A Remote Sensing-Based Application of Bayesian Networks for Epithermal Gold Potential Mapping in Ahar-Arasbaran Area, NW Iran
Abstract
1. Introduction
2. Geology of the Ahar-Arasbaran Region
3. Materials and Methods
3.1. Remote Sensing Data and Pre-Processing
3.2. Image Processing Techniques
3.2.1. Band Ratio
3.2.2. Principal Component Analysis
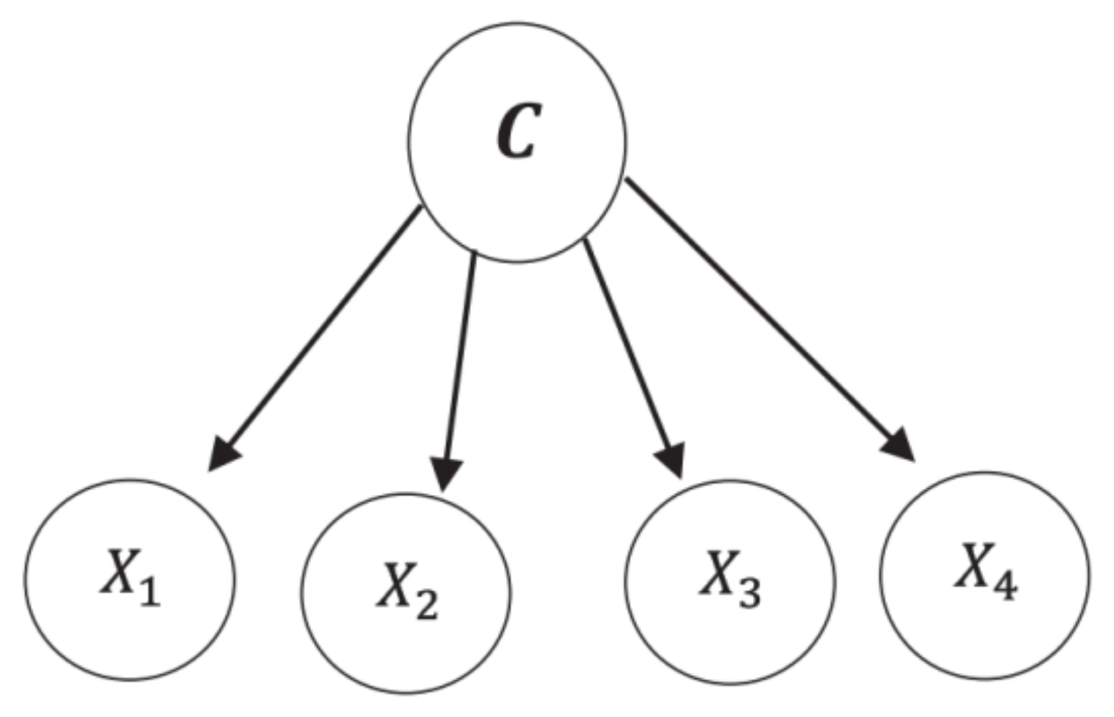
3.3. Bayesian Networks Model
3.4. Fieldwork Data and Laboratory Analysis
4. Results
4.1. Generating Thematic Layers Using Multi-Sensor Remote Sensing Data
4.2. Fusing Thematic Layers Using Naive Bayes (NB) Classifier
4.3. Verifying the Results Using Field Data and Laboratory Analysis
5. Discussion
6. Conclusions
Author Contributions
Funding
Acknowledgments
Conflicts of Interest
References
- Clark, R.N. Spectroscopy of rocks and minerals, and principles of spectroscopy. In Manual of Remote Sensing; Rencz, A., Ed.; Wiley and Sons Inc.: New York, NY, USA, 1999; Volume 3, pp. 3–58. [Google Scholar]
- Bishop, J.L.; Lane, M.D.; Dyar, M.D.; Brwon, A.J. Reflectance and emission spectroscopy study of four groups of phyllosilicates: Smectites, kaolinite-serpentines, chlorites and micas. Clay Miner. 2008, 43, 35–54. [Google Scholar] [CrossRef]
- Sherman, D.M.; Waite, T.D. Electronic spectra of Fe3+ oxides and oxide-hydroxides in the near IR to near UV. Am. Mineral. 1985, 70, 1262–1269. [Google Scholar]
- Hunt, G.R. Spectral signatures of particulate minerals in the visible and near-infrared. Geophysics 1977, 42, 501–513. [Google Scholar] [CrossRef]
- Hunt, G.R.; Ashley, R.P. Spectra of altered rocks in the visible and near-infrared. Econ. Geol. 1979, 74, 1613–1629. [Google Scholar] [CrossRef]
- Abrams, M.; Hook, S.J. Simulated ASTER data for geologic studies. IEEE Trans. Geosci. Remote Sens. 1995, 33, 692–699. [Google Scholar] [CrossRef]
- Kruse, F.A.; Perry, S.L. Regional mineral mapping by extending hyperspectral signatures using multispectral data. IEEE Trans. Geosci. Remote Sens. 2007, 4, 1–14. [Google Scholar]
- Boardman, J.W.; Kruse, F.A. Automated spectral analysis: A geologic example using AVIRIS data, north Grapevine Mountains, Nevada. In Proceedings of the Tenth Thematic Conference on Geologic Remote Sensing, Environmental Research Institute of Michigan, Ann Arbor, MI, USA, 9–12 May 1994; pp. 407–418. [Google Scholar]
- Kruse, F.A.; Bordman, J.W.; Huntington, J.F. Comparison of airborne hyperspectral data and EO-1 Hyperion for mineral mapping. IEEE Trans. Geosci. Remote Sens. 2003, 41, 1388–1400. [Google Scholar] [CrossRef]
- Sheikhrahimi, A.; Pour, B.A.; Pradhan, B.; Zoheir, B. Mapping hydrothermal alteration zones and lineaments associated with orogenic gold mineralization using ASTER remote sensing data: A case study from the Sanandaj-Sirjan Zone, Iran. Adv. Space Res. 2019, 63, 3315–3332. [Google Scholar] [CrossRef]
- Noori, L.; Pour, B.A.; Askari, G.; Taghipour, N.; Pradhan, B.; Lee, C.-W.; Honarmand, M. Comparison of different algorithms to map hydrothermal alteration zones using ASTER remote sensing data for polymetallic vein-type ore exploration: Toroud–Chahshirin Magmatic Belt (TCMB), North Iran. Remote Sens. 2019, 11, 495. [Google Scholar] [CrossRef]
- Pour, A.B.; Park, T.S.; Park, Y.; Hong, J.K.; Zoheir, B.; Pradhan, B.; Ayoobi, I.; Hashim, M. Application of multi-sensor satellite data for exploration of Zn-Pb sulfide mineralization in the Franklinian Basin, North Greenland. Remote Sens. 2018, 10, 1186. [Google Scholar] [CrossRef]
- Pour, A.B.; Hashim, M.; Park, Y.; Hong, J.K. Mapping alteration mineral zones and lithological units in Antarctic regions using spectral bands of ASTER remote sensing data. Geocarto Int. 2018, 33, 1281–1306. [Google Scholar] [CrossRef]
