New ICESat-2 Satellite LiDAR Data Allow First Global Lowland DTM Suitable for Accurate Coastal Flood Risk Assessment
Abstract
1. Introduction
2. Datasets and Methods
2.1. Generating a Global Grid and Land Mask at 0.05-Degree Resolution
2.2. ICESat-2 Data
2.3. Local DTMs
2.4. Global Digital Elevation Models (GDEMs)
2.5. Datum Conversion and Referencing to MSL
2.6. Generating GLL_DTM_v1
2.7. Accuracy Assessment by Comparison with Local DTMs
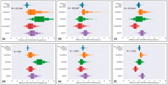
3. Results
3.1. GLL_DTM_v1 Accuracy Compared to GDEMs
3.2. Coastal Lowland Extent Comparison with GDEMs
4. Discussion
4.1. Impact of DTM Accuracy on Lowland Extent Estimation
4.2. Effect of Resolution on the Accuracy
4.3. Impact of DTM Accuracy on Flood Risk Assessments
5. Conclusions
Supplementary Materials
Author Contributions
Funding
Acknowledgments
Conflicts of Interest
Abbreviations
| AHN3 | DTM of the Netherlands Version 3 (Dutch: Actueel Hoogtebestand Nederland) |
| ATLAS | Advanced Topographic Laser Altimetry System |
| CoastalDEM | Coastal Digital Elevation Model |
| DEM | Digital Elevation Model |
| DTM | Digital Terrain Model |
| EGM96 | Earth Gravitation Model 96 |
| GDEM | Global DEM |
| GEDI | Global Ecological Dynamics Investigation |
| GLL_DTM_v1 | Global LiDAR Lowland DTM Version 1 |
| ICESat-2 | Ice, Cloud, and Land Elevation Satellite-2 |
| IPCC | Intergovernmental Panel on Climate Change |
| LECZ | Low Elevation Coastal Zone |
| LiDAR | Light Detection And Ranging |
| MDT | Mean Dynamic Topography |
| MERIT | Multi-Error-Removed Improved-Terrain DEM |
| MSL | Mean Sea Level |
| NOAA | National Oceanic and Atmospheric Administration |
| RMSE | Root Mean Square Error |
| SRTM | Shuttle Radar Topography Mission |
| TanDEM-X | TerraSAR-X add-on for Digital Elevation Measurement |
References
- Schumann, G.J.-P.; Bates, P.D. The Need for a High-Accuracy, Open-Access Global DEM. Front. Earth Sci. 2018, 6, 225. [Google Scholar] [CrossRef]
- IPCC. Special Report on the Ocean and Cryosphere in a Changing Climate. In Summary for Policymakers; IPCC: Geneva, Switzerland, 2019. [Google Scholar]
- Brown, S.; Nicholls, R.J.; Lázár, A.N.; Hornby, D.D.; Hill, C.; Hazra, S.; Appeaning Addo, K.; Haque, A.; Caesar, J.; Tompkins, E.L. What are the implications of sea-level rise for a 1.5, 2 and 3 °C rise in global mean temperatures in the Ganges-Brahmaputra-Meghna and other vulnerable deltas? Reg. Environ. Chang. 2018, 18, 1829–1842. [Google Scholar] [CrossRef]
- Gebremichael, E.; Sultan, M.; Becker, R.; El Bastawesy, M.; Cherif, O.; Emil, M. Assessing Land Deformation and Sea Encroachment in the Nile Delta: A Radar Interferometric and Inundation Modeling Approach. J. Geophys. Res. Solid Earth 2018, 123, 3208–3224. [Google Scholar] [CrossRef]
- Jevrejeva, S.; Jackson, L.P.; Grinsted, A.; Lincke, D.; Marzeion, B. Flood damage costs under the sea level rise with warming of 1.5 °C and 2 °C. Environ. Res. Lett. 2018, 13, 074014. [Google Scholar] [CrossRef]
- Runting, R.K.; Lovelock, C.E.; Beyer, H.L.; Rhodes, J.R. Costs and Opportunities for Preserving Coastal Wetlands under Sea Level Rise: Preserving coastal wetlands under sea level rise. Conserv. Lett. 2017, 10, 49–57. [Google Scholar] [CrossRef]
