Instantaneous Frequency Estimation Based on Modified Kalman Filter for Cone-Shaped Target
Abstract
1. Introduction
2. Procession Model of the Cone-Shaped Target and SET
2.1. Procession Model
2.2. Synchroextracting Transform
3. Instantaneous Frequency Estimation
| Algorithm 1. The MKF Algorithm. |
| Input: measurement , window length , threshold of trajectory survival rate , number of signal component . |
| for each time step do |
| update the trajectory survival rate where denotes the inlier |
| number of trajectories in a short time window. |
| if |
| generate new trajectories. |
| end if |
| for each trajectory do |
| . |
| compute inlier set . |
| if |
| . |
| else |
| . |
| end if |
| update using by Kalman filter. |
| update the trajectories . |
| end for |
| end for |
| Output: trajectories set |
- 1.
- One-step Kalman predictor is used to obtain the prediction of the state vector at time step for each trajectory. Then update the state vector using the Kalman filter. The updated state vector is estimated as follows:
- 2.
- For filtering out the spurious points which are generated by noise and avoiding the association mistakes at the intersection, this paper introduces the inlier set which is define as
- 3.
- Trajectory correction strategy is performed for each time step to correct the association mistakes caused by the intersections and noise. The RANSAC algorithm is utilized to generate trajectories when the trajectory survival rate is lower than the threshold . The basic idea of RANSAC is to form simple data association hypotheses from a batch of data and verify it to the data. As an iterative algorithm, RANSAC contains two sections: hypothesis generation and hypothesis evaluation [21]. In the hypothesis generation phase, RANSAC chooses a subset of data at random, and then estimates the parameters from the samples. Many assumptions are generated during the iteration. In the hypothesis evaluation phase, the most likely hypothesis is selected according to the maximum inlier candidates. A subset of data is considered as the inlier candidate, whose error is assumed to be within a predefined threshold. RANSAC is popular until now because it is easy to implement. The signal can be approximately regarded as the linear chirp signal in a short time, i.e., the trajectories in the short time window can be regarded as a simple