The First Pi2 Pulsation Observed by China Seismo-Electromagnetic Satellite
Abstract
:1. Introduction
2. Data Sets
2.1. CSES Satellite
2.2. VAP Mission
2.3. KAK Geomagnetic Observatory
2.4. Supermag Auroral Electrojet Index (SML)
3. Observations
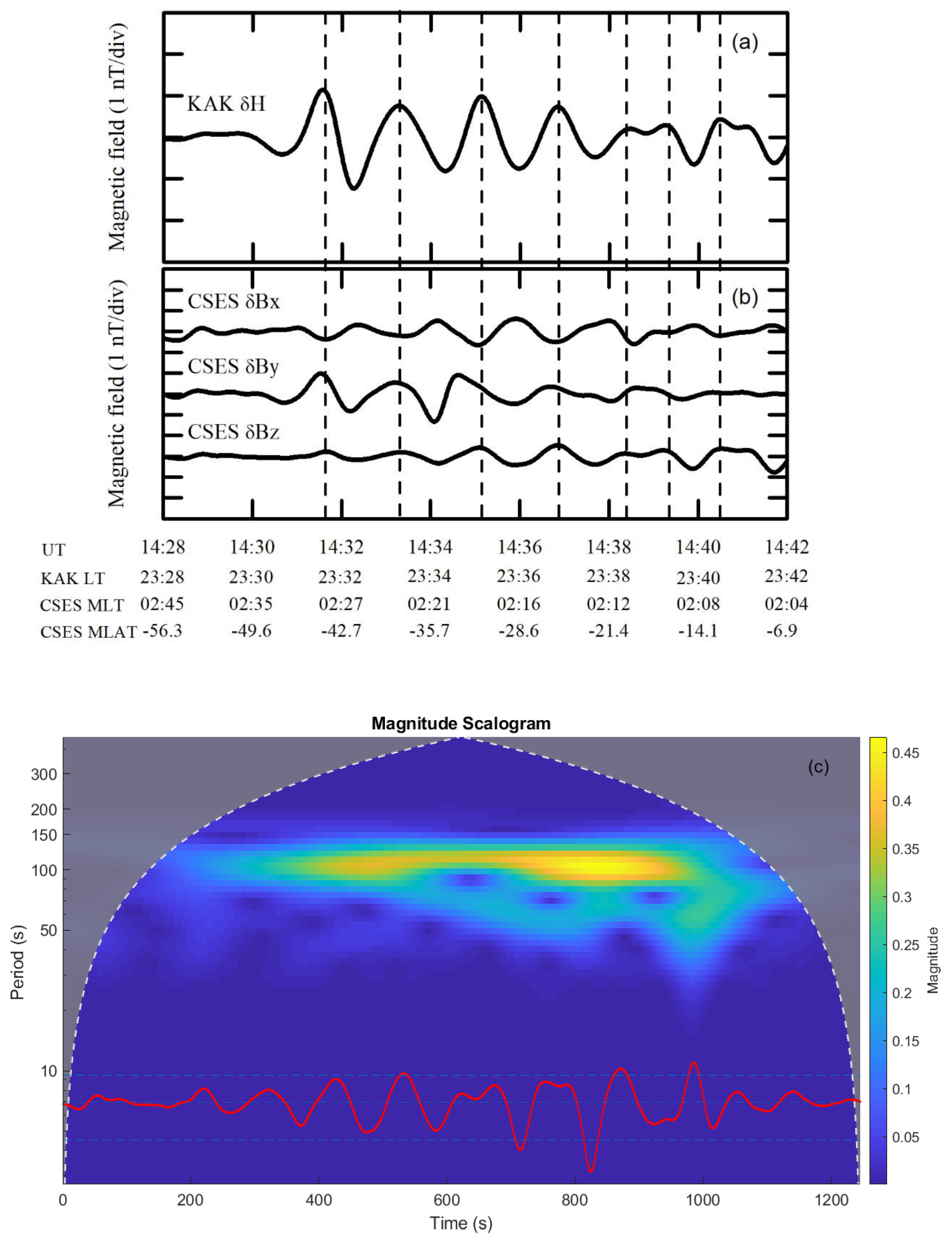
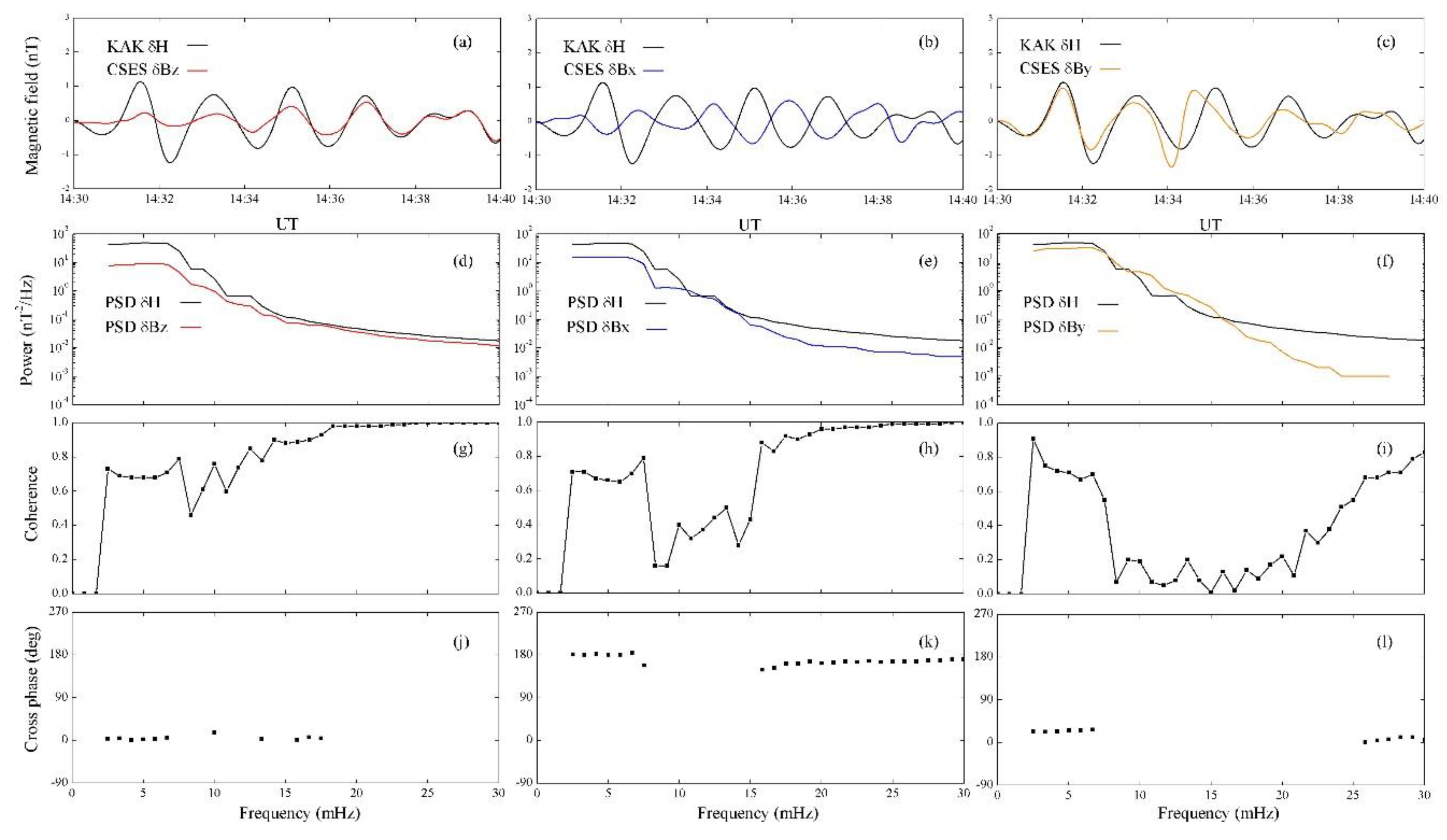
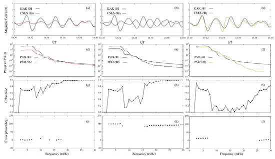
