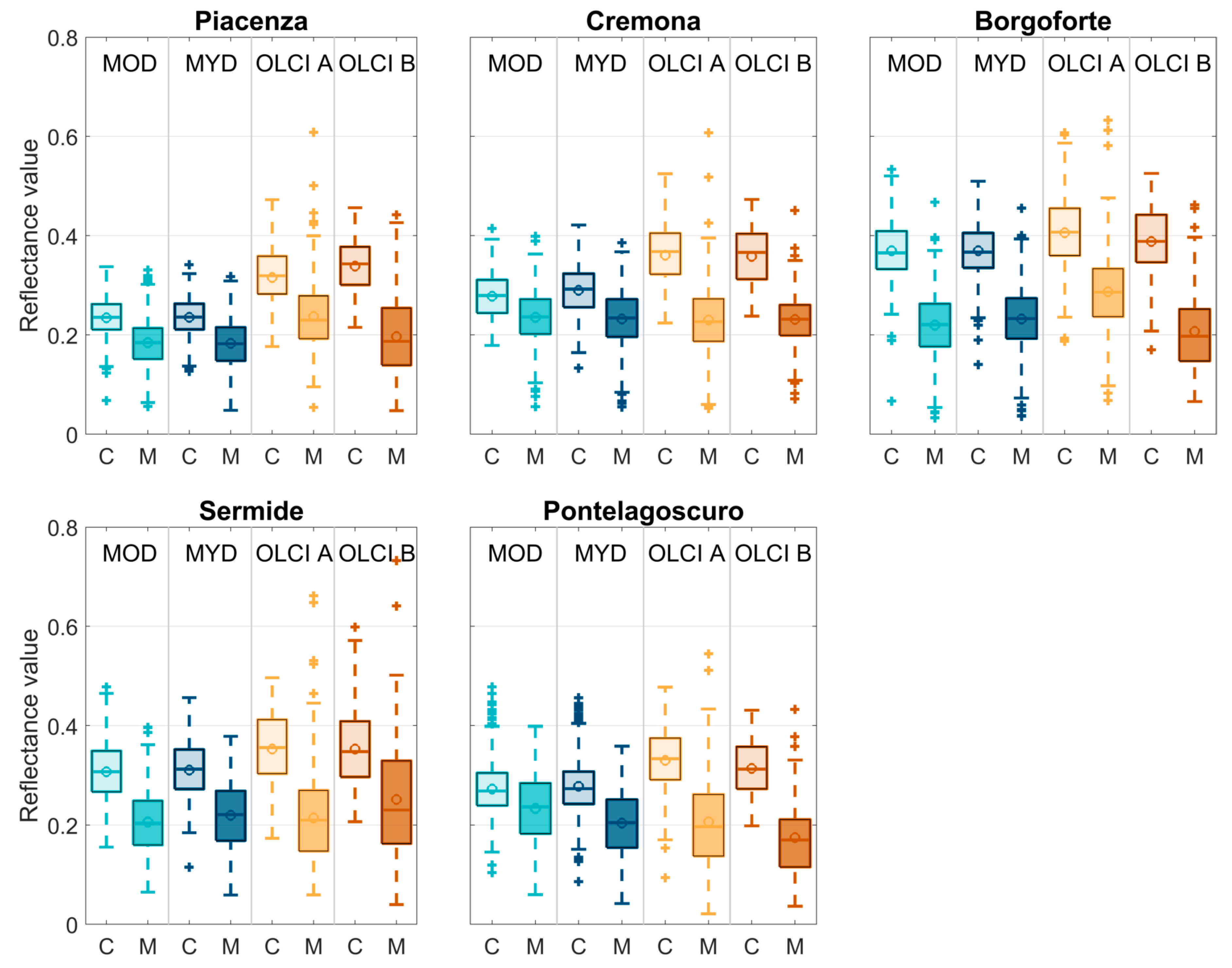
4.1. Analysis of the Reflectance for M and for C Pixels
4.2. Reflectance Values for the Estimation of Different River Flow-Related Variables: Sensitivity Analysis
4.3. Comparison between Single- and Multiple-Pixel Configurations
4.4. Multi-Mission Time Series
5. Conclusions
- (1)
- OLCI is able to detect the dynamics of the river, showing good correlations with all the river flow-related variables. The performances are consistent with those of other satellite sensors tested in the past, and specifically, with MODIS.
