Impact of Expansion Pattern of Built-Up Land in Floodplains on Flood Vulnerability: A Case Study in the North China Plain Area
Abstract
1. Introduction
2. Materials and Methods
2.1. Study Area
2.2. Data and Pre-Processing
2.3. Methods
2.3.1. Overall Framework
2.3.2. Landscape Metrics of Built-Up Land in Floodplains
2.3.3. Patch Size Classification of the Built-Up Land in Floodplains
2.3.4. Expansion Type Identification of New Built-Up Land in Floodplains
- (1)
- If the new BLF patches belong to the infilling type, most of their buffer areas will be occupied by pre-existing BLF patches (Figure 5A).
- (2)
- If a newly grown patch is an edge-expansion type, the buffer zone is mixed with the pre-existing BLF patches and vacant land (i.e., non-built-up land) (Figure 5B).
- (3)
- The buffer zone of outlying patches is composed exclusively of vacant land (Figure 5C).
2.3.5. Buffer Distance Setting in the Landscape Expansion Index
2.3.6. The Relationship between the Expansion Pattern and Flood Vulnerability
3. Results
3.1. Spatial Distribution of Built-Up Land in Floodplains
3.2. Rapid Growth and Dynamics of Built-Up Land in Floodplains
3.2.1. Rapid Growth of Built-Up Land in Floodplains
3.2.2. Dynamics of the Built-Up Land in Floodplains
3.3. Expansion Types and Characteristics of New Growth Built-Up Land in Floodplains
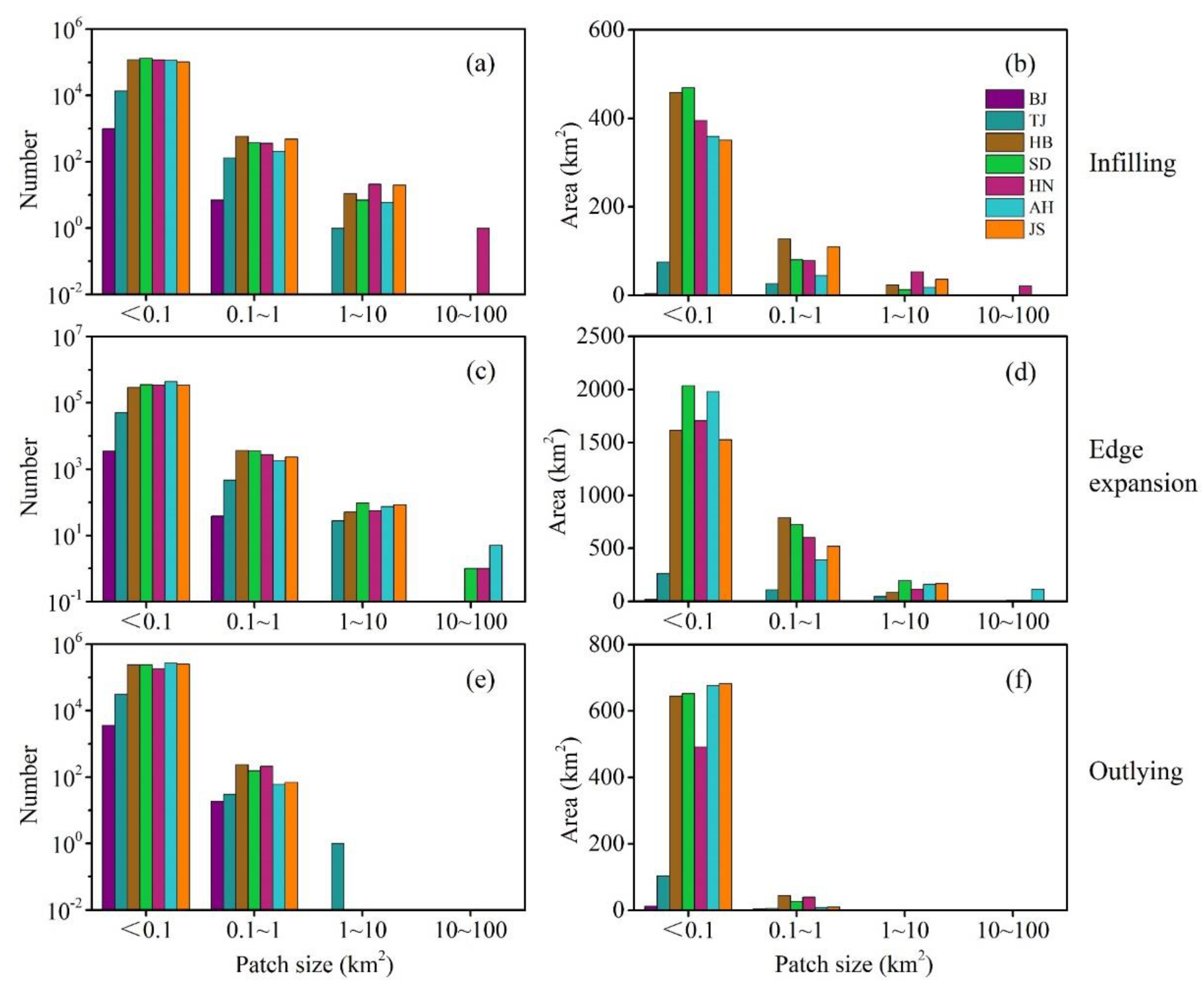
3.4. Patch Size Characteristics of the Growth Built-Up Land in Floodplains
3.5. The BLF Expansion Pattern Impact on Flood Vulnerability and Adaptation Strategy
3.5.1. Impact of Patch Size on Flood Vulnerability and Adaptation Strategy
3.5.2. Impact of Expansion Type on Flood Vulnerability and Adaptation Strategy
4. Discussion
4.1. Stability Analysis of Correlation Coefficient under Different Data Resolution
4.2. Comparison with Previous Studies
4.3. Policy Implications and Suggestions
4.4. Remaining Deficiencies and Future Research Direction
5. Conclusions
Author Contributions
Funding
Acknowledgments
Conflicts of Interest
References
- Du, S.; He, C.; Huang, Q.; Shi, P. How did the urban land in floodplains distribute and expand in China from 19922–015? Environ. Res. Lett. 2018, 13, 034018. [Google Scholar] [CrossRef]
- Chen, X.; Chen, L.; Stone, M.C.; Acharya, K. Assessing connectivity between the river channel and floodplains during high flows using hydrodynamic modeling and particle tracking analysis. J. Hydrol. 2020, 583, 124609. [Google Scholar] [CrossRef]
- Burke, J.J.; Pricope, N.G.; Blum, J. Thermal imagery-derived surface inundation modeling to assess flood risk in a flood-pulsed savannah watershed in Botswana and Namibia. Remote Sens. 2016, 8, 676. [Google Scholar] [CrossRef]
