Alternate Mapping Correlated k-Distribution Method for Infrared Radiative Transfer Forward Simulation
Abstract
1. Introduction
2. Methods
3. Application and Results
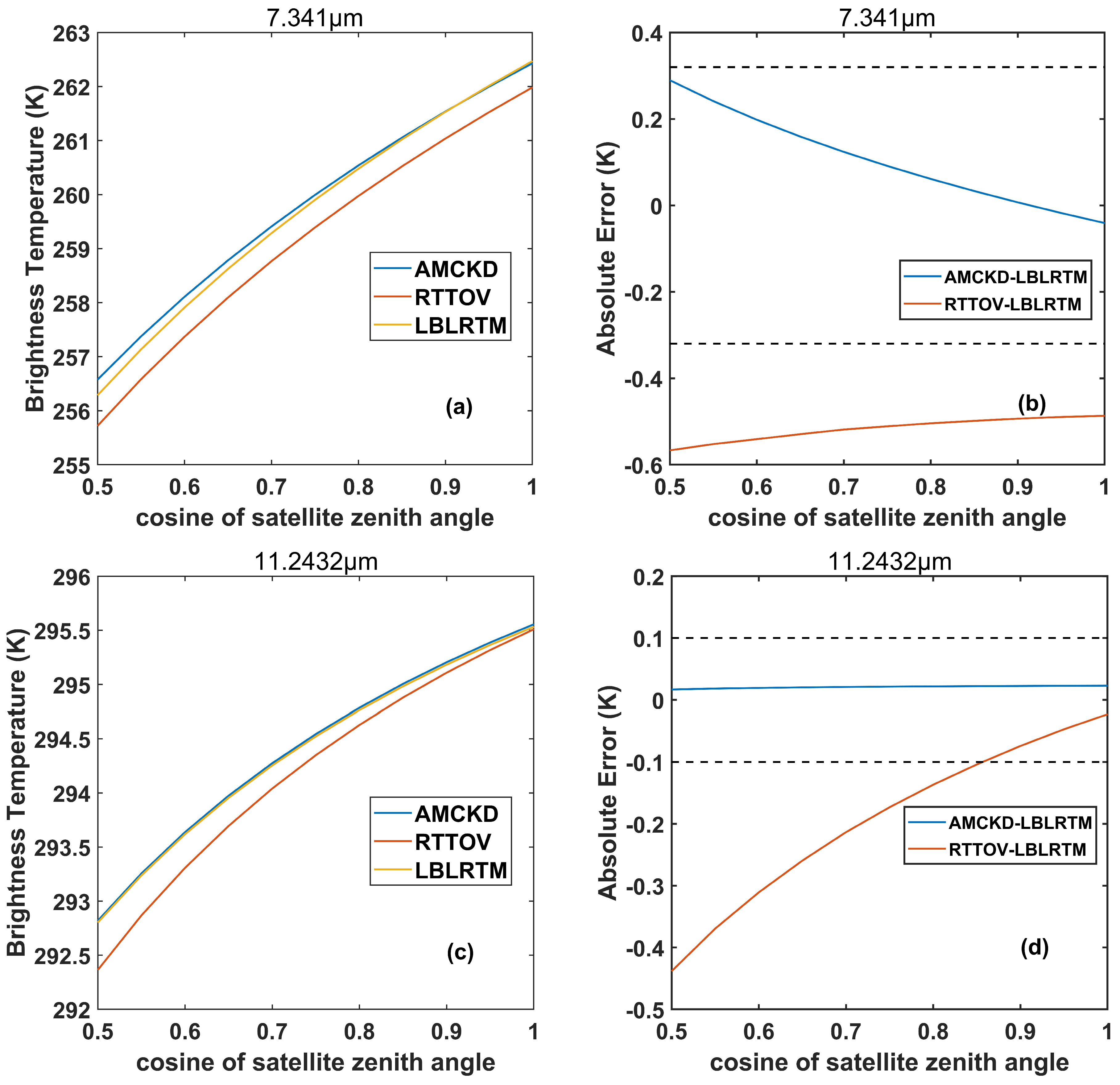
3.1. Himawari-8 AHI Channels
3.2. Fengyun-3D MERSI Channels
3.3. Computational Time
4. Summary
Author Contributions
Funding
Acknowledgments
Conflicts of Interest
References
- Efremenko, D.; Doicu, A.; Loyola, D.; Trautman, T. Optical property dimensionality reduction techniques for accelerated radiative transfer performance: Application to remote sensing total ozone retrievals. J. Quant. Spectrosc. Radiat. Transf. 2014, 133, 128–135. [Google Scholar] [CrossRef]
- Hönninger, G.; von Friedeburg, C.; Platt, U. Multi axis differential optical absorption spectroscopy (MAX-DOAS). Atmos. Chem. Phys. 2004, 4, 231–254. [Google Scholar]
- Chan, K.L.; Hartl, A.; Lam, Y.F.; Xie, P.H.; Liu, W.Q.; Cheung, H.M.; Lampel, J.; Pöhler, D.; Li, A.; Xu, J.; et al. Observations of tropospheric NO2 using ground based MAX-DOAS and OMI measurements during the Shanghai World Expo 2010. Atmos. Environ. 2015, 119, 45–58. [Google Scholar] [CrossRef]
- Chan, K.L.; Wiegner, M.; Wenig, M.; Pöhler, D. Observations of tropospheric aerosols and NO2 in Hong Kong over 5 years using ground based MAX-DOAS. Sci. Total. Environ. 2018, 619–620, 1545–1556. [Google Scholar] [CrossRef] [PubMed]
- Lacis, A.A.; Oinas, V. A description of the correlated k-distribution method for modeling nongray gaseous absorption, thermal emission, and multiple-scattering in vertically inhomogeneous atmospheres. J. Geophys. Res. 1991, 96, 9027–9063. [Google Scholar] [CrossRef]
- Goody, R.M.; West, R.; Chen, L.; Crisp, D. The correlated-k method for radiation calculations in nonhomogeneous atmospheres. J. Quant. Spectrosc. Radiat. Transf. 1989, 42, 539–550. [Google Scholar] [CrossRef]
- Fu, Q.; Liou, K.N. On the correlated k-distribution method for radiative transfer in nonhomogeneous atmospheres. J. Atmos. Sci. 1992, 49, 2139–2156. [Google Scholar] [CrossRef]
- Shi, G. Effect of atmospheric overlapping bands and their treatment on the calculation of thermal radiation. Chin. Adv. Atmos. Sci. 1984, 1, 246–255. [Google Scholar]
- Li, J.; Barker, H.W. A radiation algorithm with correlated-k distribution. Part I: Local thermal equilibrium. J. Atmos. Sci. 2005, 62, 286–309. [Google Scholar] [CrossRef]
- von Salzen, K.; Scinocca, J.F.; McFarlane, N.A.; Li, J.; Cole, J.N.; Plummer, D.; Verseghy, D.; Reader, M.C.; Ma, X.; Lazare, M.; et al. The Canadian fourth generation atmospheric global climate model (CanAM4). Part I: Representation of physical processes. Atmos. Ocean 2013, 51, 104–125. [Google Scholar] [CrossRef]