straight line approximately. The windowing technique is used in the trajectory correction strategy to improve computational speed of the RANSAC algorithm. If the wrong association occurs because of the intersections and noise, subsequently, the false predicted state vector is obtained. In this case, the inlier point set obtained by the false state vector does not contain the points correspond to the true IF, and the trajectory survival rate will drop rapidly.
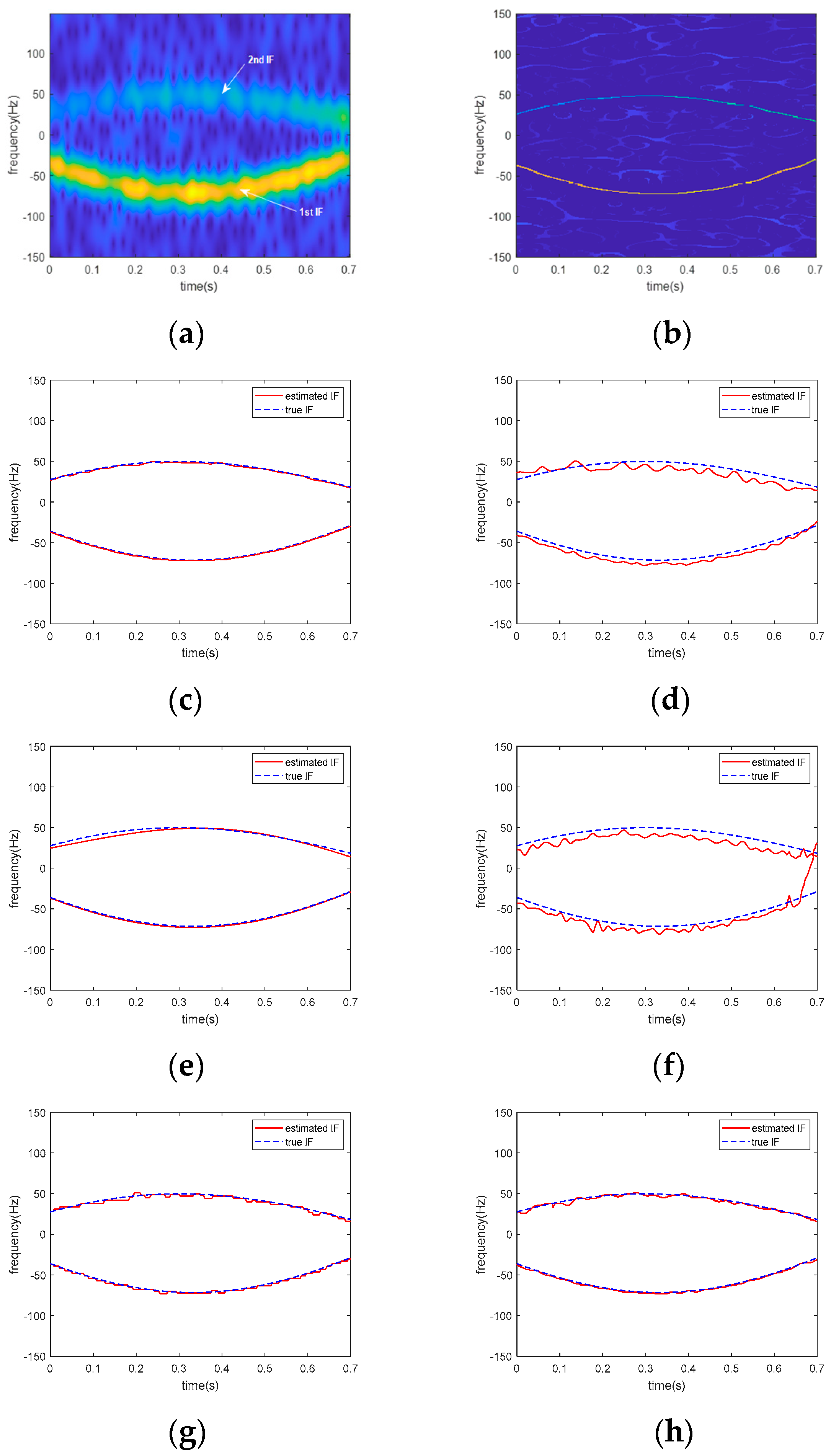
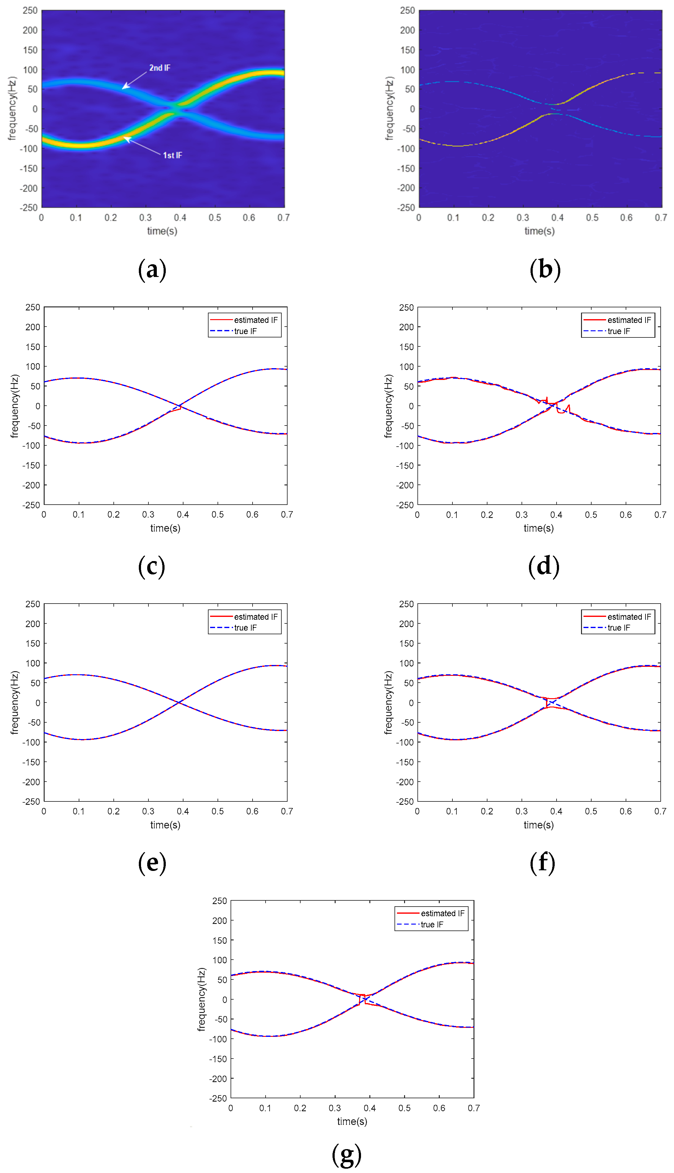
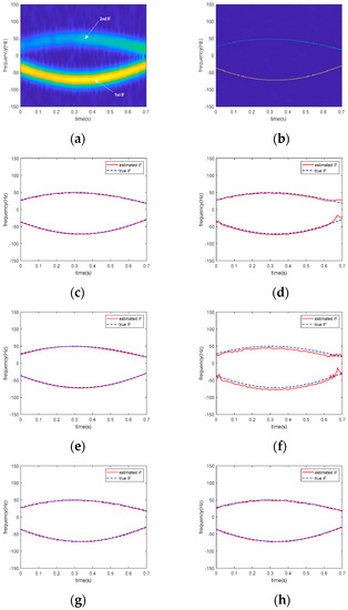
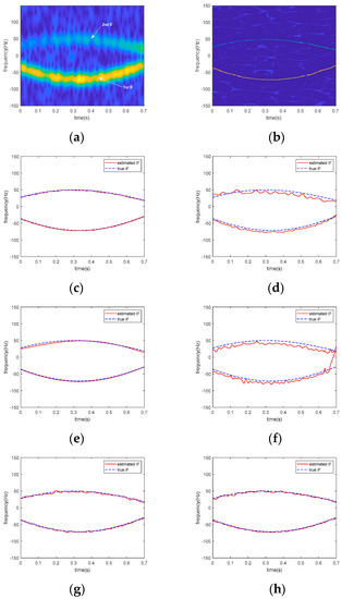
4. Performance Evaluation with Numerical Results
5. Conclusions
Author Contributions
Funding
Conflicts of Interest
References
- Chen, V.; Li, F.; Ho, S.S.; Wechsler, H. Micro-doppler effect in radar: Phenomenon, model, and simulation study. IEEE Trans. Aerosp. Electron. Syst. 2006, 42, 2–21. [Google Scholar] [CrossRef]
- Zeng, Z.; Amin, M.G.; Shan, T. Arm Motion Classification Using Time-Series Analysis of the Spectrogram Frequency Envelopes. Remote Sens. 2020, 12, 454. [Google Scholar] [CrossRef]
- Wang, W.; Tang, Z.; Chen, Y.-C.; Zhang, Y.; Sun, Y. Aircraft Target Classification for Conventional Narrow-Band Radar with Multi-Wave Gates Sparse Echo Data. Remote Sens. 2019, 11, 2700. [Google Scholar] [CrossRef]
- He, Y.; Li, X.; Jing, X. A Mutiscale Residual Attention Network for Multitask Learning of Human Activity Using Radar Micro-Doppler Signatures. Remote Sens. 2019, 11, 2584. [Google Scholar] [CrossRef]
- Abdullah, R.S.A.R.; Alnaeb, A.; Salah, A.A.; Sali, A.; Sali, A.; Pasya, I. Micro-Doppler Estimation and Analysis of Slow Moving Objects in Forward Scattering Radar System. Remote Sens. 2017, 9, 699. [Google Scholar] [CrossRef]
- Du, L.; Li, L.; Wang, B.; Xiao, J. Micro-Doppler Feature Extraction Based on Time-Frequency Spectrogram for Ground Moving Targets Classification With Low-Resolution Radar. IEEE Sens. J. 2016, 16, 3756–3763. [Google Scholar] [CrossRef]
- Singh, A.K.; Kim, Y.-H. Automatic Measurement of Blade Length and Rotation Rate of Drone Using W-Band Micro-Doppler Radar. IEEE Sens. J. 2017, 18, 1895–1902. [Google Scholar] [CrossRef]
- Lei, P.; Sun, J.; Wang, J.; Hong, W. Micromotion Parameter Estimation of Free Rigid Targets Based on Radar Micro-Doppler. IEEE Trans. Geosci. Remote Sens. 2012, 50, 3776–3786. [Google Scholar] [CrossRef]