- (2)
- For all the sites analyzed, the reflectance ratio C/M is compared with five river flow-related variables: water level, river discharge, flow area, surface width and mean flow velocity. No sensitive differences are found among the river flow-related variables, but all are correlated well with the C/M ratio. However, river flow velocity shows the highest coefficient of correlation.
- (3)
- The integration of the time series from multiple sensors provides a multi-mission time series that is in frequency well adapted to follow the temporal variation of the river including low- and high-flow periods. From the different configurations analyzed in a one-year period, the combination with only OLCI sensors is found to perform less well than the configuration with MODIS sensors. The linear combination of all sensors (configuration 1), provides good results with a very high frequency (about 1.5 days), even if the best trade-off is represented by the combination of MODIS sensors (configuration 5, with R from 0.68 to 0.77) and MODIS and OLCI Sentinel-3A (configuration 4, with R from 0.65 a 0.74), both with a daily temporal resolution. The accuracy in describing the mean flow velocity is demonstrated by the performance indices calculated: on average the RMSE is lower than 0.14 m/s, the relative rRMSE is between the 10% and the 29%, whereas the NS is higher than 0.42.
Author Contributions
Funding
Acknowledgments
Conflicts of Interest
References
- Palmer, M.A.; Reidy Liermann, C.A.; Nilsson, C.; Flörke, M.; Alcamo, J.; Lake, P.S.; Bond, N. Climate change and the world’s river basins: Anticipating management options. Front. Ecol. Environ. 2008, 6, 81–89. [Google Scholar] [CrossRef]
- Hirpa, F.A.; Salamon, P.; Alfieri, L.; Pozo, J.T.D.; Zsoter, E.; Pappenberger, F. The effect of reference climatology on global flood forecasting. J. Hydrometeorol. 2016, 17, 1131–1145. [Google Scholar] [CrossRef]
- GCOS. The Global Observing System for Climate: Implementation Needs. GCOS-200. 2016, p. 341. Available online: https://public.wmo.int/en/programmes/global-climate-observing-system/ (accessed on 24 November 2020).
- Gleason, C.J.; Durand, M.T. Remote Sensing of River Discharge: A Review and a Framing for the Discipline. Remote Sens. 2020, 12, 1107. [Google Scholar] [CrossRef]
- Tarpanelli, A.; Camici, S.; Nielsen, K.; Brocca, L.; Moramarco, T.; Benveniste, J. Potentials and limitations of Sentinel-3 for river discharge assessment. Adv. Space Res. 2019, in press. [Google Scholar] [CrossRef]
- Birkett, C.M.; Mertes, L.A.K.; Dunne, T.; Costa, M.H.; Jasinski, M.J. Surface water dynamics in the Amazon Basin: Application of satellite radar altimetry. J. Geophys. Res. Atmos. 2002, 107, LBA-26-1. [Google Scholar] [CrossRef]
- Da Silva, J.S.; Calmant, S.; Seyler, F.; Rotunno Filho, O.C.; Cochonneau, G.; Mansur, W.J. Water levels in the Amazon basin derived from the ERS 2 and ENVISAT radar altimetry missions. Remote Sens. Environ. 2010, 114, 2160–2181. [Google Scholar] [CrossRef]
- Biancamaria, S.; Frappart, F.; Leleu, A.S.; Marieu, V.; Blumstein, D.; Desjonquères, J.D.; Boy, F.; Sottolichio, A.; Valle-Levinson, A. Satellite radar altimetry water elevations performance over a 200 m wide river: Evaluation over the Garonne River. Adv. Space Res. 2017, 59, 128–146. [Google Scholar] [CrossRef]