- Chylek, P.; Li, J.; Dubey, M.K.; Wang, Q.; Lesins, G. Observed and model simulated 20th century Arctic temperature variability: Canadian earth system model CanESM2. Atmos. Chem. Phys. Discuss. 2011, 11, 22893–22907. [Google Scholar] [CrossRef]
- Lyapustin, A.I. Interpolation and profile correction (IPC) method for shortwave radiative transfer in spectral intervals of gaseous absorption. J. Atmos. Sci. 2003, 60, 865–871. [Google Scholar] [CrossRef]
- Strow, L.L.; Motteler, H.E.; Benson, R.G.; Hannon, S.E.; De Souza-Machado, S. Fast computation of monochromatic infrared atmospheric transmittances using compressed look-up tables. J. Quant. Spectrosc. Radiat. Trans. 1998, 59, 481–493. [Google Scholar] [CrossRef]
- Strow, L.L.; Hannon, S.E. An overview of the AIRS radiative transfer model. IEEE Trans. Geosci. Remote Sens. 2003, 41, 303–313. [Google Scholar] [CrossRef]
- Amato, U.; Masiello, G.; Serio, C.; Viggiano, M. The σ-IASI code for the calculation of infrared atmospheric radiance and its derivatives. Environ. Model. Softw. 2002, 17, 651–667. [Google Scholar] [CrossRef]
- Matricardi, M.; Chevallier, M. An improved general fast radiative transfer model for the assimilation of radiance observations. Q. J. R. Meteorol. Soc. 2004, 130, 153–173. [Google Scholar] [CrossRef]
- Goody, R.M.; Yung, Y.L. Atmospheric Radiation Theoretical Basis, 2nd ed.; Oxford University Press: New York, NY, USA, 1989; p. 519. [Google Scholar]
- Edwards, D.P.; Francis, G.L. Improvements to the correlated-k radiative transfer method: Application to satellite infrared sounding. J. Geophys. Res. 2000, 105, 18135–18156. [Google Scholar] [CrossRef]
- Ding, S.; Yang, P.; Baum, B.A.; Heidinger, A.; Greenwald, T. Development of a GOES-R Advanced Baseline Imager Solar Channel Radiance Simulator for Ice Clouds. J. Appl. Meteor. Climatol. 2012, 52, 872–888. [Google Scholar] [CrossRef]
- Liu, C.; Yang, P.; Nasiri, S.L.; Platnick, S.; Meyer, K.G.; Wang, C.; Ding, S. A fast Visible Infrared Imaging Radiometer Suite simulator for cloudy atmospheres. J. Geophys. Res. 2014, 120, 240–255. [Google Scholar] [CrossRef]
- Wan, Z. New refinements and validation of the MODIS Land-Surface Temperature/Emissivity products. Remote. Sens. Environ. 2008, 112, 59–74. [Google Scholar] [CrossRef]
- Clough, S.A.; Shephard, M.W.; Mlawer, E.J.; Delamere, J.S.; Iacono, M.J.; Cady-Pereira, K.; Boukabara, S.; Brown, P.D. Atmospheric radiative transfer modeling: A summary of the AER codes, Short Communication. J. Quant. Spectrosc. Radiat. Transf. 2005, 91, 233–244. [Google Scholar] [CrossRef]