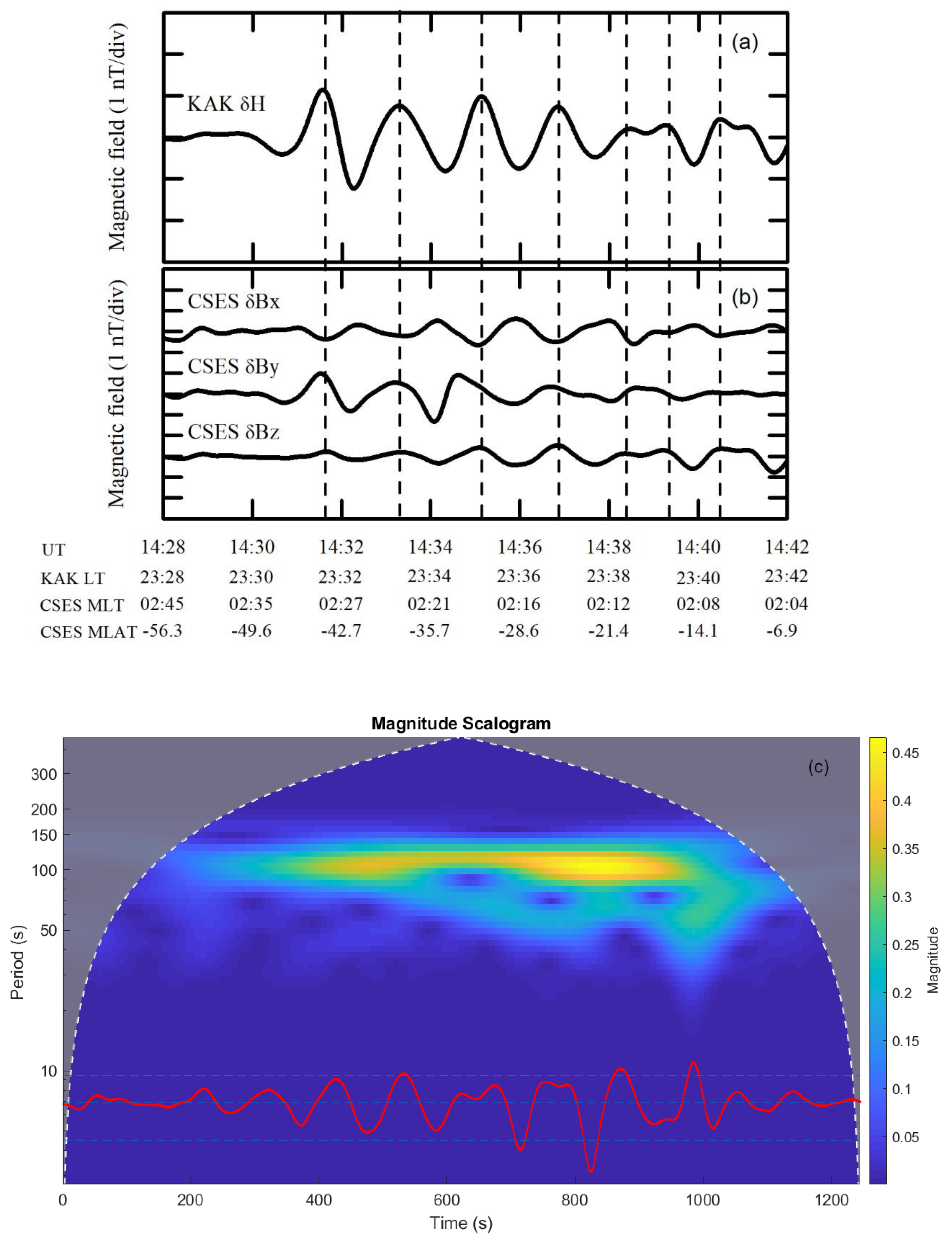
3.1. Pi2 Event at KAK and CSES
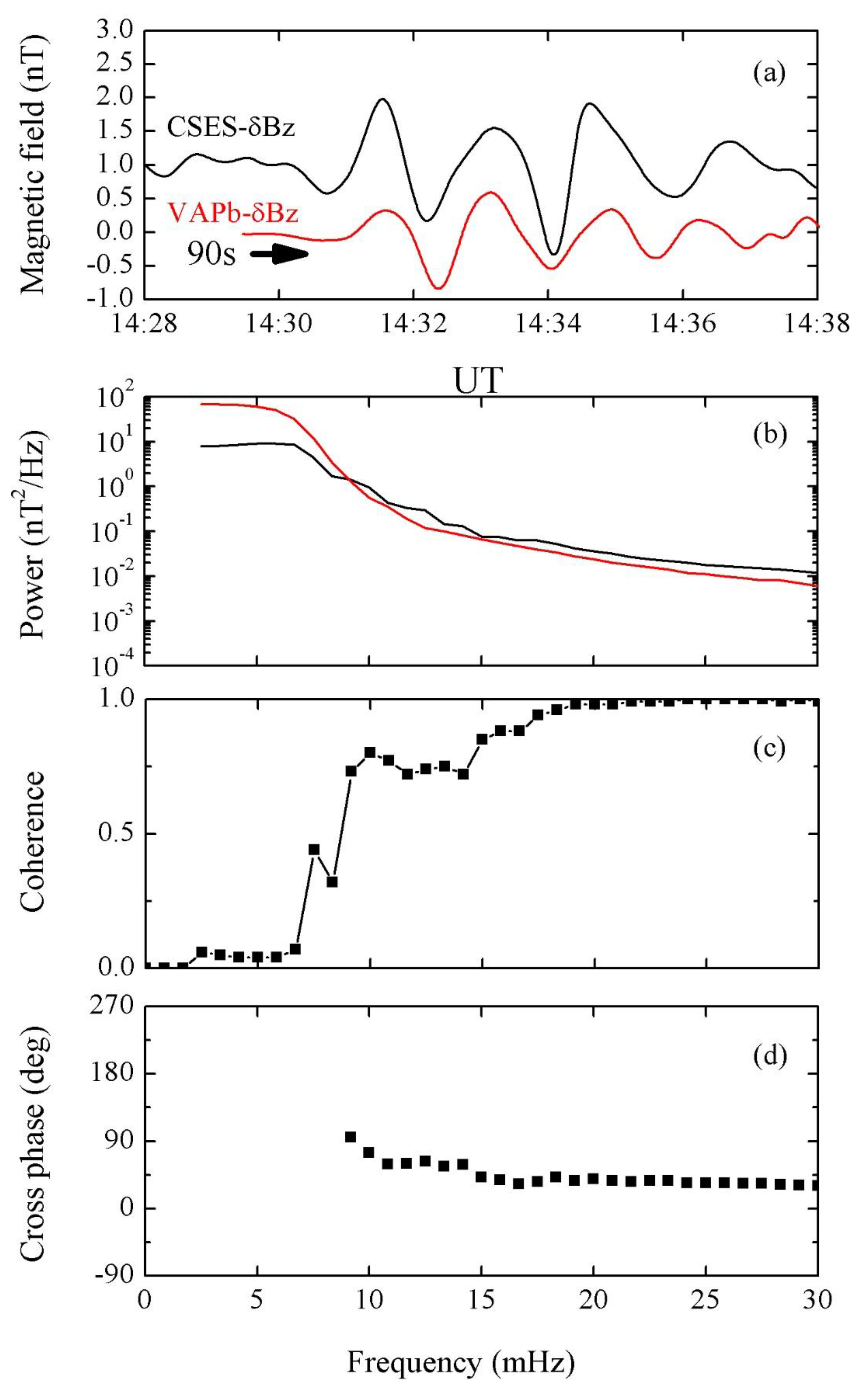
3.2. VAP Observations
4. Discussion
5. Conclusions
- (1)
- Pi2 observation and analysis confirm the consistency and reliability of the high precision magnetometer (HPM) equipped by two fluxgate magnetometers (FGM1 and FGM2) onboard CSES.