- Pour, B.A.; Hashim, M. The application of ASTER remote sensing data to porphyry copper and epithermal gold deposits. Ore Geol. Rev. 2012, 44, 1–9. [Google Scholar] [CrossRef]
- Pour, A.B.; Park, Y.; Crispini, L.; Läufer, A.; Hong, J.K.; Park, T.-Y.S.; Zoheir, B.; Pradhan, B.; Muslim, A.M.; Hossain, M.S.; et al. Mapping listvenite occurrences in the damage zones of northern victoria land, Antarctica using ASTER Satellite Remote Sensing Data. Remote Sens. 2019, 11, 1408. [Google Scholar] [CrossRef]
- Pour, A.B.; Hashim, M.; Hong, J.K.; Park, Y. Lithological and alteration mineral mapping in poorly exposed lithologies using Landsat-8 and ASTER satellite data: North-eastern Graham Land, Antarctic Peninsula. Ore Geol. Rev. 2019, 108, 112–133. [Google Scholar] [CrossRef]
- Sun, L.; Khan, S.; Shabestari, P. Integrated hyperspectral and geochemical study of sediment-hosted disseminated gold at the Goldstrike District, Utah. Remote Sens. 2019, 11, 1987. [Google Scholar] [CrossRef]
- Zoheir, B.; Emam, A.; Abdel-Wahed, M.; Soliman, N. Multispectral and radar data for the setting of gold mineralization in the South Eastern Desert, Egypt. Remote Sens. 2019, 11, 1450. [Google Scholar] [CrossRef]
- Zoheir, B.; El-Wahed, M.A.; Pour, A.B.; Abdelnasser, A. Orogenic gold in transpression and transtension zones: Field and remote sensing studies of the barramiya–mueilha sector, Egypt. Remote Sens. 2019, 11, 2122. [Google Scholar] [CrossRef]
- Guha, A.; Yamaguchi, Y.; Chatterjee, S.; Rani, K.; Vinod Kumar, K. Emittance spectroscopy and broadband thermal remote sensing applied to phosphorite and its utility in geoexploration: A study in the parts of Rajasthan, India. Remote Sens. 2019, 11, 1003. [Google Scholar] [CrossRef]
- Rowan, L.C.; Goetz, A.F.H.; Ashley, R.P. Discrimination of hydrothermally altered and unaltered rocks in visible and near infrared multispectral images. Geophysics 1977, 42, 522–535. [Google Scholar] [CrossRef]
- Crosta, A.; Moore, J. Enhancement of Landsat Thematic Mapper imagery for residual soil mapping in SW Minais Gerais State, Brazil: A prospecting case history in Greenstone belt terrain. In Proceedings of the 7th ERIM Thematic Conference on Remote Sensing for Exploration Geology, Calgary, AL, Canada, 2–6 October 1989; pp. 1173–1187. [Google Scholar]
- Sabins, F.F. Remote sensing for mineral exploration. Ore Geol. Rev. 1999, 14, 157–183. [Google Scholar] [CrossRef]
- Abdelsalam, M.G.; Stern, R.J.; Woldegabriel, G.B. Mapping gossans in arid regions with Landsat TM and SIR-C images, the Beddaho Alteration Zone in northern Eritrea. J. Afr. Earth Sci. 2000, 30, 903–916. [Google Scholar] [CrossRef]
- Kusky, T.M.; Ramadan, T.M. Structural controls on Neoproterozoic mineralization in the South Eastern Desert, Egypt: An integrated field, Landsat TM, and SIR-C/X SAR approach. J. Afr. Earth Sci. 2002, 35, 107–121. [Google Scholar] [CrossRef]
- Aydal, D.; Ardal, E.; Dumanlilar, O. Application of the Crosta technique for alteration mapping of granitoidic rocks using ETM+ data: Case study from eastern Tauride belt (SE Turkey). Int. J. Remote Sens. 2007, 28, 3895–3913. [Google Scholar] [CrossRef]
- Rajesh, H.M. Mapping Proterozoic unconformity-related uranium deposits in the Rockole area, Northern Territory, Australia using Landsat ETM+. Ore Geol. Rev. 2008, 33, 382–396. [Google Scholar] [CrossRef]
- Pour, A.B.; Hashim, M. Hydrothermal alteration mapping from Landsat-8 data, Sar Cheshmeh copper mining district, south-eastern Islamic Republic of Iran. J. Taibah Univ. Sci. 2015, 9, 155–166. [Google Scholar] [CrossRef]