- Djurović, I.; Stanković, L. An algorithm for the Wigner distribution based instantaneous frequency estimation in a high noise environment. Signal Process. 2004, 84, 631–643. [Google Scholar] [CrossRef]
- Forney, G. The viterbi algorithm. Proc. IEEE 1973, 61, 268–278. [Google Scholar] [CrossRef]
- Kwok, H.; Jones, D. Improved instantaneous frequency estimation using an adaptive short-time Fourier transform. IEEE Trans. Signal Process. 2000, 48, 2964–2972. [Google Scholar] [CrossRef]
- Stanković, L.; Djurovic, I.; Stanković, S.; Simeunovic, M.; Djukanović, S.; Daković, M. Instantaneous frequency in time–frequency analysis: Enhanced concepts and performance of estimation algorithms. Digit. Signal Process. 2014, 35, 1–13. [Google Scholar] [CrossRef]
- Daubechies, I.; Lu, J.; Wu, H.-T. Synchrosqueezed wavelet transforms: An empirical mode decomposition-like tool. Appl. Comput. Harmon. Anal. 2011, 30, 243–261. [Google Scholar] [CrossRef]
- Thakur, G.; Wu, H.-T. Synchrosqueezing-Based Recovery of Instantaneous Frequency from Nonuniform Samples. Siam J. Math. Anal. 2011, 43, 2078–2095. [Google Scholar] [CrossRef]
- Yu, G.; Yu, M.; Xu, C. Synchroextracting Transform. IEEE Trans. Ind. Electron. 2017, 64, 8042–8054. [Google Scholar] [CrossRef]
- Meignen, S.; Oberlin, T.; Depalle, P.; Flandrin, P.; McLaughlin, S. Adaptive multimode signal reconstruction from time–frequency representations. Philos. Trans. R. Soc. A Math. Phys. Eng. Sci. 2016, 374, 20150205. [Google Scholar] [CrossRef]
- Carmona, R.; Hwang, W.; Torrésani, B. Multiridge detection and time-frequency reconstruction. IEEE Trans. Signal Process. 1999, 47, 480–492. [Google Scholar] [CrossRef]
- Brajović, M.; Popović-Bugarin, V.; Djurović, I.; Djukanović, S. Post-processing of time-frequency representations in instantaneous frequency estimation based on ant colony optimization. Signal Process. 2017, 138, 195–210. [Google Scholar] [CrossRef]
- Changyu, S.; Lan, D.; Xun, H.; Hongwei, L. Multiple target tracking based separation of Micro-Doppler signals from coning target. In Proceedings of the 2014 IEEE Radar Conference, Cincinnati, OH, USA, 19–23 May 2014; pp. 130–133. [Google Scholar]
- Zhou, Y.; Chen, Z.; Zhang, L.; Xiao, J. Micro-Doppler Curves Extraction and Parameters Estimation for Cone-Shaped Target with Occlusion Effect. IEEE Sens. J. 2018, 18, 2892–2902. [Google Scholar] [CrossRef]