- (2)
- The observed waveform in the compressional component at CSES is similar to that of the horizontal component at KAK, indicating the magnetospheric source of the Pi2 event.
- (3)
- The Pi2 wave is seen in the azimuthal component at CSES with a high correlation with the ground horizontal component, which could be explained by the substorm current wedge (SCW).
- (4)
- This interpretation is further confirmed by checking the compressional component of the Van Allen Probe B satellite inside the plasmasphere, which, for the first time, gives observational support for an earlier model of the three-dimension oscillations of the SCW associated with the Pi2 event as studied by [29].
Author Contributions
Funding
Acknowledgments
Conflicts of Interest
References
- Keiling, A.; Takahashi, K. Review of Pi2 models. Space Sci. Rev. 2011, 161, 63–148. [Google Scholar] [CrossRef]
- Sutcliffe, P.R.; Yumoto, K. On the cavity mode nature of low latitude Pi2 pulsations. J. Geophys. Res. 1991, 96, 1543–1551. [Google Scholar] [CrossRef]
- Ghamry, E. Morningside Pi2 pulsation observed in space and on the ground. J. Astron. Space Sci. 2015, 32, 305–310. [Google Scholar] [CrossRef]
- Shinohara, M.; Yumoto, K.; Yoshikawa, A.; Saka, O.; Solovyev, S.I.; Vershinin, E.F.; Trivedi, N.B.; Da Costa, J.M.; The 210° MM Magnetic Observation Group. Wave characteristics of daytime and nighttime Pi2 pulsations at the equatorial and low latitudes. Geophys. Res. Lett. 1997, 24, 2279–2282. [Google Scholar] [CrossRef] [Green Version]
- Olson, J.V. Pi2 pulsations and substorm onsets: A review. J. Geophys. Res. 1999, 104, 17499–17520. [Google Scholar] [CrossRef]
- Allan, W.; Menk, F.; Fraser, B.; Li, Y.; White, S. Are low-latitude Pi2 pulsations cavity/waveguide modes? J. Geophys. Res. 1996, 23, 765–768. [Google Scholar] [CrossRef]
- Takahashi, K.; Lee, D.H.; Nosé, M.; Anderson, R.R.; Hughes, W.J. CRRES electric field study of the radial mode structure of Pi2 pulsations. J. Geophys. Res. 2003, 108, 1210. [Google Scholar] [CrossRef]
- Ghamry, E.; Kim, K.H.; Kwon, H.J.; Lee, D.H.; Park, J.S.; Choi, J.; Hyun, K.; Kurth, W.; Kletzing, C.; Wygant, J. Simultaneous Pi2 observations by the Van Allen probes inside and outside the plasmasphere. J. Geophys. Res. 2015, 120, 4567–4575. [Google Scholar] [CrossRef] [Green Version]
- Ghamry, E. Pi2 pulsations during extremely quiet geomagnetic condition: Van Allen Probe observations. J. Astron. Space Sci. 2017, 34, 111–118. [Google Scholar] [CrossRef]
- Baumjohann, W.; Glaßmeier, K. The transient response mechanism and Pi2 pulsations at substorm onset—Review and outlook. Planet. Space Sci. 1984, 32, 1361–1370. [Google Scholar] [CrossRef]
- Uozumi, T.; Abe, S.; Kitamura, K.; Tokunaga, T.; Yoshikawa, A.; Kawano, H.; Marshall, R.; Morris, R.J.; Shevtsov, B.M.; Solovyev, S.I.; et al. Propagation characteristics of Pi2 pulsations observed at high- and low-latitude MAGDAS/ CPMN stations: A statistical study. J. Geophys. Res. 2009, 114, A11207. [Google Scholar] [CrossRef] [Green Version]
- Uozumi, T.; Yumoto, K.; Tokunaga, T.; Solovyev, S.I.; Shevtsov, B.M.; Marshall, R.; Liou, K.; Ohtani, S.; Abe, S.; Ikeda, A.; et al. AKR modulation and Global Pi 2 oscillation. J. Geophys. Res. 2011, 116, A06214. [Google Scholar] [CrossRef] [Green Version]