- Zakharova, E.A.; Krylenko, I.N.; Kouraev, A.V. Use of non-polar orbiting satellite radar altimeters of the Jason series for estimation of river input to the Arctic Ocean. J. Hydrol. 2019, 568, 322–333. [Google Scholar] [CrossRef]
- Hou, J.; Van Dijk, A.I.; Renzullo, L.J.; Vertessy, R.A. Using modelled discharge to develop satellite-based river gauging: A case study for the Amazon Basin. Hydrol. Earth Syst. Sci. 2018, 22. [Google Scholar] [CrossRef]
- Huang, Q.; Long, D.; Du, M.; Zeng, C.; Qiao, G.; Li, X.; Hou, A.; Hong, Y. Discharge estimation in high-mountain regions with improved methods using multisource remote sensing: A case study of the Upper Brahmaputra River. Remote Sens. Environ. 2018, 219, 115–134. [Google Scholar] [CrossRef]
- Sichangi, A.W.; Wang, L.; Yang, K.; Chen, D.; Wang, Z.; Li, X.; Zhou, J.; Liu, W.; Kuria, D. Estimating continental river basin discharges using multiple remote sensing data sets. Remote Sens. Environ. 2016, 179, 36–53. [Google Scholar] [CrossRef]
- Tarpanelli, A.; Brocca, L.; Lacava, T.; Melone, F.; Moramarco, T.; Faruolo, M.; Pergola, N.; Tramutoli, V. Toward the estimation of river discharge variations using MODIS data in ungauged basins. Remote Sens. Environ. 2013, 136, 47–55. [Google Scholar] [CrossRef]
- Huang, C.; Chen, Y.; Zhang, S.; Wu, J. Detecting, extracting, and monitoring surface water from space using optical sensors: A review. Rev. Geophys. 2018, 56, 333–360. [Google Scholar] [CrossRef]
- Brakenridge, G.R.; Nghiem, S.V.; Anderson, E.; Chien, S. Space-based measurement of river runoff. Eos Trans. AGU 2005, 86, 185–188. [Google Scholar] [CrossRef]
- Tarpanelli, A.; Amarnath, G.; Brocca, L.; Massari, C.; Moramarco, T. Discharge estimation and forecasting by MODIS and altimetry data in Niger-Benue River. Remote Sens. Environ. 2017, 195, 96–106. [Google Scholar] [CrossRef]
- Van Dijk, A.I.J.M.; Brakenridge, G.R.; Kettner, A.J.; Beck, H.E.; De Groeve, T.; Schellekens, J. River gauging at global scale using optical and passive microwave remote sensing. Water Resour. Res. 2016, 52, 6404–6418. [Google Scholar] [CrossRef]
- Tarpanelli, A.; Brocca, L.; Barbetta, S.; Faruolo, M.; Lacava, T.; Moramarco, T. Coupling MODIS and Radar Altimetry Data for Discharge Estimation in Poorly Gauged River Basins. IEEE J. Sel. Top. Appl. 2015, 8, 141–148. [Google Scholar] [CrossRef]
- Tarpanelli, A.; Santi, E.; Tourian, M.J.; Filippucci, P.; Amarnath, G.; Brocca, L. Daily river discharge estimates by merging satellite optical sensors and radar altimetry through artificial neural network. IEEE Trans. Geosci. Remote 2018, 57, 329–341. [Google Scholar] [CrossRef]
- Hou, J.; Van Dijk, A.I.J.M.; Beck, H.E. Global satellite-based river gauging and the influence of river morphology on its application. Remote Sens. Environ. 2020, 239, 111629. [Google Scholar] [CrossRef]
- Li, H.; Li, H.; Wang, J.; Hao, X. Extending the Ability of Near-Infrared Images to Monitor Small River Discharge on the Northeastern Tibetan Plateau. Water Resour. Res. 2019, 55, 8404–8421. [Google Scholar] [CrossRef]
- Shi, Z.; Chen, Y.; Liu, Q.; Huang, C. Discharge Estimation Using Harmonized Landsat and Sentinel-2 Product: Case Studies in the Murray Darling Basin. Remote Sens. 2020, 12, 2810. [Google Scholar] [CrossRef]