- Schuerch, M.; Spencer, T.; Temmerman, S.; Kirwan, M.L.; Wolff, C.; Lincke, D.; McOwen, C.J.; Pickering, M.D.; Reef, R.; Vafeidis, A.T.; et al. Future response of global coastal wetlands to sea-level rise. Nature 2018, 561, 231–234. [Google Scholar] [CrossRef]
- Farr, T.G.; Rosen, P.A.; Caro, E.; Crippen, R.; Duren, R.; Hensley, S.; Kobrick, M.; Paller, M.; Rodriguez, E.; Roth, L.; et al. The Shuttle Radar Topography Mission. Rev. Geophys. 2007, 45, RG2004. [Google Scholar] [CrossRef]
- Miliaresis, G.C.; Paraschou, C.V.E. Vertical accuracy of the SRTM DTED level 1 of Crete. Int. J. Appl. Earth Obs. Geoinf. 2005, 7, 49–59. [Google Scholar] [CrossRef]
- Gorokhovich, Y.; Voustianiouk, A. Accuracy assessment of the processed SRTM-based elevation data by CGIAR using field data from USA and Thailand and its relation to the terrain characteristics. Remote Sens. Environ. 2006, 104, 409–415. [Google Scholar] [CrossRef]
- Weydahl, D.J.; Sagstuen, J.; Dick, Ø.B.; Rønning, H. SRTM DEM accuracy assessment over vegetated areas in Norway. Int. J. Remote Sens. 2007, 28, 3513–3527. [Google Scholar] [CrossRef]
- Mouratidis, A.; Ampatzidis, D. European Digital Elevation Model Validation against Extensive Global Navigation Satellite Systems Data and Comparison with SRTM DEM and ASTER GDEM in Central Macedonia (Greece). ISPRS Int. J. Geo Inf. 2019, 8, 108. [Google Scholar] [CrossRef]
- Mouratidis, A.; Briole, P.; Katsambalos, K. SRTM 3″ DEM (versions 1, 2, 3, 4) validation by means of extensive kinematic GPS measurements: A case study from North Greece. Int. J. Remote Sens. 2010, 31, 6205–6222. [Google Scholar] [CrossRef]
- Mukul, M.; Srivastava, V.; Jade, S.; Mukul, M. Uncertainties in the Shuttle Radar Topography Mission (SRTM) Heights: Insights from the Indian Himalaya and Peninsula. Sci. Rep. 2017, 7, 41672. [Google Scholar] [CrossRef]
- Rizzoli, P.; Martone, M.; Gonzalez, C.; Wecklich, C.; Borla Tridon, D.; Bräutigam, B.; Bachmann, M.; Schulze, D.; Fritz, T.; Huber, M.; et al. Generation and performance assessment of the global TanDEM-X digital elevation model. ISPRS J. Photogramm. Remote Sens. 2017, 132, 119–139. [Google Scholar] [CrossRef]
- LaLonde, T.; Shortridge, A.; Messina, J. The Influence of Land Cover on Shuttle Radar Topography Mission (SRTM) Elevations in Low-relief Areas: Influence of Land Cover on SRTM Elevations. Trans. GIS 2010, 14, 461–479. [Google Scholar] [CrossRef]
- Hawker, L.; Neal, J.; Bates, P. Accuracy assessment of the TanDEM-X 90 Digital Elevation Model for selected floodplain sites. Remote Sens. Environ. 2019, 232, 111319. [Google Scholar] [CrossRef]
- Carabajal, C.C.; Harding, D.J. SRTM C-Band and ICESat Laser Altimetry Elevation Comparisons as a Function of Tree Cover and Relief. Photogramm. Eng. Remote Sens. 2006, 72, 287–298. [Google Scholar] [CrossRef]
- Minderhoud, P.S.J.; Coumou, L.; Erkens, G.; Middelkoop, H.; Stouthamer, E. Mekong delta much lower than previously assumed in sea-level rise impact assessments. Nat. Commun. 2019, 10, 3847. [Google Scholar] [CrossRef]