- Fischler, M.; Bolles, R. Random sample consensus: A paradigm for model fitting with applications to image analysis and automated cartography. Commun. ACM 1981, 24, 381–395. [Google Scholar] [CrossRef]
- Luo, Y.; Chen, Y.-A.; Sun, Y.; Zhang, Q. Narrowband Radar Imaging and Scaling for Space Targets. IEEE Geosci. Remote Sens. Lett. 2017, 14, 1–5. [Google Scholar] [CrossRef]












| Parameter | Value | Parameter | Value |
|---|---|---|---|
| Radar carrier frequency | center height | ||
| Pulse repletion frequency | Precession angle | ||
| Target height | Target bottom radius |
| Method | MKF | MTT | CSRDI- MGPTF | ACO | MD-STFT | MD-SET | ||
|---|---|---|---|---|---|---|---|---|
| RRMSE (×10−4) | 5 dB | 1st | 8.7561 | 39.450 | 8.6603 | 44.102 | 9.2366 | 8.9419 |
| 2nd | 14.922 | 77.059 | 32.826 | 99.001 | 18.858 | 17.218 | ||
| 10 dB | 1st | 8.4385 | 29.061 | 8.4151 | 41.743 | 8.8461 | 8.5507 | |
| 2nd | 13.486 | 45.515 | 16.540 | 86.649 | 14.760 | 14.139 | ||
| 15 dB | 1st | 8.3951 | 28.818 | 8.3115 | 41.652 | 8.7069 | 8.4868 | |
| 2nd | 12.890 | 42.530 | 13.093 | 76.140 | 13.619 | 12.901 | ||
| 20 dB | 1st | 8.3288 | 24.105 | 8.2771 | 39.214 | 8.4426 | 8.4245 | |
| 2nd | 12.860 | 34.257 | 12.878 | 74.629 | 12.884 | 12.870 | ||
| Mean RRMSE (×10−4) | 5 dB | 11.839 | 58.254 | 20.743 | 71.551 | 14.047 | 13.080 | |
| 10 dB | 10.962 | 37.288 | 12.477 | 64.196 | 11.803 | 11.345 | ||
| 15 dB | 10.642 | 35.674 | 10.702 | 58.896 | 11.162 | 10.693 | ||
| 20 dB | 10.594 | 29.181 | 10.578 | 56.921 | 10.663 | 10.647 | ||
| MAE | 5 dB | 1st | 1.0866 | 4.8195 | 1.0275 | 7.3464 | 1.1284 | 1.0924 |
| 2nd | 1.1220 | 6.6894 | 2.3035 | 8.5916 | 1.6371 | 1.4947 | ||
| 10 dB | 1st | 1.0498 | 3.1736 | 1.0157 | 6.1121 | 1.0830 | 1.0505 | |
| 2nd | 1.1196 | 3.9473 | 1.5978 | 7.2762 | 1.6044 | 1.3369 | ||
| 15 dB | 1st | 1.0025 | 3.1702 | 0.9869 | 6.0521 | 1.0613 | 1.0501 | |
| 2nd | 1.1193 | 2.6299 | 1.1435 | 5.5773 | 1.4803 | 1.3269 | ||
| 20 dB | 1st | 0.9938 | 2.7358 | 0.9702 | 5.9137 | 1.0242 | 0.9964 | |
| 2nd | 1.1134 | 2.4103 | 1.0968 | 5.5770 | 1.1697 | 1.1347 | ||
| Mean MAE | 5 dB | 1.1043 | 5.7544 | 1.6635 | 7.9690 | 1.3828 | 1.2936 | |
| 10 dB | 1.0847 | 3.5605 | 1.3068 | 6.6942 | 1.3435 | 1.1937 | ||
| 15 dB | 1.0609 | 2.9001 | 1.0652 | 5.8147 | 1.2708 | 1.1885 | ||