- Di Baldassarre, G.; Viglione, A.; Carr, G.; Kuil, L.; Salinas, J.L.; Blöschl, G. Socio-hydrology: Conceptualising human-flood interactions. Hydrol. Earth Syst. Sci. 2013, 17, 3295. [Google Scholar] [CrossRef]
- Wing, O.E.; Pinter, N.; Bates, P.D.; Kousky, C. New insights into US flood vulnerability revealed from flood insurance big data. Nat. Commun. 2020, 11, 1444. [Google Scholar] [CrossRef]
- Gober, P.; Wheater, H.S. Debates-Perspectives on socio-hydrology: Modeling flood risk as a public policy problem. Water Resour. Res. 2015, 51, 4782–4788. [Google Scholar] [CrossRef]
- Sivapalan, M.; Savenije, H.H.; Blöschl, G. Socio-hydrology: A new science of people and water. Hydrol. Process. 2012, 26, 1270–1276. [Google Scholar] [CrossRef]
- Früh-Müller, A.; Wegmann, M.; Koellner, T. Flood exposure and settlement expansion since pre-industrial times in 1850 until 2011 in north Bavaria, Germany. Reg. Environ. Chang. 2015, 15, 183–193. [Google Scholar] [CrossRef]
- Wu, K.Y.; Zhang, H. Land use dynamics, built-up land expansion patterns, and driving forces analysis of the fast-growing Hangzhou metropolitan area, eastern China (19782–008). Appl. Geogr. 2012, 34, 137–145. [Google Scholar] [CrossRef]
- Luo, J.; Xing, X.; Wu, Y.; Zhang, W.; Chen, R.S. Spatio-temporal analysis on built-up land expansion and population growth in the Yangtze River Delta Region, China: From a coordination perspective. Appl. Geogr. 2018, 96, 98–108. [Google Scholar] [CrossRef]
- Sun, Y.; Zhao, S. Spatiotemporal dynamics of urban expansion in 13 cities across the Jing-Jin-Ji urban agglomeration from 1978 to 2015. Ecol. Indic. 2018, 87, 302–313. [Google Scholar] [CrossRef]
- Hussein, K.; Alkaabi, K.; Ghebreyesus, D.; Liaqat, M.U.; Sharif, H.O. Land use/land cover change along the Eastern Coast of the UAE and its impact on flooding risk. Geomat. Nat. Haz. Risk 2020, 11, 112–130. [Google Scholar] [CrossRef]
- Hemmati, M.; Ellingwood, B.R.; Mahmoud, H.N. The role of urban growth in resilience of communities under flood risk. Earth Future 2020, 8, e2019EF001382. [Google Scholar] [CrossRef] [PubMed]
- Tahmina, A.; Philippe, Q.; Eisenreich, S.J.; Guido, V. Impacts of climate and land use changes on flood risk management for the schijn river, belgium. Environ. Sci. Policy 2018, 89, 163–175. [Google Scholar]
- Corbane, C.; Pesaresi, M.; Kemper, T.; Politis, P.; Florczyk, A.J.; Syrris, V.; Melchiorri, M.; Sabo, F.; Soille, P. Automated global delineation of human settlements from 40 years of Landsat satellite data archives. Big Earth Data 2019, 3, 140–169. [Google Scholar] [CrossRef]