- Griffin, J.; Latief, H.; Kongko, W.; Harig, S.; Horspool, N.; Hanung, R.; Rojali, A.; Maher, N.; Fuchs, A.; Hossen, J.; et al. An evaluation of onshore digital elevation models for modeling tsunami inundation zones. Front. Earth Sci. 2015, 3. [Google Scholar] [CrossRef]
- Kulp, S.; Strauss, B.H. Global DEM Errors Underpredict Coastal Vulnerability to Sea Level Rise and Flooding. Front. Earth Sci. 2016, 4. [Google Scholar] [CrossRef]
- Van de Sande, B.; Lansen, J.; Hoyng, C. Sensitivity of Coastal Flood Risk Assessments to Digital Elevation Models. Water 2012, 4, 568–579. [Google Scholar] [CrossRef]
- Smith, A.; Sampson, C.; Neal, J.; Bates, P.D.; Trigg, M.; Freer, J.; Porter, R.; Kappes, M.; Simpson, A.; Jongman, B.; et al. Modeling and Mapping of Global Flood Hazard Layers. In Geophysical Monograph Series; Schumann, G.J.-P., Bates, P.D., Apel, H., Aronica, G.T., Eds.; John Wiley & Sons Inc.: Hoboken, NJ, USA, 2018; pp. 131–155. ISBN 978-1-119-21788-6. [Google Scholar]
- Hodgson, M.E.; Bresnahan, P. Accuracy of Airborne Lidar-Derived Elevation. Photogram. Eng. Remote Sens. 2004, 70, 331–339. [Google Scholar] [CrossRef]
- Vernimmen, R.; Hooijer, A.; Yuherdha, A.T.; Visser, M.; Pronk, M.; Eilander, D.; Akmalia, R.; Fitranatanegara, N.; Mulyadi, D.; Andreas, H.; et al. Creating a Lowland and Peatland Landscape Digital Terrain Model (DTM) from Interpolated Partial Coverage LiDAR Data for Central Kalimantan and East Sumatra, Indonesia. Remote Sens. 2019, 11, 1152. [Google Scholar] [CrossRef]
- Adams, J.; Chandler, J. Evaluation of Lidar and Medium Scale Photogrammetry for Detecting Soft-Cliff Coastal Change. Photogramm. Rec. 2002, 17, 405–418. [Google Scholar] [CrossRef]
- Neuenschwander, A.; Pitts, K. The ATL08 land and vegetation product for the ICESat-2 Mission. Remote Sens. Environ. 2019, 221, 247–259. [Google Scholar] [CrossRef]
- Markus, T.; Neumann, T.; Martino, A.; Abdalati, W.; Brunt, K.; Csatho, B.; Farrell, S.; Fricker, H.; Gardner, A.; Harding, D.; et al. The Ice, Cloud, and land Elevation Satellite-2 (ICESat-2): Science requirements, concept, and implementation. Remote Sens. Environ. 2017, 190, 260–273. [Google Scholar] [CrossRef]
- McGranahan, G.; Balk, D.; Anderson, B. The rising tide: Assessing the risks of climate change and human settlements in low elevation coastal zones. Environ. Urban 2007, 19, 17–37. [Google Scholar] [CrossRef]
- Gesch, D.B. Best Practices for Elevation-Based Assessments of Sea-Level Rise and Coastal Flooding Exposure. Front. Earth Sci. 2018, 6, 230. [Google Scholar] [CrossRef]
- Syvitski, J.P.M.; Kettner, A.J.; Overeem, I.; Hutton, E.W.H.; Hannon, M.T.; Brakenridge, G.R.; Day, J.; Vörösmarty, C.; Saito, Y.; Giosan, L.; et al. Sinking deltas due to human activities. Nat. Geosci. 2009, 2, 681–686. [Google Scholar] [CrossRef]
- LP DAAC NASA Shuttle Radar Topography Mission Water Body Data Shapefiles and Raster Files v003 2019. Available online: https://lpdaac.usgs.gov/products/srtmswbdv003/ (accessed on 27 July 2020). [CrossRef]
- Neuenschwander, A.; Popescu, S.; Nelson, R.; Harding, D.; Pitts, K.; Robbins, J. ATLAS/ICESat-2 L3A Land and Vegetation Height, Version 2. ATL08 Data ProductBoulder, Colorado USANSIDC: National Snow and Ice Data Center. 2019. Available online: https://doi.org/10.5067/ATLAS/ATL08.002 (accessed on 3 January 2020).