- Clough, S.A.; Iacono, M.J.; Moncet, J.L. Line-by-line calculation of atmospheric fluxes and cooling rates: Application to water vapor. J. Geophys. Res. 1992, 97, 15761–15785. [Google Scholar] [CrossRef]
- Rothman, L.S.; Gordon, I.E.; Babikov, Y.; Barbe, A.; Benner, D.C.; Bernath, P.F.; Birk, M.; Bizzocchi, L.; Boudon, V.; Brown, L.R.; et al. The HITRAN2012 molecular spectroscopic database. J. Quant. Spectrosc. Radiat. Transf. 2013, 1330, 4–50. [Google Scholar] [CrossRef]
- Mlawer, E.J.; Payne, V.H.; Moncet, J.L.; Delamere, J.S.; Alvarado, M.J.; Tobin, D.C. Development and recent evaluation of the MT_CKD model of continuum absorption. Philos. Trans. R. Soc. A 2012, 370, 1–37. [Google Scholar] [CrossRef]
- Delamere, J.S.; Clough, S.A.; Payne, V.H.; Mlawer, E.J.; Turner, D.D.; Gamache, R.R. A far-infrared radiative closure study in the Arctic: Application to water vapor. J. Geophys. Res. 2010, 115, D17106. [Google Scholar] [CrossRef]
- Payne, V.H.; Mlawer, E.J.; Cady-Pereira, K.E.; Moncet, J.L. Water vapor continuum absorption in the microwave. IEEE Trans. Geosci. Remote Sens. 2011, 49, 2194–2208. [Google Scholar] [CrossRef]
- Dee, D.P.; Ippala, S.M. The ERA-Interim reanalysis: Configuration and performance of the data assimilation system. Quart. J. R. Meteorol. Soc. 2011, 137, 553–597. [Google Scholar] [CrossRef]
- Simmons, A.J.; Poli, P.; Dee, D.P.; Berrisford, P.; Hersbach, H.; Kobayashi, S.; Peubey, C. Estimating low-frequency variability and trends in atmospheric temperature using ERA-Interim. Quart. J. R. Meteorol. Soc. 2014, 140, 329–353. [Google Scholar] [CrossRef]
- Simmons, A.J.; Willett, K.M.; Jones, P.D.; Thorne, P.W.; Dee, D.P. Low-frequency variations in surface atmospheric humidity, temperature and precipitation: Inferences from reanalyses and monthly gridded observational datasets. J. Geophys. Res. 2010, 115, D01110. [Google Scholar] [CrossRef]
- McClatchey, R.A.; Fenn, R.W.; Selby, J.A.; Volz, F.E.; Garing, J.S. Optical Properties of the Atmosphere, 3rd ed.; Optical Physics Laboratory, Air Force Cambridge Research Laboratories: Bedford, MA, USA, 1972; pp. 1–8. [Google Scholar]
- Zou, X.; Zhuge, X.; Weng, F. Characterization of Bias of Advanced Himawari Imager Infrared Observations from NWP Background Simulations Using CRTM and RTTOV. J. Atmos. Ocean. Tech. 2016, 33, 2553–2567. [Google Scholar] [CrossRef]







| Center Wavelength (NEDT @ ST) | MLS | SAW | TRO | |
|---|---|---|---|---|
| 7.341 μm (0.32 K @ 240 K) | LBLRTM | 258.17 | 244.44 | 259.32 |