- Uozumi, T.; Yoshikawa, A.; Ohtani, S.; Imajo, S.; Baishev, D.G.; Moiseev, A.V.; Yumoto, K. Initial deflection of middle-latitude Pi2 pulsations in the premidnight sector: Remote detection of oscillatory upward field-aligned current at substorm onset. J. Geophys. Res. Space Phys. 2016, 121, 6324–6340. [Google Scholar] [CrossRef]
- Ghamry, E.; Fathy, A. A new method to calculate the time delay of the Pi2 pulsations. Adv. Space Res. 2016, 57, 701–709. [Google Scholar] [CrossRef]
- Fathy, A.; Ghamry, E.; Mahrous, S. Propagation of irregular magnetic pulsation using cross wavelet and maximum time energy methods. NRIAG J. Astron. Geophys. 2017, 6, 141–147. [Google Scholar] [CrossRef]
- Imajo, S.; Yoshikawa, A.; Uozumi, T.; Ohtani, S.; Nakamizo, A.; Chi, P. Application of a global magnetospheric-ionospheric current model for dayside and terminator Pi2 pulsations. J. Geophys. Res. Space Phys. 2017, 122, 8589–8603. [Google Scholar] [CrossRef]
- Pilipenko, V.; Fedorov, E.; Heilig, B.; Engebretson, M.J.; Sutcliffe, P.; Lühr, H. ULF waves in the topside ionosphere: Satellite observations and modeling, in the dynamic magnetosphere. In IAGA Special Sopron Book Series; Springer: Dodderek, The Netherlands, 2011; pp. 257–269. [Google Scholar]
- Balasis, G.; Papadimitriou, C.; Daglis, I.A.; Pilipenko, V. ULF wave power features in the topside ionosphere revealed by Swarm observations. Geophys. Res. Lett. 2015, 42, 6922–6930. [Google Scholar] [CrossRef]
- Heilig, B.; Sutcliffe, P.R. Coherence and phase structure of compressional ULF waves at low-Earth orbit observed by the Swarm satellites. Geophys. Res. Lett. 2016, 43, 945–951. [Google Scholar] [CrossRef]
- Takahashi, K.; Hughes, W.; Anderson, R.; Solovyev, S. CRRES satellite observations associated with low-latitude Pi2 pulsations. J. Geophys. Res. 1999, 104, 17431–17440. [Google Scholar] [CrossRef] [Green Version]
- Sutcliffe, P.R.; Lühr, H. A comparison of Pi2 pulsations observed by CHAMP in low Earth orbit and on the ground at low latitudes. Geophys. Res. Lett. 2003, 30, 2105. [Google Scholar] [CrossRef]
- Han, D.S.; Iyemori, T.; Nose, M.; McCreadie, H.; Gao, Y.; Yang, F.; Yamashita, S.; Stauning, P. A comparative analysis of low-latitude Pi2 pulsations observed by Ørsted and ground stations. J. Geophys. Res. 2004, 109, A10209. [Google Scholar] [CrossRef]
- Yang, Y.Y.; Zhima, Z.R.; Shen, X.H.; Chu, W.; Huang, J.P.; Wang, Q.; Yan, R.; Xu, S.; Lu, H.X.; Liu, D.P. The first intense geomagnetic storm event recorded by the China Seismo-Electromagnetic Satellite. Space Weather 2020, 18, e2019SW002243. [Google Scholar] [CrossRef] [Green Version]
- Zhou, B.; Cheng, B.; Gou, X.; Li, L.; Zhang, Y.; Wang, J.; Magnes, W.; Lammegger, R.; Pollinger, A.; Ellmeier, M.; et al. First in-orbit results of the vector magnetic field measurement of the High Precision Magnetometer onboard the China Seismo-Electromagnetic Satellite. Earth Planets Space 2019, 71, 119. [Google Scholar] [CrossRef]