| 20 dB | 1.0536 | 2.5731 | 1.0335 | 5.7454 | 1.0970 | 1.0641 | ||
| 5 dB | 1st | 0.9871 | 0.7377 | 0.9874 | 0.6722 | 0.9856 | 0.9865 | |
| 2nd | 0.9651 | 0.0697 | 0.8312 | −0.5355 | 0.9443 | 0.9536 | ||
| 10 dB | 1st | 0.9880 | 0.8577 | 0.9881 | 0.7063 | 0.9868 | 0.9877 | |
| 2nd | 0.9715 | 0.6755 | 0.9571 | −0.1762 | 0.9659 | 0.9687 | ||
| 15 dB | 1st | 0.9881 | 0.8600 | 0.9884 | 0.7076 | 0.9872 | 0.9879 | |
| 2nd | 0.9740 | 0.7166 | 0.9731 | 0.0918 | 0.9709 | 0.9739 | ||
| 20 dB | 1st | 0.9883 | 0.9021 | 0.9885 | 0.7408 | 0.9880 | 0.9880 | |
| 2nd | 0.9741 | 0.8162 | 0.9740 | 0.1275 | 0.9740 | 0.9741 | ||
| Mean | 5 dB | 0.9761 | 0.4037 | 0.9093 | 0.0684 | 0.9650 | 0.9701 | |
| 10 dB | 0.9798 | 0.7666 | 0.9726 | 0.2651 | 0.9764 | 0.9782 | ||
| 15 dB | 0.9811 | 0.7883 | 0.9808 | 0.3997 | 0.9791 | 0.9809 | ||
| 20 dB | 0.9812 | 0.8592 | 0.9813 | 0.4342 | 0.9810 | 0.9811 | ||
| Method | MKF | MTT | CSRDI- MGPTF | MD-STFT | MD-SET | ||
|---|---|---|---|---|---|---|---|
| RRMSE (×10−4) | 5 dB | 1st | 10.870 | 259.63 | 280.72 | 262.86 | 24.192 |
| 2nd | 9.0626 | 433.09 | 517.35 | 9.4629 | 9.0738 | ||
| 10 dB | 1st | 8.9880 | 255.43 | 321.23 | 262.01 | 22.260 | |
| 2nd | 9.0490 | 425.01 | 448.46 | 9.0990 | 9.0599 | ||
| 15 dB | 1st | 8.6752 | 252.02 | 313.33 | 236.00 | 17.929 | |
| 2nd | 9.0410 | 420.05 | 468.54 | 9.0485 | 9.0507 | ||
| 20 dB | 1st | 8.2833 | 251.09 | 333.50 | 233.47 | 12.818 | |
| 2nd | 9.0338 | 418.61 | 418.23 | 9.0366 | 9.0366 | ||
| Mean RRMSE (×10−4) | 5 dB | 9.9663 | 346.36 | 399.04 | 136.16 | 16.633 | |
| 10 dB | 9.0185 | 340.22 | 384.85 | 135.55 | 15.660 | ||
| 15 dB | 8.8581 | 336.04 | 390.94 | 122.52 | 13.490 | ||
| 20 dB | 8.6585 | 334.85 | 375.86 | 121.25 | 10.927 | ||
| MAE | 5 dB | 1st | 1.8319 | 60.544 | 64.331 | 60.160 | 4.4248 |
| 2nd | 1.1534 | 69.018 | 51.118 | 1.1722 | 1.1559 | ||
| 10 dB | 1st | 1.4906 | 60.351 | 75.898 | 60.904 | 4.2954 | |
| 2nd | 1.1487 | 60.615 | 43.959 | 1.1687 | 1.1521 | ||
| 15 dB | 1st | 1.4774 | 59.545 | 78.797 | 55.762 | 3.2361 | |
| 2nd | 1.1236 | 59.909 | 49.650 | 1.1605 | 1.1508 | ||
| 20 dB | 1st | 1.4630 | 59.326 | 72.361 | 55.549 | 3.0424 | |
| 2nd | 1.1130 | 59.907 | 38.553 | 1.1585 | 1.1134 | ||
| Mean MAE | 5 dB | 1.4927 | 64.781 | 57.725 | 30.666 | 2.7904 | |
| 10 dB | 1.3197 | 60.483 | 59.929 | 30.631 | 2.7238 | ||
| 15 dB | 1.3005 | 59.727 | 64.224 | 28.461 | 2.1935 | ||