- Pesaresi, M.; Syrris, V.; Julea, A. A new method for earth observation data analytics based on symbolic machine learning. Remote Sens. 2016, 8, 399. [Google Scholar] [CrossRef]
- Sun, W.J.; Zhang, K.; Zheng, Y.N.; Zhang, M.H. Research review on the city flood control of China. J. Dalian Univ. 2016, 37, 45–48. [Google Scholar]
- Ward, P.; Jongman, B.; Aerts, C.J.H.; Bates, D.P.; Botzen, W.J.W.; Diaz Loaiza, M.; Hallegatte, S.; Kind, J. A global framework for future costs and benefits of river-flood prevention in urban areas. Nat. Clim. Chang. 2017, 7, 642–646. [Google Scholar] [CrossRef]
- Bae, S.; Chang, H. Urbanization and floods in the Seoul Metropolitan area of South Korea: What old maps tell us. Int. J. Disaster Risk Reduct. 2019, 37, 101186. [Google Scholar] [CrossRef]
- Wang, Y.; Xie, X.; Liang, S.; Zhu, B.; Yao, Y.; Meng, S.; Lu, C. Quantifying the response of potential flooding risk to urban growth in Beijing. Sci. Total Environ. 2020, 705, 135868. [Google Scholar] [CrossRef]
- Wei, X.Q.; Ye, Y.; Zhang, Q.; Li, B.B.; Wei, Z.D. Reconstruction of cropland change in North China Plain Area over the past 300 years. Global Planet. Chang. 2019, 176, 60–70. [Google Scholar] [CrossRef]
- Yin, W.; Han, S.C.; Zheng, W.; Yeo, I.Y.; Hu, L.; Tangdamrongsub, N.; Ghobadi-Far, K. Improved water storage estimates within the North China Plain by assimilating GRACE data into the CABLE model. J. Hydrol. 2020, 590, 125348. [Google Scholar] [CrossRef]
- National Bureau of Statistics. China Statistical Yearbook 2019; China Statistical Press: Beijing, China, 2019. [Google Scholar]
- Li, S.; Yang, H.; Lacayo, M.; Liu, J.; Lei, G. Impacts of land-use and land-cover changes on water yield: A case study in Jing-Jin-Ji, China. Sustainability 2018, 10, 960. [Google Scholar] [CrossRef]
- Zhang, Y.; Hong, Y.; Wang, X.; Gourley, J.J.; Xue, X.; Saharia, M.; Ni, G.; Wang, G.; Huang, Y.; Chen, S.; et al. Hydrometeorological analysis and remote sensing of extremes: Was the July 2012 Beijing flood event detectable and predictable by global satellite observing and global weather modeling systems? J. hydrometeorol. 2015, 16, 381–395. [Google Scholar] [CrossRef]
- Rudari, R.; Silvestro, F.; Campo, L.; Rebora, N.; Boni, G.; Herold, C. Improvement of the Global Food Model for the GAR 2015; United Nations Office for Disaster Risk Reduction (UNDRR): Geneva, Switzerland, 2015; p. 69. [Google Scholar]
- Brakenridge, G.R. Global Active Archive of Large Flood Events. 2012. Available online: http://floodobservatory.colorado.edu/Archives/index.html. (accessed on 2 June 2020).