- Sahoo, D.P.; Sahoo, B.; Tiwari, M.K. Copula-based probabilistic spectral algorithms for high-frequent streamflow estimation. Remote Sens. Environ. 2020, 251, 112092. [Google Scholar] [CrossRef]
- Claverie, M.; Ju, J.; Masek, J.G.; Dungan, J.L.; Vermote, E.F.; Roger, J.-C.; Skakun, S.; Justice, C. The Harmonized Landsat and Sentinel-2 surface reflectance data set. Remote Sens. Environ. 2018, 219, 145–161. [Google Scholar] [CrossRef]
- Donlon, C.; Berruti, B.; Buongiorno, A.; Ferreira, M.H.; Féménias, P.; Frerick, J.; Goryl, P.; Klein, U.; Laur, H.; Mavrocordatos, C.; et al. The global monitoring for environment and security (GMES) sentinel-3 mission. Remote Sens. Environ. 2012, 120, 37–57. [Google Scholar] [CrossRef]
- RIDESAT. River Flow Monitoring and Discharge Estimation by Integrating Multiple SATellite Data. Available online: https://eo4society.esa.int/projects/ridesat/ (accessed on 22 September 2020).
- Castellarin, A.; Domeneghetti, A.; Brath, A. Identifying robust large-scale flood risk mitigation strategies: A quasi-2D hydraulic model as a tool for the Po river. Phys. Chem. Earth Parts A/B/C 2011, 36, 299–308. [Google Scholar] [CrossRef]
- Montanari, A. Hydrology of the Po River: Looking for changing patterns in river discharge. Hydrol. Earth Syst. Sci. 2012, 16, 3739–3747. [Google Scholar] [CrossRef]
- Domeneghetti, A.; Vorogushyn, S.; Castellarin, A.; Merz, B.; Brath, A. Probabilistic flood hazard mapping: Effects of uncertain boundary conditions. Hydrol. Earth Syst. Sci. 2013, 17, 3127–3140. [Google Scholar] [CrossRef]
- Tarpanelli, A.; Barbetta, S.; Brocca, L.; Moramarco, T. River discharge estimation by using altimetry data and simplified flood routing modeling. Remote Sens. 2013, 5, 4145–4162. [Google Scholar] [CrossRef]
- Tourian, M.J.; Tarpanelli, A.; Elmi, O.; Qin, T.; Brocca, L.; Moramarco, T.; Sneeuw, N. Spatiotemporal densification of river water level time series by multimission satellite altimetry. Water Resour. Res. 2016, 52. [Google Scholar] [CrossRef]
- Domeneghetti, A.; Tarpanelli, A.; Brocca, L.; Barbetta, S.; Moramarco, T.; Castellarin, A.; Brath, A. The use of remote sensing-derived water surface data for hydraulic model calibration. Remote Sens. Environ. 2014, 149, 130–141. [Google Scholar] [CrossRef]
- Schneider, R.; Tarpanelli, A.; Nielsen, C.; Madsen, H.; Bauer-Gottwein, P. Evaluation of multi-mode Cryosat-2 altimetry data over the Po River against in situ data and a hydrodynamic model. Adv. Water Resour. 2018, 112, 17–26. [Google Scholar] [CrossRef]
- D3xter Service. Available online: https://simc.arpae.it/dext3r/ (accessed on 6 November 2020).
- Copernicus Open Access Hub. Available online: https://scihub.copernicus.eu/ (accessed on 22 September 2020).
- Land Colour Instrument OLCI. Available online: https://sentinel.esa.int/web/sentinel/missions/sentinel-3/instrument-payload/olci (accessed on 22 September 2020).
- Case 2 Regional Coast Color Processor, C2RCC. Available online: https://www.brockmann-consult.de/portfolio/climate-change/ (accessed on 22 September 2020).
- United States Geological Survey, USGS. Available online: https://search.earthdata.nasa.gov/ (accessed on 22 September 2020).