| 20 dB | 1.2880 | 59.617 | 55.457 | 28.354 | 2.0779 | ||
| 5 dB | 1st | 0.9992 | 0.5197 | 0.4385 | 0.5076 | 0.9958 | |
| 2nd | 0.9994 | −0.3386 | −0.9162 | 0.9994 | 0.9994 | ||
| 10 dB | 1st | 0.9994 | 0.5351 | 0.2647 | 0.5108 | 0.9965 | |
| 2nd | 0.9994 | −0.2891 | −0.4353 | 0.9994 | 0.9994 | ||
| 15 dB | 1st | 0.9995 | 0.5474 | 0.3005 | 0.6031 | 0.9977 | |
| 2nd | 0.9994 | −0.2592 | −0.5667 | 0.9994 | 0.9994 | ||
| 20 dB | 1st | 0.9995 | 0.5507 | 0.2074 | 0.6116 | 0.9988 | |
| 2nd | 0.9994 | −0.2506 | −0.2483 | 0.9994 | 0.9994 | ||
| Mean | 5 dB | 0.9993 | 0.0906 | −0.2389 | 0.7535 | 0.9976 | |
| 10 dB | 0.9994 | 0.1230 | −0.0853 | 0.7551 | 0.9980 | ||
| 15 dB | 0.9995 | 0.1441 | −0.1331 | 0.8013 | 0.9986 | ||
| 20 dB | 0.9995 | 0.1501 | −0.0205 | 0.8055 | 0.9991 | ||
| Method | MKF | MTT | CSRDI- MGPTF | MD-STFT | MD-SET | ||
|---|---|---|---|---|---|---|---|
| RRMSE (×10−4) | 5 dB | 1st | 7.6616 | 51.084 | 4.2201 | 10.028 | 7.6658 |
| 2nd | 9.0178 | 699.85 | 217.78 | 359.20 | 13.202 | ||
| 10 dB | 1st | 6.2131 | 10.467 | 3.9868 | 9.9708 | 6.2733 | |
| 2nd | 8.1456 | 189.40 | 179.95 | 18.671 | 11.420 | ||
| 15 dB | 1st | 6.0647 | 10.460 | 3.8160 | 8.9094 | 6.2253 | |
| 2nd | 7.9485 | 47.192 | 7.1505 | 18.091 | 10.927 | ||
| 20 dB | 1st | 6.0621 | 8.8946 | 3.8157 | 8.8951 | 6.0794 | |
| 2nd | 7.9413 | 45.011 | 7.1457 | 12.068 | 10.912 | ||
| Mean RRMSE (×10−4) | 5 dB | 8.3397 | 375.47 | 111.00 | 184.61 | 10.434 | |
| 10 dB | 7.1793 | 99.934 | 89.968 | 14.366 | 8.8470 | ||
| 15 dB | 7.0066 | 28.826 | 5.4832 | 13.500 | 8.5762 | ||
| 20 dB | 7.0017 | 26.953 | 5.4807 | 10.482 | 8.4957 | ||
| MAE | 5 dB | 1st | 1.0548 | 3.7475 | 0.6992 | 1.8990 | 1.1437 |
| 2nd | 1.0475 | 89.413 | 33.090 | 50.117 | 1.5365 | ||
| 10 dB | 1st | 0.9444 | 1.8816 | 0.6550 | 1.8882 | 1.0880 | |
| 2nd | 0.8429 | 26.426 | 25.107 | 2.6050 | 1.3602 | ||
| 15 dB | 1st | 0.7779 | 1.8808 | 0.5776 | 1.1179 | 0.9576 | |
| 2nd | 0.6790 | 2.5844 | 0.4577 | 2.5241 | 1.0789 | ||
| 20 dB | 1st | 0.7731 | 1.1195 | 0.5772 | 1.1179 | 0.7814 | |
| 2nd | 0.6710 | 2.2578 | 0.4524 | 1.1437 | 1.0617 | ||
| Mean MAE | 5 dB | 1.0512 | 46.580 | 16.896 | 26.008 | 1.3401 | |
| 10 dB | 0.8937 | 14.154 | 12.881 | 2.2466 | 1.2241 | ||
| 15 dB | 0.7285 | 2.2326 | 0.5177 | 1.8210 | 1.0183 | ||
| 20 dB | 0.7221 | 1.6887 | 0.5148 | 1.1308 | 0.9216 | ||
| 5 dB | 1st | 0.9996 | 0.9814 | 0.9998 | 0.9993 | 0.9996 | |