- NOAA. Available online: https://coast.noaa.gov/htdata/raster2/elevation/SLR_viewer_DEM_6230/FL/FL_MFL_dems/ (accessed on 23 March 2020).
- AHN. 2019. Available online: https://www.ahn.nl (accessed on 27 July 2020).
- PDOK AHN3 Downloads 2019. Available online: https://downloads.pdok.nl/ahn3-downloadpage/ (accessed on 27 July 2020).
- Minderhoud, P.; Coumou, L.; Erkens, G.; Middelkoop, H.; Stouthamer, E. Digital elevation model of the Vietnamese Mekong delta based on elevation points from a national topographical map, supplement to: Minderhoud, Philip; Coumou, Laura; Erkens, Gilles; Middelkoop, Hans; Stouthamer, Esther (2019): Mekong delta much lower than previously assumed in sea-level rise impact assessments. Nat. Commun. 2019, 10, 3847. [Google Scholar]
- Koks, E.E.; Rozenberg, J.; Zorn, C.; Tariverdi, M.; Vousdoukas, M.; Fraser, S.A.; Hall, J.W.; Hallegatte, S. A global multi-hazard risk analysis of road and railway infrastructure assets. Nat. Commun. 2019, 10, 2677. [Google Scholar] [CrossRef] [PubMed]
- Kulp, S.A.; Strauss, B.H. New elevation data triple estimates of global vulnerability to sea-level rise and coastal flooding. Nat. Commun. 2019, 10, 4844. [Google Scholar] [CrossRef]
- Zhang, K.; Gann, D.; Ross, M.; Robertson, Q.; Sarmiento, J.; Santana, S.; Rhome, J.; Fritz, C. Accuracy assessment of ASTER, SRTM, ALOS, and TDX DEMs for Hispaniola and implications for mapping vulnerability to coastal flooding. Remote Sens. Environ. 2019, 225, 290–306. [Google Scholar] [CrossRef]
- Jarvis, A.; Reuter, H.; Nelson, A.; Guevara, E. Hole-Filled SRTM for the Globe Version 4. 2008. Available online: http://srtm.csi.cgiar.org (accessed on 23 March 2020).
- Yamazaki, D.; Ikeshima, D.; Tawatari, R.; Yamaguchi, T.; O’Loughlin, F.; Neal, J.C.; Sampson, C.C.; Kanae, S.; Bates, P.D. A high-accuracy map of global terrain elevations: Accurate Global Terrain Elevation map. Geophys. Res. Lett. 2017, 44, 5844–5853. [Google Scholar] [CrossRef]
- Kulp, S.A.; Strauss, B.H. CoastalDEM: A global coastal digital elevation model improved from SRTM using a neural network. Remote Sens. Environ. 2018, 206, 231–239. [Google Scholar] [CrossRef]
- NOAA GEOID12B 2014. Available online: https://www.ngs.noaa.gov/GEOID/GEOID12B/ (accessed on 27 July 2020).