- Pour, A.B.; Park, Y.; Park, T.S.; Hong, J.K.; Hashim, M.; Woo, J.; Ayoobi, I. Evaluation of ICA and CEM algorithms with Landsat-8/ASTER data for geological mapping in inaccessible regions. Geocarto Int. 2019, 34, 785–816. [Google Scholar] [CrossRef]
- Lowell, J.D.; Guilbert, J.M. Lateral and vertical alteration-mineralization zoning in porphyry ore deposits. Econ. Geol. Bull. Soc. Econ. Geol. 1970, 65, 373–408. [Google Scholar] [CrossRef]
- Dilles, J.H.; Einaudi, M.T. Wall-rock alteration and hydrothermal flow paths about the Ann-Mason porphyry copper deposit, Nevada-a 6-km vertical reconstruction. Econ. Geol. 1992, 87, 1963–2001. [Google Scholar] [CrossRef]
- Sillitoe, R.H. Porphyry Copper Systems. Econ. Geol. 2010, 105, 3–41. [Google Scholar] [CrossRef]
- Goldfarb, R.J.; Taylor, R.D.; Collins, G.S.D.; Goryachev, N.A.; Orlandini, O.F. Phanerozoic continental growth and gold metallogeny of Asia. Gondwana Res. 2014, 25, 48–102. [Google Scholar] [CrossRef]
- Hedenquist, J.W.; Arribas, A.R.; Gonzalez-Urien, E. Exploration for epithermal gold deposits. SEG Rev. 2000, 13, 245–277. [Google Scholar]
- Mars, J.C.; Rowan, L.C. Regional mapping of phyllic-and argillic-altered rocks in the Zagros magmatic arc, Iran, using Advanced Spaceborne Thermal Emission and Reflection Radiometer (ASTER) data and logical operator algorithms. Geosphere 2006, 2, 161–186. [Google Scholar] [CrossRef]
- Mars, J.C.; Rowan, L.C. ASTER spectral analysis and lithologic mapping of the Khanneshin carbonate volcano, Afghanistan. Geosphere 2011, 7, 276–289. [Google Scholar] [CrossRef]
- Rowan, L.C.; Hook, S.J.; Abrams, M.J.; Mars, J.C. Mapping hydrothermally altered rocks at Cuprite, Nevada, using the Advanced Spaceborne Thermal Emission and Reflection Radiometer (ASTER), a new satellite-imaging system. Econ. Geol. 2003, 98, 1019–1027. [Google Scholar] [CrossRef]
- Pour, B.A.; Hashim, M. Identification of hydrothermal alteration minerals for exploring of porphyry copper deposit using ASTER data, SE Iran. J. Asian Earth Sci. 2011, 42, 1309–1323. [Google Scholar] [CrossRef]
- Pour, A.B.; Park, Y.; Park, T.S.; Hong, J.K.; Hashim, M.; Woo, J.; Ayoobi, I. Regional geology mapping using satellite-based remote sensing approach in Northern Victoria Land, Antarctica. Polar Sci. 2018, 16, 23–46. [Google Scholar] [CrossRef]
- Carranza, E.J.M. Geocomputation of mineral exploration targets. Comput. Geosci. 2011, 37, 1907–1916. [Google Scholar] [CrossRef]
- Porwal, A.; Carranza, E.J.M.; Hale, M. Bayesian network classifiers for mineral potential mapping. Comput. Geosci. 2006, 32, 1–16. [Google Scholar] [CrossRef]
- Skabar, A. Mineral potential mapping using Bayesian learning for multilayer perceptrons. Math. Geol. 2007, 39, 439–451. [Google Scholar] [CrossRef]
- Jensen, F.V. An Introduction to Bayesian Networks; UCL Press: London, UK, 1996; Volume 210, pp. 1–178. [Google Scholar]
- Friedman, N.; Geiger, D.; Goldszmidt, M. Bayesian network classifiers. Mach. Learn. 1997, 29, 131–163. [Google Scholar] [CrossRef]
- Scanagatta, M.; de Campos, C.P.; Corani, G.; Zaffalon, M. Learning bayesian networks with thousands of variables. In Proceedings of the NIPS’15 28th International Conference on Neural Information Processing Systems, Montreal, QC, Canada, 7–12 December 2015; Volume 28, pp. 1855–1863. [Google Scholar]
- Jamali, H.; Dilek, Y.; Daliran, F.; Yaghubpur, A.; Mehrabi, B. Metallogeny and tectonic evolution of the Cenozoic Ahar–Arasbaran volcanic belt, northern Iran. Int. Geol. Rev. 2010, 52, 608–630. [Google Scholar] [CrossRef]