| AMCKD | 257.73 (−0.44) | 244.59 (0.15) | 259.76 (0.44) | |
| RTTOV | 257.57 (−0.60) | 244.29 (−0.15) | 258.81 (−0.51) | |
| 8.5905 μm (0.1 K @ 300 K) | LBLRTM | 288.61 | 255.82 | 292.37 |
| AMCKD | 288.94 (0.33) | 255.87 (0.05) | 292.58 (0.21) | |
| RTTOV | 288.30 (−0.31) | 255.42 (−0.40) | 292.16 (−0.21) | |
| 9.6347 μm (0.1 K @ 300 K) | LBLRTM | 259.85 | 231.09 | 269.56 |
| AMCKD | 259.61 (−0.24) | 230.90 (−0.19) | 269.21 (−0.25) | |
| RTTOV | 259.57 (−0.28) | 230.69 (−0.40) | 268.97 (−0.59) | |
| 10.4029 μm (0.1 K @ 300 K) | LBLRTM | 291.35 | 256.95 | 295.21 |
| AMCKD | 291.45 (0.10) | 256.96 (0.01) | 295.30 (0.09) | |
| RTTOV | 290.99 (−0.46) | 256.69 (−0.26) | 294.91 (−0.30) | |
| 11.2432 μm (0.1 K @ 300 K) | LBLRTM | 290.91 | 256.79 | 294.27 |
| AMCKD | 290.91 (−0.00) | 256.79 (−0.00) | 294.29 (0.02) | |
| RTTOV | 290.71 (−0.20) | 256.76 (−0.03) | 294.06 (−0.21) | |
| 12.3828 μm (0.1 K @ 300 K) | LBLRTM | 287.85 | 256.16 | 290.45 |
| AMCKD | 287.80 (−0.05) | 256.18 (0.02) | 290.40 (−0.05) | |
| RTTOV | 287.90 (0.05) | 256.37 (0.21) | 290.45 (0.00) | |
| 13.2844 μm (0.3 K @ 300 K) | LBLRTM | 272.89 | 248.29 | 274.96 |
| AMCKD | 273.08 (0.19) | 248.30 (0.01) | 275.03 (0.07) | |
| RTTOV | 272.65 (−0.24) | 248.29 (0.00) | 274.64 (−0.32) | |
| LBLRTM | AMCKD | RTTOV | |
|---|---|---|---|
| Runtime | 1723.186 | 1.182 | 1 |
© 2019 by the authors. Licensee MDPI, Basel, Switzerland. This article is an open access article distributed under the terms and conditions of the Creative Commons Attribution (CC BY) license (http://creativecommons.org/licenses/by/4.0/).
Share and Cite
Zhang, F.; Zhu, M.; Li, J.; Li, W.; Di, D.; Shi, Y.-N.; Wu, K. Alternate Mapping Correlated k-Distribution Method for Infrared Radiative Transfer Forward Simulation. Remote Sens. 2019, 11, 994. https://doi.org/10.3390/rs11090994
Zhang F, Zhu M, Li J, Li W, Di D, Shi Y-N, Wu K. Alternate Mapping Correlated k-Distribution Method for Infrared Radiative Transfer Forward Simulation. Remote Sensing. 2019; 11(9):994. https://doi.org/10.3390/rs11090994
Chicago/Turabian StyleZhang, Feng, Mingwei Zhu, Jiangnan Li, Wenwen Li, Di Di, Yi-Ning Shi, and Kun Wu. 2019. "Alternate Mapping Correlated k-Distribution Method for Infrared Radiative Transfer Forward Simulation" Remote Sensing 11, no. 9: 994. https://doi.org/10.3390/rs11090994
APA StyleZhang, F., Zhu, M., Li, J., Li, W., Di, D., Shi, Y.-N., & Wu, K. (2019). Alternate Mapping Correlated k-Distribution Method for Infrared Radiative Transfer Forward Simulation. Remote Sensing, 11(9), 994. https://doi.org/10.3390/rs11090994