- Liu, X.; Li, X.; Chen, Y.; Tan, Z.; Li, S.; Ai, B. A new landscape index for quantifying urban expansion using multi-temporal remotely sensed data. Landsc. Ecol. 2010, 25, 671–682. [Google Scholar] [CrossRef]
- Löwe, R.; Arnbjerg-Nielsen, K. Urban pluvial flood risk assessment-data resolution and spatial scale when developing screening approaches on the microscale. Nat. Hazards Earth Syst. Sci. 2020, 20, 981–997. [Google Scholar] [CrossRef]
- Tehrany, M.S.; Jones, S.; Shabani, F. Identifying the essential flood conditioning factors for flood prone area mapping using machine learning techniques. Catena 2019, 175, 174–192. [Google Scholar] [CrossRef]
- Ceccato, V.; Willems, O. Temporal and spatial dynamics of falls among older pedestrians in Sweden. Appl. Geogr. 2019, 103, 122–133. [Google Scholar] [CrossRef]
- Kundzewicz, Z.W.; Su, B.; Wang, Y.; Xia, J.; Huang, J.; Jiang, T. Flood risk and its reduction in China. Adv. Water Resour. 2019, 130, 37–45. [Google Scholar] [CrossRef]
- Cheng, X. Flood risk and flood management policies in China. In Annual Report on China’s Response to Climate Change (2017); Springer: Singapore, 2020. [Google Scholar]
- Ministry of Housing and Urban-Rural Development of China. Standard for Flood Control (GB50201-2014); Ministry of Housing and Urban-Rural Development of China: Beijing, China, 2014.
- Scussolini, P.; Tran, T.T.V.; Koks, E.; Diaz-Loaiza, A.; Ho, P.L.; Lasage, R. Adaptation to sea level rise: A multidisciplinary analysis for ho chi minn city, vietnam. Water Resour Res. 2017, 53, 10841–10857. [Google Scholar] [CrossRef]
- Marks, D. The urban political ecology of the 2011 floods in Bangkok: The creation of uneven vulnerabilities. Pac. Aff. 2015, 88, 623–651. [Google Scholar] [CrossRef]
- Ziegler, A.D.; She, L.H.; Tantasarin, C.; Jachowski, N.R.; Wasson, R. Floods, false hope, and the future. Hydrol. Process. 2012, 26, 1748–1750. [Google Scholar] [CrossRef]
- Jongman, B. Effective adaptation to rising flood risk. Nat. Commun. 2018, 9, 1–3. [Google Scholar] [CrossRef]
- Mishra, A.; Siderius, C.; Aberson, K.; Martine, V.D.P.; Froebrich, J. Short-term rainfall forecasts as a soft adaptation to climate change in irrigation management in north-east india. Agr. Water Manag. 2013, 127, 97–106. [Google Scholar] [CrossRef]
- Martinez-Juarez, P.; Chiabai, A.; Suárez, C.; Quiroga, S. Insights on urban and periurban adaptation strategies based on stakeholders’ perceptions on hard and soft responses to climate change. Sustainability 2019, 11, 647. [Google Scholar] [CrossRef]
- Meng, M.; Dąbrowski, M.; Stead, D. Shifts in Spatial Plans for Flood Resilience and Climate Adaptation: Examining Planning Procedure and Planning Mandates. Sustainability 2020, 12, 105. [Google Scholar] [CrossRef]
- Wang, C.; Zhang, Y.; Yang, Y.; Yang, Q.; Hong, J. What is driving the abandonment of villages in the mountains of Southeast China? Land Degrad. Dev. 2019, 30, 1183–1192. [Google Scholar] [CrossRef]