- Maghsoudi, A.; Yazdi, M.; Mehrpartou, M.; Vosoughi, M.; Younesi, S. Porphyry Cu–Au mineralization in the Mirkuh Ali Mirza magmatic complex, NW Iran. J. Asian Earth Sci. 2014, 79, 932–941. [Google Scholar] [CrossRef]
- Pazand, K.; Hezarkhani, A. Predictive Cu porphyry potential mapping using fuzzy modelling in Ahar–Arasbaran zone, Iran. Geol. Ecol. Landsc. 2018, 2, 229–239. [Google Scholar] [CrossRef]
- Kouhestani, H.; Mokhtari, M.A.A.; Chang, Z.; Stein, H.J.; Johnson, C.A. Timing and genesis of ore formation in the Qarachilar Cu-Mo-Au deposit, Ahar-Arasbaran metallogenic zone, NW Iran: Evidence from geology, fluid inclusions, O–S isotopes and Re–Os geochronology. Ore Geol. Rev. 2018, 102, 757–775. [Google Scholar] [CrossRef]
- Sohrabi, G. Metallogenic and Geochemical Investigations of Molybdenum Reservoirs in Karad-e Ghad-e Sharidagh, East Azarbaijan, Northwest of Iran. Ph.D. Thesis, Tabriz University, Tabriz, Iran, 2015. (In Persian). [Google Scholar]
- Parsa, M.; Maghsoudi, A.; Yousefi, M. Spatial analyses of exploration evidence data to model skarn-type copper prospectivity in the Varzaghan district, NW Iran. Ore Geol. Rev. 2018, 92, 97–112. [Google Scholar] [CrossRef]
- Pazand, K.; Sarvestani, J.F.; Ravasan, M.R. Hydrothermal alteration mapping using ASTER data for reconnaissance porphyry copper mineralization in the Ahar area, NW Iran. J. Indian Soc. Remote Sens. 2013, 41, 379–389. [Google Scholar] [CrossRef]
- Hassanpour, S. The alteration, mineralogy and geochronology (SHRIMP U–Pb and 40 Ar/39 Ar) of copper-bearing Anjerd skarn, north of the Shayvar Mountain, NW Iran. Int. J. Earth Sci. 2013, 102, 687–699. [Google Scholar] [CrossRef]
- Aghazadeh, M.; Hou, Z.; Badrzadeh, Z.; Zhou, L. Temporal–spatial distribution and tectonic setting of porphyry copper deposits in Iran: Constraints from zircon U–Pb and molybdenite Re–Os geochronology. Ore Geol. Rev. 2015, 70, 385–406. [Google Scholar] [CrossRef]
- Hassanpour, S. Metallogeny and Mineralization of Copper and Gold in Arasbaran Zone (Eastern Azerbaijan). Ph.D. Thesis, Shahid Beheshti University, Tehran, Iran, 2010. (In Persian with English abstract). [Google Scholar]
- Maghsoudi, A.; Rahmani, M.; Rashidi, B. Gold Deposits and Indications of Iran; Pars Arain Zamin Geology Research Centre: Tehran, Iran, 2005. [Google Scholar]
- Irons, J.R.; Dwyer, J.L.; Barsi, J.A. The next Landsat satellite: The Landsat Data Continuity Mission. Remote Sens. Environ. 2012, 145, 154–172. [Google Scholar] [CrossRef]
- Roy, D.P.; Wulder, M.A.; Loveland, T.A.; Woodcock, C.E.; Allen, R.G.; Anderson, M.C.; Helder, D.; Irons, J.R.; Johnson, D.M.; Kennedy, R.; et al. Landsat-8: Science and product vision for terrestrial global change research. Remote Sens. Environ. 2014, 145, 154–172. [Google Scholar] [CrossRef]
- Abrams, M.; Tsu, H.; Hulley, G.; Iwao, K.; Pieri, D.; Cudahy, T.; Kargel, J. The Advanced Spaceborne Thermal Emission and Reflection Radiometer (ASTER) after fifteen years: Review of global products. Int. J. Appl. Earth Obs. Geoinf. 2015, 38, 292–301. [Google Scholar] [CrossRef]
- Chander, G.; Markham, B.; Helder, D. Summary of current radiometric calibration coefficients for Landsat MSS, TM, ETM+, and EO-1 ALI sensors. Remote Sens. Environ. 2009, 113, 893–903. [Google Scholar] [CrossRef]
- Research Systems, Inc. ENVI Tutorials; Research Systems, Inc.: Boulder, CO, USA, 2008. [Google Scholar]
- NASA Goddard Space Flight Centre. Landsat 7 Science Data Users Handbook. Updated March 2011. Available online: http://landsathandbook.gsfc.nasa.gov/inst_cal/prog_sect8_2.html (accessed on 12 October 2019).