| 2nd | 0.9994 | −2.4969 | 0.6614 | 0.0788 | 0.9688 | ||
| 10 dB | 1st | 0.9997 | 0.9992 | 0.9998 | 0.9993 | 0.9997 | |
| 2nd | 0.9995 | 0.7439 | 0.7688 | 0.9975 | 0.9991 | ||
| 15 dB | 1st | 0.9997 | 0.9992 | 0.9998 | 0.9994 | 0.9997 | |
| 2nd | 0.9995 | 0.9841 | 0.9995 | 0.9977 | 0.9991 | ||
| 20 dB | 1st | 0.9997 | 0.9994 | 0.9998 | 0.9994 | 0.9997 | |
| 2nd | 0.9995 | 0.9885 | 0.9996 | 0.9990 | 0.9992 | ||
| Mean | 5 dB | 0.9995 | −0.7578 | 0.8306 | 0.5391 | 0.9842 | |
| 10 dB | 0.9996 | 0.8716 | 0.8843 | 0.9984 | 0.9994 | ||
| 15 dB | 0.9996 | 0.9917 | 0.9997 | 0.9986 | 0.9994 | ||
| 20 dB | 0.9996 | 0.9940 | 0.9997 | 0.9992 | 0.9995 | ||
| Method | MKF | MTT | CSRDI- MGPTF | MD-STFT | MD-SET | ||
|---|---|---|---|---|---|---|---|
| RRMSE (×10−4) | 5 dB | 1st | 10.683 | 13.817 | 3.8870 | 11.409 | 10.982 |
| 2nd | 32.993 | 653.12 | 296.50 | 378.49 | 288.59 | ||
| 3rd | 102.68 | 505.15 | 574.11 | 515.47 | 504.04 | ||
| 10 dB | 1st | 10.677 | 13.568 | 3.7387 | 10.904 | 10.887 | |
| 2nd | 19.985 | 644.98 | 299.67 | 371.65 | 25.870 | ||
| 3rd | 50.283 | 482.72 | 563.52 | 525.41 | 76.212 | ||
| 15 dB | 1st | 10.423 | 13.436 | 3.6201 | 10.832 | 10.663 | |
| 2nd | 10.861 | 26.514 | 367.45 | 367.59 | 20.102 | ||
| 3rd | 8.1118 | 16.169 | 585.27 | 426.64 | 16.100 | ||
| 20 dB | 1st | 10.394 | 13.069 | 3.4951 | 10.611 | 10.656 | |
| 2nd | 9.8399 | 21.054 | 129.24 | 654.14 | 18.491 | ||
| 3rd | 5.3313 | 8.9482 | 614.39 | 406.13 | 14.085 | ||
| Mean RRMSE (×10−4) | 5 dB | 48.785 | 390.70 | 291.50 | 301.79 | 267.87 | |
| 10 dB | 26.982 | 380.42 | 288.98 | 302.65 | 37.656 | ||
| 15 dB | 9.7986 | 18.706 | 318.78 | 268.35 | 15.622 | ||
| 20 dB | 8.5217 | 14.357 | 249.04 | 356.96 | 14.651 | ||
| MAE | 5 dB | 1st | 0.7446 | 1.0510 | 0.5179 | 0.8501 | 0.7541 |
| 2nd | 3.7771 | 79.599 | 36.814 | 35.131 | 37.033 | ||
| 3rd | 19.018 | 115.84 | 134.84 | 122.47 | 101.12 | ||
| 10 dB | 1st | 0.7440 | 1.0267 | 0.4956 | 0.7662 | 0.7522 | |
| 2nd | 2.3255 | 72.228 | 35.820 | 31.787 | 2.5958 | ||
| 3rd | 13.264 | 97.334 | 140.65 | 128.60 | 20.104 | ||
| 15 dB | 1st | 0.7192 | 0.9776 | 0.4940 | 0.7592 | 0.7506 | |
| 2nd | 1.5056 | 2.9666 | 51.089 | 31.089 | 2.5420 | ||
| 3rd | 2.1398 | 3.1612 | 144.39 | 94.386 | 2.7469 | ||
| 20 dB | 1st | 0.7181 | 0.9497 | 0.4845 | 0.7505 | 0.7502 | |
| 2nd | 1.0299 | 2.4010 | 15.143 | 86.170 | 2.5009 | ||