- Parker, B.; Milbert, D.; Hess, K.; Gill, S. National VDATUM—The Implementation Of A National Vertical Datum Transformation Database. In Proceedings of the US Hydrographic Conference, Biloxi, MS, USA, 24–27 March 2003. [Google Scholar]
- NSGI RDNAPTRANSTM2018. 2018. Available online: https://www.nsgi.nl/geodetische-infrastructuur/producten/coordinatentransformatie (accessed on 27 July 2020).
- Rio, M.-H.; Mulet, S.; Picot, N. Beyond GOCE for the ocean circulation estimate: Synergetic use of altimetry, gravimetry, and in situ data provides new insight into geostrophic and Ekman currents: Ocean circulation beyond GOCE. Geophys. Res. Lett. 2014, 41, 8918–8925. [Google Scholar] [CrossRef]
- Brodzik, M.J.; Billingsley, B.; Haran, T.; Raup, B.; Savoie, M.H. EASE-Grid 2.0: Incremental but Significant Improvements for Earth-Gridded Data Sets. ISPRS Int. J. Geo Inf. 2012, 1, 32–45. [Google Scholar] [CrossRef]
- Brodzik, M.; Billingsley, B.; Haran, T.; Raup, B.; Savoie, M. Correction: Brodzik, M.J., et al. EASE-Grid 2.0: Incremental but Significant Improvements for Earth-Gridded Data Sets. ISPRS Int. J. Geo-Inf. 2014, 3, 1154–1156. [Google Scholar] [CrossRef]
- Vassilaki, D.I.; Stamos, A.A. TanDEM-X DEM: Comparative performance review employing LIDAR data and DSMs. ISPRS J. Photogramm. Remote Sens. 2020, 160, 33–50. [Google Scholar] [CrossRef]
- Margono, B.A.; Potapov, P.V.; Turubanova, S.; Stolle, F.; Hansen, M.C. Primary forest cover loss in Indonesia over 2000–2012. Nat. Clim. Chang. 2014, 4, 730–735. [Google Scholar] [CrossRef]
- Arino, O.; Ramos Perez, J.J.; Kalogirou, V.; Bontemps, S.; Defourny, P.; Van Bogaert, E. Global Land Cover Map for 2009 (GlobCover 2009). European Space Agency (ESA) & Université Catholique de Louvain (UCL), PANGAEA. 2012. Available online: https://doi.pangaea.de/10.1594/PANGAEA.787668 (accessed on 27 July 2020).
- Neuenschwander, A.L.; Magruder, L.A. Canopy and Terrain Height Retrievals with ICESat-2: A First Look. Remote Sens. 2019, 11, 1721. [Google Scholar] [CrossRef]
- Hofmann, H.; Wickham, H.; Kafadar, K. Letter-Value Plots: Boxplots for Large Data. J. Comput. Graph. Stat. 2017, 26, 469–477. [Google Scholar] [CrossRef]
- Stysley, P.R.; Coyle, D.B.; Clarke, G.B.; Frese, E.; Blalock, G.; Morey, P.; Kay, R.B.; Poulios, D.; Hersh, M. Laser Production for NASA’s Global Ecosystem Dynamics Investigation (GEDI) Lidar; Turner, M.D., Kamerman, G.W., Eds.; International Society for Optics and Photonics: Baltimore, MD, USA, 2016; p. 983207. [Google Scholar]