- Ben-Dor, E.; Kruse, F.A.; Lefkoff, A.B.; Banin, A. Comparison of three calibration techniques for utilization of GER 63-channel aircraft scanner data of Makhtesh Ramon, Nega, Israel. Int. J. Rock Mech. Min. Sci. Geomech. Abstr. 1995, 32, 164A. [Google Scholar]
- Iwasaki, A.; Tonooka, H. Validation of a crosstalk correction algorithm for ASTER/SWIR. IEEE Trans. Geosci. Remote Sens. 2005, 43, 2747–2751. [Google Scholar] [CrossRef]
- Goetz, A.F.; Rock, B.N.; Rowan, L.C. Application of remote sensing in exploration. Econ. Geol. 1975, 79, 644–711. [Google Scholar]
- Inzana, J.; Kusky, T.; Higgs, G.; Tucker, R. Supervised classifications of Landsat TM band ratio images and Landsat TM band ratio image with radar for geological interpretations of central Madagascar. J. Afr. Earth Sci. 2003, 37, 59–72. [Google Scholar] [CrossRef]
- Crowley, J.K.; Brickey, D.W.; Rowan, L.C. Airborne imaging spectrometer data of the Ruby Mountains, Montana: Mineral discrimination using relative absorption band-depth images. Remote Sens. Environ. 1989, 29, 121–134. [Google Scholar] [CrossRef]
- Abubakar, A.J.A.; Hashim, M.; Pour, A.B. Remote sensing satellite imagery for prospecting geothermal systems in an aseismic geologic setting: Yankari Park, Nigeria. Int. J. Appl. Earth Obs. Geoinf. 2019, 80, 157–172. [Google Scholar] [CrossRef]
- Van der Meer, F.D.; Van der Werff, H.M.; Van Ruitenbeek, F.J.; Hecker, C.A.; Bakker, W.H.; Noomen, M.F.; Van Der Meijde, M.; Carranza, E.J.M.; De Smeth, J.B.; Woldai, T. Multi-and hyperspectral geologic remote sensing: A review. Int. J. Appl. Earth Obs. Geoinf. 2012, 14, 112–128. [Google Scholar] [CrossRef]
- Kalinowski, A.; Oliver, S. ASTER Mineral Index Processing Manual. Technical Report; Geoscience Australia. 2004. Available online: http://www.ga.gov.au/image_cache/GA7833.pdf (accessed on 1 June 2019).
- Cheng, Q.; Jing, L.; Panahi, A. Principal component analysis with optimum order sample correlation coefficient for image enhancement. Int. J. Remote Sens. 2006, 27, 3387–3401. [Google Scholar]
- Gupta, R.P.; Tiwari, R.K.; Saini, V.; Srivastava, N. A simplified approach for interpreting principal component images. Adv. Remote Sens. 2013, 2, 111–119. [Google Scholar] [CrossRef]
- Singh, A.; Harrison, A. Standardized principal components. Int. J. Remote Sens. 1985, 6, 883–896. [Google Scholar] [CrossRef]
- Crosta, A.P.; Souza Filho, C.R.; Azevedo, F.; Brodie, C. Targeting key alteration minerals in epithermal deposits in Patagonia, Argentina, Using ASTER imagery and principal component analysis. Int. J. Remote Sens. 2003, 24, 4233–4240. [Google Scholar] [CrossRef]
- Crosta, A.P.; Filho, C.R. Searching for gold with ASTER. Earth Obs. Mag. 2003, 12, 38–41. [Google Scholar]
- Gelman, A.; Carlin, J.B.; Stern, H.S.; Rubin, D.B. Bayesian Data Analysis; Chapman & Hall: London, UK, 1995. [Google Scholar]
- Neal, R.M. Bayesian Learning for Neural Networks; Springer: Berlin, Germany, 1996. [Google Scholar]
- Antal, P.; Fannes, G.; Timmerman, D.; Moreau, Y.; Moor, B.D. Bayesian applications of belief networks and multilayer perceptrons for ovarian tumor classification with rejection. Artif. Intell. Med. 2003, 29, 39–60. [Google Scholar] [CrossRef]
- Duda, R.O.; Hart, P.E. Pattern Classification and Scene Analysis; John Wiley and Sons: New York, NY, UK, 1973; p. 482. [Google Scholar]
- Langley, P.; Sage, S. Induction of selective Bayesian classifiers. In Proceedings of the Tenth Conference on Uncertainty in Artificial Intelligence (UAI ’94), Seattle, WA, USA, 29–31 July 1994; Kaufmann, M., de Mantars, L., Poole, D., Eds.; Morgan Kaufmann: Burlington, MA, USA, 1994; pp. 399–406. [Google Scholar]
- Jenks, G.F. The data model concept in statistical mapping. Int. Yearb. Cartogr. 1967, 7, 186–190. [Google Scholar]