- Wang, C.; Gao, B.; Weng, Z.; Tian, Y. Primary causes of total hamlet abandonment for different types of hamlets in remote mountain areas of China: A case study of Shouning County, Fujian Province. Land Use Policy 2020, 95, 104627. [Google Scholar] [CrossRef]
- Wang, J.; Li, Y.; Wang, Q.; Cheong, K.C. Urban-Rural Construction Land Replacement for More Sustainable Land Use and Regional Development in China: Policies and Practices. Land 2019, 8, 171. [Google Scholar] [CrossRef]
- Sohn, W.; Kim, J.H.; Li, M.H.; Brown, R.D.; Jaber, F.H. How does increasing impervious surfaces affect urban flooding in response to climate variability? Ecol. Indic. 2020, 118, 106774. [Google Scholar] [CrossRef]
- De Mello Silva, C.; da Silva, G.B.L. Cumulative effect of the disconnection of impervious areas within residential lots on runoff generation and temporal patterns in a small urban area. J. Environ. Manag. 2020, 253, 109719. [Google Scholar] [CrossRef] [PubMed]
- Chen, J.; Ji, J.; Wang, H.; Deng, M.; Yu, C. Risk assessment of urban rainstorm disaster based on multi-layer weighted principal component analysis: A case study of Nanjing, China. Int. J. Environ. Res. Public Health 2020, 17, 5523. [Google Scholar] [CrossRef] [PubMed]
- Han, Y.; Huang, Q.; He, C.; Fang, Y.; Wen, J.; Gao, J.; Du, S. The growth mode of built-up land in floodplains and its impacts on flood vulnerability. Sci. Total Environ. 2020, 700, 134462. [Google Scholar] [CrossRef] [PubMed]
- Leyk, S.; Uhl, J.H.; Balk, D.; Jones, B. Assessing the accuracy of multi-temporal built-up land layers across rural-urban trajectories in the United States. Remote Sens. Environ. 2018, 204, 898–917. [Google Scholar] [CrossRef]
- Du, S.; Shi, P.; Van Rompaey, A.; Wen, J. Quantifying the impact of impervious surface location on flood peak discharge in urban areas. Nat. Hazards 2015, 76, 1457–1471. [Google Scholar] [CrossRef]
- Wang, G.; Liu, Y.; Hu, Z.; Lyu, Y.; Zhang, G.; Liu, J.; Liu, Y.; Gu, Y.; Huang, X.; Zheng, H.; et al. Flood Risk Assessment Based on Fuzzy Synthetic Evaluation Method in the Beijing-Tianjin-Hebei Metropolitan Area, China. Sustainability 2020, 12, 1451. [Google Scholar] [CrossRef]
- Liao, X.L.; Xu, W.; Zhang, J.L.; Li, Y.; Tian, Y.G. Global exposure to rainstorms and the contribution rates of climate change and population change. Sci. Total Environ. 2019, 663, 644–653. [Google Scholar] [CrossRef]
- Willner, S.N.; Otto, C.; Levermann, A. Global economic response to river floods. Nat. Clim. Chang. 2018, 8, 594–598. [Google Scholar] [CrossRef]
- Dottori, F.; Szewczyk, W.; Ciscar, J.C.; Zhao, F.; Alfieri, L.; Hirabayashi, Y.; Alessandra Bianchi, A.; Mongelli, I.; Frieler, K.; Betts, R.A.; et al. Increased human and economic losses from river flooding with anthropogenic warming. Nat. Clim. Chang. 2018, 8, 781–786. [Google Scholar] [CrossRef]
- Wang, J.; Liu, J.; Wang, H.; Shao, W.; Mei, C.; Ding, X. Matching analysis of investment structure and urban inundation control function of sponge cities in China. J. Clean Prod. 2020, 121850. [Google Scholar] [CrossRef]