- Piersanti, M.; De Michelis, P.; Del Moro, D.; Tozzi, R.; Pezzopane, M.; Consolini, G.; Marcucci, M.F.; Laurenza, M.; Di Matteo, S.; Pignalberi, A.; et al. From the Sun to the Earth: August 25, 2018 geomagnetic storm effects. Ann. Geophys. 2020, 38, 703–724. [Google Scholar] [CrossRef]
- Marchetti, D.; De Santis, A.; Shen, X.; Campuzano, S.A.; Perrone, L.; Piscini, A.; Di Giovambattista, R.; Jin, S.; Ippolito, A.; Cianchini, G.; et al. Possible Lithosphere-Atmosphere-Ionosphere Coupling effects prior to the 2018 Mw = 7.5 Indonesia earthquake from seismic, atmospheric and ionospheric data. J. Asian Earth Sci. 2020, 188, 104097. [Google Scholar]
- Yan, R.; Shen, X.; Huang, J.; Wang, Q.; Chu, W.; Liu, D.; Yang, Y.; Lu, H.; Xu, S. Examples of unusual ionospheric observations by the CSES prior to earthquakes. Earth Planet. Phys. 2018, 2, 515–526. [Google Scholar] [CrossRef]
- Shen, X.; Zong, Q.G.; Zhang, X.M. Introduction to special section on the China Seismo-Electromagnetic Satellite and initial results. Earth Planet. Phys. 2018, 2, 439–443. [Google Scholar] [CrossRef]
- Uozumi, T.; Yoshikawa, A.; Ohtani, S. Formation of a 3-D Oscillatory Current System Associated with Global High-Correlation Pi2 Event: A Case Study. J. Geophys. Res. Space Phys. 2020, 125, e2019JA02698. [Google Scholar] [CrossRef] [Green Version]
- Finlay, C.; Olsen, N.; Kotsiaros, S.; Gillet, N.; Tøffner-Clausen, L. Recent geomagnetic secular variation from Swarm and ground observatories as estimated in the CHAOS-6 geomagnetic field model. Earth Planets Space 2016, 68, 112. [Google Scholar] [CrossRef] [Green Version]
- Mauk, H.B.; Fox, N.J.; Kanekal, S.G.; Kessel, R.L.; Sibeck, D.G.; Ukhorskiy, A. Science objectives and rationale for the Radiation Belt Storm Probes mission. Space Sci. Rev. 2012, 179, 3–27. [Google Scholar] [CrossRef] [Green Version]
- Kletzing, C.A.; Kurth, W.S.; Acuna, M.; MacDowall, R.J.; Torbert, R.B.; Averkamp, T.; Bodet, D.; Bounds, S.R.; Chutter, M.; Connerney, J.; et al. The Electric and Magnetic Field Instrument Suite and Integrated Science (EMFISIS) on RBSP. Space Sci. Rev. 2013, 179, 127–181. [Google Scholar] [CrossRef] [Green Version]
- Newell, P.T.; Gjerloev, J.W. Evaluation of SuperMAG auroral electrojet indices as indicators of substorms and auroral power. J. Geophys. Res. 2011, 116, A12211. [Google Scholar] [CrossRef]
- Newell, P.T.; Gjerloev, J.W. Substorm and magnetosphere characteristic scales inferred from the SuperMAG auroral electrojet indices. J. Geophys. Res. 2011, 116, A12232. [Google Scholar] [CrossRef] [Green Version]
- Kamide, Y. The relationship between field-aligned currents and the auroral electrojets: A review. Space Sci. Rev. 1982, 31, 127–243. [Google Scholar] [CrossRef]
- Fujii, R.; Offman, R.A.; Anderson, P.C.; Craven, J.D.; Sugiura, M.; Frank, L.A.; Maynard, N.C. Electrodynamic parameters in thenighttime sector during auroral substorms. J. Geophys. Res. 1994, 99, 6093–6112. [Google Scholar] [CrossRef]
- Gjerloev, J.W.; Hoffman, R.A. The large-scale current system during auroral substorms. J. Geophys. Res. Space Phys. 2014, 119, 4591–4606. [Google Scholar] [CrossRef]
- Murphy, K.R.; Mann, I.R.; Rae, I.J.; Waters, C.L.; Frey, H.U.; Kale, A.; Singer, H.J.; Anderson, B.J.; Korth, H. The detailed spatial structure of field-aligned currents comprising the substorm current wedge. J. Geophys. Res. Space Phys. 2013, 118, 7714–7727. [Google Scholar] [CrossRef]