- Story, M.; Congalton, R. Accuracy assessment: A user’s perspective. Photogramm. Eng. Remote Sens. 1986, 52, 397–399. [Google Scholar]
- Congalton, R.G. A review of assessing the accuracy of classification of remotely sensed data. Remote Sens. Environ. 1991, 37, 35–46. [Google Scholar] [CrossRef]
- Lillesand, T.; Kiefer, R. Remote Sensing and Image Interpretation; John Wiley & Sons, Inc.: New York, NY, USA, 1994; Chapter 7. [Google Scholar]
- Kruse, F.; Perry, S. Mineral mapping using simulated Worldview-3 short-wave infrared imagery. Remote Sens. 2013, 5, 2688–2703. [Google Scholar] [CrossRef]
- Monserud, R.A.; Leemans, R. Comparing global vegetation maps with the Kappa-statistic. Ecol. Model. 1992, 62, 275–293. [Google Scholar] [CrossRef]
- Goldfarb, R.J.; Phillips, G.N.; Nokleberg, W.J. Tectonic setting of synorogenic gold deposits of the Pacific Rim. Ore Geol. Rev. 1998, 13, 185–218. [Google Scholar] [CrossRef]
- Goldfarb, R.J.; Groves, D.I. Orogenic gold: Common or evolving fluid and metal sources through time. Lithos 2015, 233, 2–26. [Google Scholar] [CrossRef]
- White, N.C.; Hedenquist, J.W. Epithermal gold deposits: Styles, characteristics and exploration. SEG Newsl. 1995, 23, 9–13. [Google Scholar]
- Pour, B.A.; Hashim, M. Structural mapping using PALSAR data in the Central Gold Belt, Peninsular Malaysia. Ore Geol. Rev. 2015, 64, 13–22. [Google Scholar] [CrossRef]
- Pour, B.A.; Hashim, M.; Makoundi, C.; Zaw, K. Structural mapping of the bentong-raub suture zone using PALSAR remote sensing data, Peninsular Malaysia: Implications for sediment-hosted/orogenic gold mineral systems exploration. Resour. Geol. 2016, 66, 368–385. [Google Scholar] [CrossRef]
- Pour, B.A.; Hashim, M.; Marghany, M. Exploration of gold mineralization in a tropical region using Earth Observing-1 (EO1) and JERS-1 SAR data: A case study from Bau gold field, Sarawak, Malaysia. Arab. J. Geosci. 2014, 7, 2393–2406. [Google Scholar] [CrossRef]
- Pour, B.A.; Hashim, M. Evaluation of Earth Observing-1 (EO1) Data for Lithological and Hydrothermal Alteration mapping: A case study from Urumieh-Dokhtar Volcanic Belt, SE Iran. Indian Soc. Remote Sens. 2015, 43, 583–597. [Google Scholar] [CrossRef]
- Testa, F.J.; Villanueva, C.; Cooke, D.R.; Zhang, L. Lithological and hydrothermal alteration mapping of epithermal, porphyry and tourmaline breccia districts in the Argentine Andes using ASTER imagery. Remote Sens. 2018, 10, 203. [Google Scholar] [CrossRef]
- Parsa, M.; Maghsoudi, A.; Yousefi, M.; Sadeghi, M. Recognition of significant multi-element geochemical signatures of porphyry Cu deposits in Noghdouz area, NW Iran. J. Geochem. Explor. 2016, 165, 111–124. [Google Scholar] [CrossRef]
- Parsa, M.; Maghsoudi, A.; Yousefi, M. An improved data-driven fuzzy mineral prospectivity mapping procedure; cosine amplitude-based similarity approach to delineate exploration targets. Int. J. Appl. Earth Obs. Geoinf. 2017, 58, 157–167. [Google Scholar] [CrossRef]
- Parsa, M.; Maghsoudi, A.; Yousefi, M. A receiver operating characteristics-based geochemical data fusion technique for targeting undiscovered mineral deposits. Nat. Res. Res. 2018, 27, 15–28. [Google Scholar] [CrossRef]























| Landsat 7 Enhanced Thematic Mapper Plus (Landsat-7 ETM+) | Bands | Wavelength (µm) | Resolution (m) | ||
| Band 1—Blue | 0.45–0.52 | 30 | |||
| Band 2—Green | 0.52–0.60 | 30 | |||
| Band 3—Red | 0.63–0.69 | 30 | |||
| Band 4—Near Infrared (NIR) | 0.77–0.90 | 30 | |||
| Band 5—Shortwave Infrared (SWIR) 1 | 1.55–1.75 | 30 | |||
| Band 6—Thermal | 10.40–12.50 | 60 * (30) | |||
| Band 7—Shortwave Infrared (SWIR) 2 | 2.09–2.35 | 30 | |||
| Band 8—Panchromatic | 0.520–0.900 | 15 | |||
| Landsat 8 Operational Land Imager (OLI) and Thermal Infrared Sensor (TIRS) | Bands | Wavelength (µm) | Resolution (m) | ||