- Land Processes Distributed Active Archive Center, LP DAAC. Available online: https://lpdaac.usgs.gov/products/mod09gqv006/ (accessed on 22 September 2020).
- Tarpanelli, A.; Massari, C.; Ciabatta, L.; Filippucci, P.; Amarnath, G.; Brocca, L. Exploiting a constellation of satellite soil moisture sensors for accurate rainfall estimation. Adv. Water Resour. 2017, 108, 249–255. [Google Scholar] [CrossRef]
- Cuevas, A.; Febrero, M.; Fraiman, R. An ANOVA test for functional data. Comput. Stat. Data Anal. 2004, 47, 111–122. [Google Scholar] [CrossRef]
- Nash, J.E.; Sutcliffe, J.V. River flow forecasting through conceptual models, part I: A discussion of principles. J. Hydrol. 1970, 10, 282–290. [Google Scholar] [CrossRef]
- Biancamaria, S.; Lettenmaier, D.P.; Pavelsky, T.M. The SWOT Mission and Its Capabilities for Land Hydrology. Surv. Geophys. 2016, 37, 307–337. [Google Scholar] [CrossRef]
- Scharroo, R.; Bonekamp, H.; Ponsard, C.; Parisot, F.; von Engeln, A.; Tahtadjiev, M.; de Vriendt, K.; Montagner, F. Jason continuity of services: Continuing the Jason altimeter data records as Copernicus Sentinel-6. Ocean Sci. 2016, 12, 471–479. [Google Scholar] [CrossRef]
- Kern, M.; Cullen, R.; Berruti, B.; Bouffard, J.; Casal, T.; Drinkwater, M.R.; Gabriele, A.; Lecuyot, A.; Ludwig, M.; Midthassel, R.; et al. The Copernicus Polar Ice and Snow Topography Altimeter (CRISTAL) high-priority candidate mission. Cryosphere 2020, 14, 2235–2251. [Google Scholar] [CrossRef]
- STREAM SaTellite Based Runoff Evaluation and Mapping. Available online: https://eo4society.esa.int/projects/stream/ (accessed on 22 September 2020).
- HydroCoastal: Coastal Ocean and Inland Water Altimetry. Available online: https://eo4society.esa.int/projects/hydrocoastal/ (accessed on 22 September 2020).








| Lat | Lon | Ab [km2] | WL [m] | Q [m3/s] | A [m2] | W [m] | v [m/s] | |
|---|---|---|---|---|---|---|---|---|
| Piacenza | 45.07 | 9.73 | 42′030 | 41.27–49.10 | 242–6850 | 1119–4467 | 153–855 | 0.22–1.79 |
| Cremona | 45.13 | 9.99 | 50′726 | 26.71–37.50 | 377–6630 | 520–4080 | 237–707 | 0.55–1.94 |
| Borgoforte | 45.05 | 10.76 | 62′450 | 11.63–21.17 | 457–5957 | 739–3602 | 231–421 | 0.59–1.72 |
| Sermide | 45.02 | 11.29 | 68′724 | 5.52–13.72 | 397–6062 | 979–5008 | 458–531 | 0.41–1.21 |
| Pontelagoscuro | 44.89 | 11.61 | 70′091 | 1.45–9.89 | 406–5905 | 1181–3443 | 249–291 | 0.34–1.77 |
| Configuration Number | Combination | Period of Analysis |
|---|---|---|
| 1 | MOD, MYD, OLCI A, OLCI B | Dec. 2018–Nov. 2019 |
| 2 | MOD, MYD | Dec. 2018–Nov. 2019 |
| 3 | OLCI A, OLCI B | Dec. 2018–Nov. 2019 |
| 4 | MOD, MYD, OLCI A | Jan. 2016–Nov. 2019 |
| 5 | MOD, MYD | Jan. 2016–Nov. 2019 |
| 6 | MOD, OLCI A | Jan. 2016–Nov. 2019 |