- Nishida, A. Possible origin of transient dusk-to-dawn electric field in the nightside magnetosphere. J. Geophys. Res. 1979, 84, 3409–3412. [Google Scholar] [CrossRef]
- Sakurai, T.; McPherron, R.L. Satellite observations of Pi2 activity at synchronous orbit. J. Geophys. Res. 1983, 88, 7015–7027. [Google Scholar] [CrossRef]
- Keiling, A.; Angelopoulos, V.; Runov, A.; Weygand, J.; Apatenkov, S.V.; Mende, S.; McFadden, J.; Larson, D.; Amm, O.; Glassmeier, K.H.; et al. Substorm current wedge driven by plasma flow vortices: THEMIS observations. J. Geophys. Res. 2009, 114, A00C22. [Google Scholar] [CrossRef] [Green Version]
- Kepko, L.; Kivelson, M.G.; Yumoto, K. Flow bursts, braking, and Pi2 pulsations. J. Geophys. Res. 2001, 106, 1903–1916. [Google Scholar] [CrossRef]
- Ohtani, S.; Uozumi, T. Nightside magnetosphere-ionosphere current circuit: Implications for auroral streamers and Pi2 pulsations. J. Geophys. Res. Space Phys. 2018, 123, 350–363. [Google Scholar] [CrossRef] [Green Version]
- Southwood, D.J.; Kivelson, M.G. An approximate description of field-aligned currents in a planetary magnetic field. J. Geophys. Res. 1991, 96, 67–75. [Google Scholar] [CrossRef]
- Kan, J.R.; Sun, W. Substorm expansion phase caused by an intense localized convection imposed on the ionosphere. J. Geophys. Res. 1996, 101, 27271–27281. [Google Scholar] [CrossRef]
- Lester, M.; Hughes, W.J.; Singer, H.J. Polarization patterns of Pi2 magnetic pulsations and the substorm current wedge. J. Geophys. Res. 1983, 88, 7958–7966. [Google Scholar] [CrossRef] [Green Version]
- Lester, M.; Hughes, W.J.; Singer, H.J. Longitudinal structure in Pi2 pulsations and the substorm current wedge. J. Geophys. Res. 1984, 89, 5489–5494. [Google Scholar] [CrossRef]








© 2020 by the authors. Licensee MDPI, Basel, Switzerland. This article is an open access article distributed under the terms and conditions of the Creative Commons Attribution (CC BY) license (http://creativecommons.org/licenses/by/4.0/).
Share and Cite
Ghamry, E.; Marchetti, D.; Yoshikawa, A.; Uozumi, T.; De Santis, A.; Perrone, L.; Shen, X.; Fathy, A. The First Pi2 Pulsation Observed by China Seismo-Electromagnetic Satellite. Remote Sens. 2020, 12, 2300. https://doi.org/10.3390/rs12142300
Ghamry E, Marchetti D, Yoshikawa A, Uozumi T, De Santis A, Perrone L, Shen X, Fathy A. The First Pi2 Pulsation Observed by China Seismo-Electromagnetic Satellite. Remote Sensing. 2020; 12(14):2300. https://doi.org/10.3390/rs12142300
Chicago/Turabian StyleGhamry, Essam, Dedalo Marchetti, Akimasa Yoshikawa, Teiji Uozumi, Angelo De Santis, Loredana Perrone, Xuhui Shen, and Adel Fathy. 2020. "The First Pi2 Pulsation Observed by China Seismo-Electromagnetic Satellite" Remote Sensing 12, no. 14: 2300. https://doi.org/10.3390/rs12142300
APA StyleGhamry, E., Marchetti, D., Yoshikawa, A., Uozumi, T., De Santis, A., Perrone, L., Shen, X., & Fathy, A. (2020). The First Pi2 Pulsation Observed by China Seismo-Electromagnetic Satellite. Remote Sensing, 12(14), 2300. https://doi.org/10.3390/rs12142300