| Band 1—Ultra Blue (coastal/aerosol) | 0.435 –0.451 | 30 | |||
| Band 2—Blue | 0.452–0.512 | 30 | |||
| Band 3—Green | 0.533–0.590 | 30 | |||
| Band 4—Red | 0.636–0.673 | 30 | |||
| Band 5—Near Infrared (NIR) | 0.851–0.879 | 30 | |||
| Band 6—Shortwave Infrared (SWIR) 1 | 1.566–1.651 | 30 | |||
| Band 7—Shortwave Infrared (SWIR) 2 | 2.107–2.294 | 30 | |||
| Band 8—Panchromatic | 0.503–0.676 | 15 | |||
| Band 9—Cirrus | 1.363–1.384 | 30 | |||
| Band 10—Thermal Infrared (TIRS) 1 | 10.60–11.19 | 100 * (30) | |||
| Band 11—Thermal Infrared (TIRS) 2 | 11.50–12.51 | 100 * (30) | |||
| ASTER Advanced Space borne Thermal Emission and Reflection Radiometer | Band | Label | Wavelength (µm) | Resolution (m) | Description |
| B1 | VNIR_Band1 | 0.520–0.60 | 15 | Visible green/yellow | |
| B2 | VNIR_Band2 | 0.630–0.690 | 15 | Visible red | |
| B3N | VNIR_Band3N | 0.760–0.860 | 15 | Near infrared | |
| B3B | VNIR_Band3B | 0.760–0.860 | 15 | ||
| B4 | SWIR_Band4 | 1.600–1.700 | 30 | Short-wave infrared | |
| B5 | SWIR_Band5 | 2.145–2.185 | 30 | ||
| B6 | SWIR_Band6 | 2.185–2.225 | 30 | ||
| B7 | SWIR_Band7 | 2.235–2.285 | 30 | ||
| B8 | SWIR_Band8 | 2.295–2.365 | 30 | ||
| B9 | SWIR_Band9 | 2.360–2.430 | 30 | ||
| B10 | TIR_Band10 | 8.125–8.475 | 90 | Long-wave infrared or thermal IR | |
| B11 | TIR_Band11 | 8.475–8.825 | 90 | ||
| B12 | TIR_Band12 | 8.925–9.275 | 90 | ||
| B13 | TIR_Band13 | 10.250–10.950 | 90 | ||
| B14 | TIR_Band14 | 10.950–11.650 | 90 | ||
| Alteration Zone | Mineral Assemblages | RBD Band |
|---|---|---|
| Advanced Argillic | Alunite-Kaolinite-Pyrophyllite | (4 + 6)/5 |
| Argillic-Phyllic | Sericitic-Illite-Smectite | (5 + 7)/6 |
| Propylitic | Epidote-Chlorite-Amphibole-Biotite | (6 + 9)/(7 + 8) |
| Hydrous Silica | Hydrous Silica-Jarosite-Sericite | (5 + 8)/(6 + 7) |
| (A) | ||||
| Eigenvector | Band 1 | Band 3 | Band 4 | Band 5 |
| PCA 1 | 0.442 | 0.536 | 0.386 | 0.605 |
| PCA 2 | 0.095 | 0.616 | −0.771 | −0.123 |
| PCA 3 | 0.420 | 0.258 | 0.383 | −0.780 |
| PCA 4 | 0.786 | −0.515 | −0.328 | 0.091 |
| (B) | ||||
| Eigenvector | Band 2 | Band 4 | Band 5 | Band 6 |
| PCA 1 | 0.399 | 0.444 | 0.544 | 0.587 |
| PCA 2 | −0.374 | 0.037 | −0.555 | 0.741 |
| PCA 3 | −0.566 | −0.510 | 0.614 | 0.201 |
| PCA 4 | 0.616 | −0.734 | −0.126 | 0.253 |
| (C) | ||||
| Eigenvector | Band 1 | Band 2 | Band 3 | Band 4 |
| PCA1 | 0.320 | 0.360 | 0.562 | 0.671 |
| PCA2 | 0.265 | 0.506 | −0.779 | 0.253 |
| PCA3 | −0.396 | −0.539 | −0.259 | 0.695 |
| PCA4 | 0.817 | −0.567 | −0.092 | −0.008 |
| (A) | ||||
| Eigenvector | Band 1 | Band 4 | Band 5 | Band 7 |
| PCA 1 | 0.455 | 0.401 | 0.629 | 0.484 |
| PCA 2 | −0.002 | −0.839 | 0.129 | 0.528 |
| PCA 3 | 0.865 | −0.130 | −0.475 | −0.086 |
| PCA 4 | −0.208 | 0.343 | −0.599 | 0.692 |
| (B) | ||||
| Eigenvector | Band 2 | Band 5 | Band 6 | Band 7 |
| PCA 1 | 0.388 | 0.529 | 0.573 | 0.490 |
| PCA 2 | 0.294 | 0.698 | −0.410 | −0.506 |
| PCA 3 | 0.841 | −0.426 | −0.298 | 0.142 |
| PCA 4 | −0.232 | 0.223 | −0.643 | 0.694 |
| (C) | ||||
| Eigenvector | Band 1 | Band 3 | Band 4 | Band 6 |
| PCA1 | 0.284 | 0.498 | 0.599 | 0.558 |
| PCA2 | 0.062 | −0.839 | 0.202 | 0.499 |
| PCA3 | 0.839 | 0.011 | −0.527 | 0.127 |
| PCA4 | 0.457 | −0.215 | 0.567 | −0.649 |
| (A) | ||||
| Eigenvector | Band 1 | Band 4 | Band 6 | Band 7 |
| PCA1 | −0.28 | −0.593 | −0.553 | −0.514 |
| PCA2 | −0.787 | 0.589 | −0.08 | −0.166 |
| PCA3 | −0.543 | −0.549 | 0.509 | 0.382 |
| PCA4 | −0.089 | 0.003 | −0.655 | 0.75 |
| (B) | ||||
| Eigenvector | Band 1 | Band 3 | Band 5 | Band 6 |
| PCA1 | 0.297 | 0.512 | 0.551 | 0.586 |
| PCA2 | 0.01 | −0.845 | 0.366 | 0.389 |
| PCA3 | 0.954 | −0.15 | −0.154 | −0.207 |
| PCA4 | 0.027 | −0.004 | −0.733 | 0.679 |
| (C) | ||||
| Eigenvector | Band 1 | Band 3 | Band 5 | Band 8 |