- Cheng, X.T.; Li, C.C. The evolution trend, key features and countermeasures of urban flood risk. China Flood Drought Manag. 2015, 25, 6–9. [Google Scholar]
- De Ruig, L.T.; Haer, T.; De Moel, H.; Botzen, W.W.; Aerts, J.C. A micro-scale cost-benefit analysis of building-level flood risk adaptation measures in Los Angeles. Water Resour. Econ. 2019, 100147, in press. [Google Scholar] [CrossRef]
- Vousdoukas, M.I.; Mentaschi, L.; Hinkel, J.; Ward, P.J.; Mongelli, I.; Ciscar, J.C.; Feyen, L. Economic motivation for raising coastal flood defenses in Europe. Nat. Commun. 2020, 11, 1–11. [Google Scholar] [CrossRef] [PubMed]
- Du, S.; Scussolini, P.; Ward, P.J.; Zhang, M.; Wen, J.; Wang, L.; Koks, E.; Diaz-Loaizab, A.; Gao, J.; Ke, Q.; et al. Hard or soft flood adaptation? Advantages of a hybrid strategy for Shanghai. Glob. Environ. Chang. 2020, 61, 102037. [Google Scholar] [CrossRef]

















| Buffer Distances (m) | Average Standard Deviation (ASD) | ||
|---|---|---|---|
| 1975–1990 | 1990–2000 | 2000–2014 | |
| 1–5 | 0.074 | 0.072 | 0.077 |
| 10–30 | 0.462 | 0.447 | 0.471 |
| Provinces (Cities) | Growth Area (km2) | Proportion (%) | CR (%) | AACR (%) |
|---|---|---|---|---|
| Beijing | 49.39 | 0.26 | 194.57 | 2.81 |
| Tianjin | 636.89 | 3.36 | 264.95 | 3.38 |
| Hebei | 3788.67 | 19.97 | 357.25 | 3.97 |
| Shandong | 4212.73 | 22.21 | 344.84 | 3.90 |
| Henan | 3524.79 | 18.58 | 235.47 | 3.15 |
| Anhui | 3352.21 | 17.67 | 172.67 | 2.61 |
| Jiangsu | 3406.75 | 17.96 | 572.45 | 5.01 |
| NCPA | 18971.42 | 100.00 | 288.26 | 3.45 |
| Provinces (Cities) | 1975–1990 | 1990–2000 | 2000–2014 | |||
|---|---|---|---|---|---|---|
| CR (%) | AACR (%) | CR (%) | AACR (%) | CR (%) | AACR (%) | |
| Beijing | 30.92 | 4.41 | 15.46 | 1.45 | 33.52 | 2.08 |
| Tianjin | 32.03 | 5.30 | 22.37 | 2.04 | 37.49 | 2.30 |
| Hebei | 37.03 | 6.83 | 28.31 | 2.52 | 32.32 | 2.02 |
| Shandong | 35.13 | 6.48 | 26.93 | 2.41 | 36.74 | 2.66 |
| Henan | 37.82 | 5.55 | 16.86 | 1.56 | 26.53 | 1.68 |
| Anhui | 29.99 | 4.85 | 25.00 | 2.52 | 20.00 | 2.02 |
| Jiangsu | 35.14 | 8.42 | 40.65 | 3.47 | 42.16 | 2.54 |
| Average | 34.01 | 5.98 | 25.08 | 2.28 | 32.68 | 2.19 |
| Patch Sizes | 1975–2014 (N = 77) | 1975–1990 (N = 77) | 1990–2000 (N = 77) | 2000–2014 (N = 77) |
|---|---|---|---|---|
| Total BLF increase | 0.36 ** | 0.41 ** | 0.31 ** | 0.29 ** |
| Large patches Small patches | 0.18 | 0.22 | −0.05 | −0.07 |
| 0.36 ** | 0.40 ** | 0.32 ** | 0.31 ** |
| Expansion Types | 1975~2014 (N = 77) | 1975~1990 (N = 77) | 1990~2000 (N = 77) | 2000~2014 (N = 77) |
|---|---|---|---|---|
| Infilling | 0.27 * | 0.05 | 0.17 | 0.19 |
| Edge-expansion | 0.53 ** | 0.39 ** | 0.35 ** | 0.32 ** |
| Outlying | 0.51 ** | 0.52 ** | 0.33 ** | 0.45 ** |
| Expansion Pattern | Different Resolutions (m) | ||||
|---|---|---|---|---|---|
| 30 m | 150 m | 250 m | 500 m | 1000 m | |
| Total BLF increase | 0.36 ** | 0.49 ** | 0.49 ** | 0.48 ** | 0.48 ** |