| GLL_DTM_v1 | SRTM90 | MERIT | CoastalDEM | TanDEM-X | ||||||||||||
|---|---|---|---|---|---|---|---|---|---|---|---|---|---|---|---|---|
| <2 | <5 | <10 | <2 | <5 | <10 | <2 | <5 | <10 | <2 | <5 | <10 | <2 | <5 | <10 | ||
| Local DTM | Statistical Measure | m +MSL | m +MSL | m +MSL | m +MSL | m +MSL | ||||||||||
| Everglades NOAA sea-level rise DEM (15,500 km2) | Accurate within 0.5 m (%) | 89.8 | 89.7 | 88.8 | 0 | 0 | 0 | 1.3 | 5.4 | 6.8 | 13.7 | 19.4 | 21.9 | 40.1 | 28.5 | 29.0 |
| Accurate within 1 m (%) | 96.5 | 96.4 | 96.3 | 0.4 | 0.7 | 1.1 | 6.7 | 13.9 | 17.1 | 32.9 | 37.8 | 42.2 | 55.2 | 43.3 | 44.5 | |
| Mean error (m) | 0.11 | 0.09 | 0.11 | 4.65 | 4.85 | 4.65 | 2.13 | 2.17 | 2.02 | 1.44 | 1.33 | 1.18 | 1.06 | 1.34 | 1.24 | |
| Mean absolute error (m) | 0.25 | 0.25 | 0.26 | 4.65 | 4.85 | 4.65 | 2.14 | 2.22 | 2.09 | 1.45 | 1.41 | 1.32 | 1.21 | 1.46 | 1.40 | |
| RMSE (m) | 0.57 | 0.53 | 0.53 | 5.01 | 5.17 | 4.97 | 2.45 | 2.60 | 2.47 | 1.68 | 1.68 | 1.59 | 1.78 | 1.96 | 1.86 | |
| Netherlands AHN3 (19,815 km2) | Accurate within 0.5 m (%) | 84.5 | 82.3 | 80.7 | 23.4 | 25.1 | 26.6 | 22.3 | 20.0 | 18.6 | 24.7 | 25.0 | 21.9 | 61.0 | 55.9 | 50.9 |
| Accurate within 1 m (%) | 94.2 | 93.2 | 91.9 | 56.2 | 56.5 | 57.6 | 52.3 | 48.1 | 45.2 | 54.7 | 53.7 | 48.0 | 80.0 | 74.4 | 70.4 | |
| Mean error (m) | −0.04 | −0.07 | −0.06 | −0.74 | −0.67 | −0.52 | 0.78 | 0.74 | 0.78 | −0.62 | −0.69 | −0.80 | 0.29 | 0.35 | 0.44 | |
| Mean absolute error (m) | 0.30 | 0.33 | 0.36 | 1.01 | 1.00 | 1.04 | 1.07 | 1.17 | 1.27 | 1.01 | 1.04 | 1.19 | 0.68 | 0.79 | 0.93 | |
| RMSE (m) | 0.52 | 0.56 | 0.67 | 1.21 | 1.23 | 1.44 | 1.30 | 1.44 | 1.68 | 1.20 | 1.26 | 1.53 | 1.17 | 1.33 | 1.55 | |
| Mekong Delta TOPODEM (39,290 km2) | Accurate within 0.5 m (%) | 81.3 | 80.9 | 80.9 | 36.2 | 36.7 | 36.7 | 13.3 | 13.3 | 13.3 | 11.4 | 11.0 | 11.0 | 32.6 | 33.8 | 33.8 |
| Accurate within 1 m (%) | 98.2 | 97.9 | 97.9 | 69.4 | 69.8 | 69.8 | 33.7 | 33.3 | 33.3 | 29.1 | 28.0 | 28.0 | 71.1 | 71.7 | 71.7 | |
| Mean error (m) | 0.12 | 0.13 | 0.13 | 0.23 | 0.21 | 0.21 | 1.23 | 1.23 | 1.23 | −1.29 | −1.35 | −1.35 | 0.88 | 0.86 | 0.86 | |
| Mean absolute error (m) | 0.32 | 0.33 | 0.33 | 0.83 | 0.82 | 0.82 | 1.32 | 1.33 | 1.33 | 1.30 | 1.36 | 1.36 | 0.68 | 0.90 | 0.90 | |
| RMSE (m) | 0.40 | 0.44 | 0.44 | 1.07 | 1.06 | 1.06 | 1.48 | 1.49 | 1.49 | 1.43 | 1.51 | 1.51 | 1.21 | 1.35 | 1.35 | |