| PCA1 | 0.307 | 0.528 | 0.568 | 0.552 |
| PCA2 | 0.014 | −0.832 | 0.341 | 0.438 |
| PCA3 | 0.95 | −0.154 | −0.233 | −0.142 |
| PCA4 | −0.059 | 0.073 | −0.712 | 0.696 |
| Alteration Zones | Coordinates | |
|---|---|---|
| 1 | Advanced argillic | 38°26.324′N–47°21.279′E |
| 2 | Advanced argillic | 38°11.796′N–47°15.995′E |
| 3 | Advanced argillic | 38°20.514′N–46°58.566′E |
| 4 | Advanced argillic | 38°32.717′N–47°03.374′E |
| 5 | Advanced argillic | 38°49.398′N–46°16.417′E |
| 6 | Advanced argillic | 38°43.269′N–47°00.223′E |
| 7 | Iron oxide minerals | 38°30.095′N–47°07.023′E |
| 8 | Iron oxide minerals | 38°44.378′N–46°23.321′E |
| 9 | Iron oxide minerals | 38°08.975′N–47°27.312′E |
| 10 | Iron oxide minerals | 38°40.687′N–46°42.420′E |
| 11 | Iron oxide minerals | 38°43.525′N–46°48.243′E |
| 12 | Iron oxide minerals | 38°37.564′N–46°29.257′E |
| 13 | argillic-phyllic | 38°10.102′N–47°28.384′E |
| 14 | argillic-phyllic | 38°24.794′N–47°24.250′E |
| 15 | argillic-phyllic | 38°36.792′N–46°43.712′E |
| 16 | argillic-phyllic | 38°37.814′N–46°22.895′E |
| 17 | argillic-phyllic | 38°21.812′N–46°51.621′E |
| 18 | argillic-phyllic | 38°35.575′N–47°00.520′E |
| 19 | Hydrous silica | 38°41.894′N–46°41.574′E |
| 20 | Hydrous silica | 38°25.525′N–47°20.882′E |
| 21 | Hydrous silica | 38°44.511′N–46°46.563′E |
| 22 | Hydrous silica | 38°36.700′N–46°51.888′E |
| 23 | Hydrous silica | 38°36.931′N–46°31.907′E |
| 24 | Hydrous silica | 38°43.265′N–46°25.118′E |
| 25 | Propylitic | 38°37.090′N–46°28.190′E |
| 26 | Propylitic | 38°50.119′N–46°22.157′E |
| 27 | Propylitic | 38°45.696′N–46°49.787′E |
| 28 | Propylitic | 38°25.034′N–47°24.969′E |
| 29 | Propylitic | 38°40.665′N–46°22.871′E |
| 30 | Propylitic | 38°31.197′N–46°17.014′E |
| Class | Advanced Argillic | Iron Oxide/ Hydroxides | Argillic-Phyllic | Hydrous Silica | Propylitic | Totals (Field Data) | User’s Accuracy |
|---|---|---|---|---|---|---|---|
| Advanced argillic | 5 | 0 | 1 | 0 | 0 | 6 | 83% |
| Iron oxide/hydroxides | 0 | 4 | 0 | 2 | 1 | 8 | 50% |
| Argillic-phyllic | 1 | 0 | 5 | 0 | 0 | 5 | 100% |
| Hydrous silica | 0 | 2 | 0 | 4 | 0 | 6 | 67% |
| Propylitic | 0 | 0 | 0 | 0 | 5 | 5 | 100% |
| Totals (Remote sensing analysis) | 6 | 6 | 6 | 6 | 6 | 30 | |
| Producer’s Accuracy | 83% | 67% | 83% | 67% | 83% | ||
| Overall accuracy = 76.66% | Kappa Coefficient = 0.71 | ||||||
© 2019 by the authors. Licensee MDPI, Basel, Switzerland. This article is an open access article distributed under the terms and conditions of the Creative Commons Attribution (CC BY) license (http://creativecommons.org/licenses/by/4.0/).
Share and Cite
Bolouki, S.M.; Ramazi, H.R.; Maghsoudi, A.; Beiranvand Pour, A.; Sohrabi, G. A Remote Sensing-Based Application of Bayesian Networks for Epithermal Gold Potential Mapping in Ahar-Arasbaran Area, NW Iran. Remote Sens. 2020, 12, 105. https://doi.org/10.3390/rs12010105
Bolouki SM, Ramazi HR, Maghsoudi A, Beiranvand Pour A, Sohrabi G. A Remote Sensing-Based Application of Bayesian Networks for Epithermal Gold Potential Mapping in Ahar-Arasbaran Area, NW Iran. Remote Sensing. 2020; 12(1):105. https://doi.org/10.3390/rs12010105
Chicago/Turabian StyleBolouki, Seyed Mohammad, Hamid Reza Ramazi, Abbas Maghsoudi, Amin Beiranvand Pour, and Ghahraman Sohrabi. 2020. "A Remote Sensing-Based Application of Bayesian Networks for Epithermal Gold Potential Mapping in Ahar-Arasbaran Area, NW Iran" Remote Sensing 12, no. 1: 105. https://doi.org/10.3390/rs12010105
APA StyleBolouki, S. M., Ramazi, H. R., Maghsoudi, A., Beiranvand Pour, A., & Sohrabi, G. (2020). A Remote Sensing-Based Application of Bayesian Networks for Epithermal Gold Potential Mapping in Ahar-Arasbaran Area, NW Iran. Remote Sensing, 12(1), 105. https://doi.org/10.3390/rs12010105