| Large patches | 0.18 | 0.14 | 0.16 | 0.18 | 0.29 * |
| Small patches | 0.36 ** | 0.39 ** | 0.39 ** | 0.46 ** | 0.46 ** |
| Infilling | 0.27 * | 0.17 | 0.23 * | 0.24 * | 0.20 |
| Edge-expansion | 0.53 ** | 0.35 ** | 0.42 ** | 0.37 ** | 0.42 ** |
| Outlying | 0.51 ** | 0.38 ** | 0.39 ** | 0.44 ** | 0.36 ** |
| Performance Metrics | 2015 Version | 2018 Version |
|---|---|---|
| Balanced Accuracy | 0.83 | 0.86 |
| Omission Error | 0.22 | 0.18 |
| Commission Error | 0.46 | 0.42 |
| Year | Policy/Decrees | Related Contents | Departments |
|---|---|---|---|
| 1989 | Urban Planning Law of the People’s Republic of China | Flood prevention measures should be implemented in areas prone to catastrophic flooding | MOHURD |
| 1998 | Disaster Reduction Planning of the People’s Republic of China (1998–2010) | Upgrading of flood prevention standards in core cities and implementing integrated disaster mitigation plans | MOHURD, MWR, MCA |
| 2007 | China’s National Plan of Integrated Disaster Reduction (2006–2010) | Compilation of the national integrated disaster risk map | MOHURD, MWR, MCA |
| 2007 | Urban-Rural Planning Law of the People’s Republic of China | Disaster prevention and reduction should be included in the comprehensive plans of cities and towns | MOHURD |
| 2011 | China’s National Plan of Integrated Disaster Prevention and Reduction (2011–2015) | Compilation of integrated risk maps at different scales; improving flood prevention in small and medium-sized rivers | MOHURD, MWR, MCA |
© 2020 by the authors. Licensee MDPI, Basel, Switzerland. This article is an open access article distributed under the terms and conditions of the Creative Commons Attribution (CC BY) license (http://creativecommons.org/licenses/by/4.0/).
Share and Cite
Wang, G.; Hu, Z.; Liu, Y.; Zhang, G.; Liu, J.; Lyu, Y.; Gu, Y.; Huang, X.; Zhang, Q.; Tong, Z.; et al. Impact of Expansion Pattern of Built-Up Land in Floodplains on Flood Vulnerability: A Case Study in the North China Plain Area. Remote Sens. 2020, 12, 3172. https://doi.org/10.3390/rs12193172
Wang G, Hu Z, Liu Y, Zhang G, Liu J, Lyu Y, Gu Y, Huang X, Zhang Q, Tong Z, et al. Impact of Expansion Pattern of Built-Up Land in Floodplains on Flood Vulnerability: A Case Study in the North China Plain Area. Remote Sensing. 2020; 12(19):3172. https://doi.org/10.3390/rs12193172
Chicago/Turabian StyleWang, Guangpeng, Ziying Hu, Yong Liu, Guoming Zhang, Jifu Liu, Yanli Lyu, Yu Gu, Xichen Huang, Qingyan Zhang, Zongze Tong, and et al. 2020. "Impact of Expansion Pattern of Built-Up Land in Floodplains on Flood Vulnerability: A Case Study in the North China Plain Area" Remote Sensing 12, no. 19: 3172. https://doi.org/10.3390/rs12193172
APA StyleWang, G., Hu, Z., Liu, Y., Zhang, G., Liu, J., Lyu, Y., Gu, Y., Huang, X., Zhang, Q., Tong, Z., Hong, C., & Liu, L. (2020). Impact of Expansion Pattern of Built-Up Land in Floodplains on Flood Vulnerability: A Case Study in the North China Plain Area. Remote Sensing, 12(19), 3172. https://doi.org/10.3390/rs12193172