| Mean of 3 areas (74,604 km2) | Accurate within 0.5 m (%) | 85.2 | 84.3 | 83.4 | 19.9 | 20.6 | 21.1 | 12.3 | 12.9 | 12.9 | 16.6 | 18.5 | 18.3 | 44.6 | 39.4 | 37.9 |
| Accurate within 1 m (%) | 96.3 | 95.8 | 95.4 | 41.7 | 42.3 | 42.8 | 30.9 | 31.7 | 31.9 | 38.9 | 39.9 | 39.4 | 68.7 | 63.3 | 62.2 | |
| Mean error (m) | 0.06 | 0.05 | 0.06 | 1.38 | 1.46 | 1.44 | 1.38 | 1.38 | 1.34 | −0.15 | −0.23 | −0.32 | 0.74 | 0.85 | 0.85 | |
| Mean absolute error (m) | 0.29 | 0.30 | 0.32 | 2.16 | 2.22 | 2.17 | 1.51 | 1.57 | 1.56 | 1.26 | 1.27 | 1.29 | 0.93 | 1.05 | 1.07 | |
| RMSE (m) | 0.50 | 0.51 | 0.54 | 2.43 | 2.49 | 2.49 | 1.74 | 1.84 | 1.88 | 1.44 | 1.48 | 1.54 | 1.39 | 1.55 | 1.59 | |
| < 2 m +MSL | < 5 m +MSL | < 10 m +MSL | |||||||||||||
|---|---|---|---|---|---|---|---|---|---|---|---|---|---|---|---|
| GLL_DTM_v1 | SRTM90 | MERIT | CoastalDEM | TanDEM-X | GLL_DTM_v1 | SRTM90 | MERIT | CoastalDEM | TanDEM-X | GLL_DTM_v1 | SRTM90 | MERIT | CoastalDEM | TanDEM-X | |
| Areas (103 km2) | |||||||||||||||
| Africa and Middle East | 140 | 43 | 73 | 100 | 100 | 245 | 128 | 204 | 216 | 215 | 374 | 268 | 363 | 340 | 360 |
| Australia and Oceania | 34 | 8 | 20 | 40 | 36 | 91 | 43 | 83 | 91 | 86 | 151 | 102 | 157 | 150 | 151 |
| East and Central Asia | 51 | 48 | 23 | 80 | 41 | 154 | 124 | 121 | 186 | 147 | 238 | 208 | 221 | 248 | 241 |
| Europe and Russia | 60 | 61 | 51 | 78 | 75 | 102 | 97 | 103 | 129 | 121 | 164 | 150 | 172 | 189 | 189 |
| greater Southeast Asia | 325 | 83 | 150 | 277 | 159 | 660 | 268 | 525 | 555 | 416 | 993 | 565 | 899 | 811 | 744 |
| North America | 115 | 46 | 71 | 119 | 98 | 216 | 121 | 193 | 242 | 192 | 342 | 256 | 339 | 371 | 324 |
| South America | 208 | 28 | 61 | 148 | 82 | 384 | 139 | 300 | 291 | 221 | 514 | 286 | 502 | 437 | 365 |
| SRTM extent (60N–56S) | 934 | 317 | 449 | 842 | 591 | 1852 | 919 | 1529 | 1710 | 1399 | 2776 | 1835 | 2652 | 2545 | 2374 |
| Full global (excl. Antarctica) | 1046 | ― | 516 | ― | 877 | 2118 | ― | 1774 | ― | 1867 | 3231 | ― | 3120 | ― | 3044 |
| Areas (% *) | |||||||||||||||
| Africa and Middle East | 15 | 14 | 16 | 12 | 17 | 13 | 14 | 13 | 13 | 15 | 13 | 15 | 14 | 13 | 15 |
| Australia and Oceania | 4 | 3 | 4 | 5 | 6 | 5 | 5 | 5 | 5 | 6 | 5 | 6 | 6 | 6 | 6 |
| East and Central Asia | 5 | 15 | 5 | 9 | 7 | 8 | 13 | 8 | 11 | 10 | 9 | 11 | 8 | 10 | 10 |
| Europe and Russia | 6 | 19 | 11 | 9 | 13 | 6 | 11 | 7 | 8 | 9 | 6 | 8 | 6 | 7 | 8 |
| greater Southeast Asia | 35 | 26 | 33 | 33 | 27 | 36 | 29 | 34 | 32 | 30 | 36 | 31 | 34 | 32 | 31 |