| 7 | MYD, OLCI A | Jan. 2016–Nov. 2019 |
| Sensors | River Flow-Related Variables | ||||||||
|---|---|---|---|---|---|---|---|---|---|
| MOD | MYD | OLCI A | OLCI B | WL | Q | A | W | V | |
| F | 1.87 | 0.96 | 0.28 | 1.31 | 5.47 | 4.31 | 4.46 | 3.17 | 7.35 |
| p-value | 0.1556 | 0.4502 | 0.8881 | 0.3015 | 0.0088 | 0.0208 | 0.0185 | 0.0531 | 0.0026 |
| R (ns) [-] | RMSE [m/s] | rRMSE [%] | NSE [-] | R (ns) [-] | RMSE [m/s] | rRMSE [%] | NSE [-] | |
|---|---|---|---|---|---|---|---|---|
| Investigation A | Investigation B | |||||||
| Configuration 4 | ||||||||
| Piacenza | 0.81 (290) | 0.11 | 22.92 | 0.66 | 0.73 (833) | 0.14 | 28.82 | 0.54 |
| Cremona | 0.78 (203) | 0.09 | 10.40 | 0.62 | 0.66 (844) | 0.11 | 12.82 | 0.46 |
| Borgoforte | 0.80 (331) | 0.09 | 11.76 | 0.64 | 0.74 (873) | 0.11 | 13.23 | 0.55 |
| Sermide | 0.68 (289) | 0.07 | 12.12 | 0.46 | 0.65 (844) | 0.08 | 13.94 | 0.42 |
| Pontelagoscuro | 0.78 (298) | 0.11 | 18.33 | 0.60 | 0.69 (849) | 0.14 | 22.06 | 0.48 |
| Configuration 5 | ||||||||
| Piacenza | 0.76 (561) | 0.14 | 27.53 | 0.58 | 0.74 (833) | 0.14 | 28.30 | 0.56 |
| Cremona | 0.80 (373) | 0.09 | 10.79 | 0.64 | 0.77 (758) | 0.10 | 11.24 | 0.59 |
| Borgoforte | 0.78 (568) | 0.10 | 11.99 | 0.61 | 0.74 (834) | 0.11 | 13.22 | 0.55 |
| Sermide | 0.68 (511) | 0.07 | 12.33 | 0.47 | 0.68 (789) | 0.08 | 13.43 | 0.46 |
| Pontelagoscuro | 0.77 (518) | 0.12 | 18.71 | 0.59 | 0.71 (774) | 0.14 | 21.38 | 0.50 |
Publisher’s Note: MDPI stays neutral with regard to jurisdictional claims in published maps and institutional affiliations. |
© 2020 by the authors. Licensee MDPI, Basel, Switzerland. This article is an open access article distributed under the terms and conditions of the Creative Commons Attribution (CC BY) license (http://creativecommons.org/licenses/by/4.0/).
Share and Cite
Tarpanelli, A.; Iodice, F.; Brocca, L.; Restano, M.; Benveniste, J. River Flow Monitoring by Sentinel-3 OLCI and MODIS: Comparison and Combination. Remote Sens. 2020, 12, 3867. https://doi.org/10.3390/rs12233867
Tarpanelli A, Iodice F, Brocca L, Restano M, Benveniste J. River Flow Monitoring by Sentinel-3 OLCI and MODIS: Comparison and Combination. Remote Sensing. 2020; 12(23):3867. https://doi.org/10.3390/rs12233867
Chicago/Turabian StyleTarpanelli, Angelica, Filippo Iodice, Luca Brocca, Marco Restano, and Jérôme Benveniste. 2020. "River Flow Monitoring by Sentinel-3 OLCI and MODIS: Comparison and Combination" Remote Sensing 12, no. 23: 3867. https://doi.org/10.3390/rs12233867
APA StyleTarpanelli, A., Iodice, F., Brocca, L., Restano, M., & Benveniste, J. (2020). River Flow Monitoring by Sentinel-3 OLCI and MODIS: Comparison and Combination. Remote Sensing, 12(23), 3867. https://doi.org/10.3390/rs12233867