| 3rd | 1.0425 | 1.5168 | 137.27 | 86.608 | 2.4104 | ||
| Mean MAE | 5 dB | 7.8466 | 65.497 | 57.391 | 52.817 | 46.302 | |
| 10 dB | 5.4445 | 56.863 | 58.989 | 53.718 | 7.8173 | ||
| 15 dB | 1.4549 | 2.3685 | 65.324 | 42.078 | 2.0132 | ||
| 20 dB | 0.9302 | 1.6225 | 50.966 | 57.843 | 1.8872 | ||
| 5 dB | 1st | 0.9992 | 0.9986 | 0.9999 | 0.9991 | 0.9991 | |
| 2nd | 0.9923 | −2.0197 | 0.3777 | −0.0141 | 0.4104 | ||
| 3rd | 0.9253 | −0.8086 | −1.3361 | −0.8833 | −0.8007 | ||
| 10 dB | 1st | 0.9992 | 0.9987 | 0.9999 | 0.9992 | 0.9992 | |
| 2nd | 0.9972 | −1.9449 | 0.3643 | 0.0222 | 0.9953 | ||
| 3rd | 0.9821 | −0.6516 | −1.2508 | −0.9566 | 0.9588 | ||
| 15 dB | 1st | 0.9992 | 0.9987 | 0.9999 | 0.9992 | 0.9992 | |
| 2nd | 0.9992 | 0.9950 | 0.0442 | 0.0435 | 0.9971 | ||
| 3rd | 0.9995 | 0.9981 | −1.4278 | −0.2901 | 0.9982 | ||
| 20 dB | 1st | 0.9992 | 0.9988 | 0.9999 | 0.9992 | 0.9992 | |
| 2nd | 0.9993 | 0.9969 | 0.8818 | −2.0291 | 0.9976 | ||
| 3rd | 0.9998 | 0.9994 | −1.6755 | −0.1691 | 0.9986 | ||
| Mean | 5 dB | 0.9723 | −0.6173 | 0.0138 | 0.0339 | 0.2029 | |
| 10 dB | 0.9928 | −0.5326 | 0.0378 | 0.0216 | 0.9844 | ||
| 15 dB | 0.9993 | 0.9973 | −0.1279 | 0.2509 | 0.9958 | ||
| 20 dB | 0.9994 | 0.9984 | 0.0687 | −0.3997 | 0.9985 | ||
© 2020 by the authors. Licensee MDPI, Basel, Switzerland. This article is an open access article distributed under the terms and conditions of the Creative Commons Attribution (CC BY) license (http://creativecommons.org/licenses/by/4.0/).
Share and Cite
Ren, K.; Du, L.; Lu, X.; Zhuo, Z.; Li, L. Instantaneous Frequency Estimation Based on Modified Kalman Filter for Cone-Shaped Target. Remote Sens. 2020, 12, 2766. https://doi.org/10.3390/rs12172766
Ren K, Du L, Lu X, Zhuo Z, Li L. Instantaneous Frequency Estimation Based on Modified Kalman Filter for Cone-Shaped Target. Remote Sensing. 2020; 12(17):2766. https://doi.org/10.3390/rs12172766
Chicago/Turabian StyleRen, Ke, Lan Du, Xiaofei Lu, Zhenyu Zhuo, and Lu Li. 2020. "Instantaneous Frequency Estimation Based on Modified Kalman Filter for Cone-Shaped Target" Remote Sensing 12, no. 17: 2766. https://doi.org/10.3390/rs12172766
APA StyleRen, K., Du, L., Lu, X., Zhuo, Z., & Li, L. (2020). Instantaneous Frequency Estimation Based on Modified Kalman Filter for Cone-Shaped Target. Remote Sensing, 12(17), 2766. https://doi.org/10.3390/rs12172766