| North America | 12 | 14 | 16 | 14 | 17 | 12 | 13 | 13 | 14 | 14 | 12 | 14 | 13 | 15 | 14 |
| South America | 22 | 9 | 14 | 18 | 14 | 21 | 15 | 20 | 17 | 16 | 19 | 16 | 19 | 17 | 15 |
| Local DTM | Statistical Measure | ICESat-2 | SRTM90 | MERIT | CoastalDEM | TanDEM-X |
|---|---|---|---|---|---|---|
| Everglades (NOAA sea-level rise DEM) | Median (m) | 0.05 | 4.50 | 1.81 | 1.28 | 1.45 |
| Standard deviation (m) | 1.10 | 3.03 | 1.91 | 1.89 | 3.86 | |
| Mean error (m) | 0.10 | 4.90 | 2.10 | 1.45 | 2.42 | |
| Mean absolute error (m) | 0.46 | 4.94 | 2.27 | 1.75 | 2.60 | |
| RMSE (m) | −1.11 | 5.76 | 2.84 | 2.39 | 4.56 | |
| Netherlands (AHN3) | Median (m) | −0.01 | −0.83 | 1.01 | −1.07 | 0.10 |
| Standard deviation (m) | 1.16 | 1.88 | 1.27 | 1.61 | 2.75 | |
| Mean error (m) | −0.10 | −0.53 | 1.01 | −0.94 | 0.85 | |
| Mean absolute error (m) | 0.49 | 1.43 | 1.29 | 1.49 | 1.16 | |
| RMSE (m) | 1.17 | 1.95 | 1.62 | 1.86 | 2.88 | |
| Mekong Delta (TOPODEM) | Median (m) | 0.13 | 0.16 | 1.32 | −1.34 | 0.56 |
| Standard deviation (m) | 0.92 | 2.27 | 1.20 | 1.28 | 2.09 | |
| Mean error (m) | 0.11 | 0.29 | 1.33 | −1.31 | 1.13 | |
| Mean absolute error (m) | 0.47 | 1.69 | 1.46 | 1.46 | 1.28 | |
| RMSE (m) | 0.92 | 2.29 | 1.79 | 1.84 | 2.37 |
© 2020 by the authors. Licensee MDPI, Basel, Switzerland. This article is an open access article distributed under the terms and conditions of the Creative Commons Attribution (CC BY) license (http://creativecommons.org/licenses/by/4.0/).
Share and Cite
Vernimmen, R.; Hooijer, A.; Pronk, M. New ICESat-2 Satellite LiDAR Data Allow First Global Lowland DTM Suitable for Accurate Coastal Flood Risk Assessment. Remote Sens. 2020, 12, 2827. https://doi.org/10.3390/rs12172827
Vernimmen R, Hooijer A, Pronk M. New ICESat-2 Satellite LiDAR Data Allow First Global Lowland DTM Suitable for Accurate Coastal Flood Risk Assessment. Remote Sensing. 2020; 12(17):2827. https://doi.org/10.3390/rs12172827
Chicago/Turabian StyleVernimmen, Ronald, Aljosja Hooijer, and Maarten Pronk. 2020. "New ICESat-2 Satellite LiDAR Data Allow First Global Lowland DTM Suitable for Accurate Coastal Flood Risk Assessment" Remote Sensing 12, no. 17: 2827. https://doi.org/10.3390/rs12172827
APA StyleVernimmen, R., Hooijer, A., & Pronk, M. (2020). New ICESat-2 Satellite LiDAR Data Allow First Global Lowland DTM Suitable for Accurate Coastal Flood Risk Assessment. Remote Sensing, 12(17), 2827. https://doi.org/10.3390/rs12172827

