Urbanization and Its Impacts on Land Surface Temperature in Colombo Metropolitan Area, Sri Lanka, from 1988 to 2016
Abstract
1. Introduction
2. Study Area and Dataset
3. Methods
3.1. Urban Land Cover Classification
3.2. Land Surface Temperature Estimation
3.2.1. Effective at-Sensor Brightness Temperature
3.2.2. Land Surface Emissivity Calculation
3.2.3. Land Surface Temperature Estimation
3.3. Impact of Urbanization on Land Surface Temperature
3.3.1. Multi-Buffer Ring Method
3.3.2. Gravity Model
4. Results
4.1. Urban Land Cover Classification
4.2. Land Surface Temperature Calculation
4.3. Impact of Urbanization on Land Surface Temperature
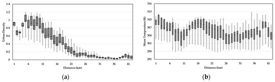
4.3.1. Multi-Buffer Ring Method
4.3.2. Gravity Model
4.3.3. Comparison of the Multi-Buffer Ring and Gravity Model
5. Discussion
5.1. Comparison between Colombo and Other South Asia Cities
5.2. Impacts of the Loss of Vegetation Due to Urbanization
5.3. Limitations of the Research
6. Conclusions
Author Contributions
Funding
Acknowledgments
Conflicts of Interest
References
- Spence, M.; Annez, P.; Buckley, R. Urbanization and Growth; World Bank: Washington, DC, USA, 2009. [Google Scholar]
- UN-Habitat. Un Habitat for a Better Urban Future. Available online: https://unhabitat.Org/urban-themes/climate-change/ (accessed on 20 April 2019).
- Oke, T.R. Boundary Layer Climates; Taylor & Francis Group: London, UK, 1987. [Google Scholar]
- Benenson, W.; Harris, J.W.; Stöcker, H.; Lutz, H. Handbook of Physics; Springer: New York, NY, USA, 2002. [Google Scholar]
- Carleton, T.A.; Hsiang, S.M. Social and economic impacts of climate. Science 2016, 353. [Google Scholar] [CrossRef]
- Fu, P.; Weng, Q.H. A time series analysis of urbanization induced land. Use and land cover change and its impact on land surface temperature with landsat imagery. Remote Sens. Environ. 2016, 175, 205–214. [Google Scholar] [CrossRef]
- Hoan, N.T.; Liou, Y.A.; Nguyen, K.A.; Sharma, R.C.; Tran, D.P.; Liou, C.L.; Cham, D.D. Assessing the effects of land-use types in surface urban heat islands for developing comfortable living in hanoi city. Remote Sens. 2018, 10, 1965. [Google Scholar] [CrossRef]
- Sharma, R.; Joshi, P.K. Monitoring urban landscape dynamics over Delhi (India) using remote sensing (1998–2011) inputs. J. Indian Soc. Remote Sens. 2013, 41, 641–650. [Google Scholar] [CrossRef]
- Ahmed, B.; Kamruzzaman, M.; Zhu, X.; Rahman, M.S.; Choi, K. Simulating land cover changes and their impacts on land surface temperature in Dhaka, Bangladesh. Remote Sens. 2013, 5, 5969–5998. [Google Scholar] [CrossRef]
- Rahman, A.; Kumar, S.; Fazal, S.; Siddiqui, M.A. Assessment of land use/land cover change in the north-west district of delhi using remote sensing and gis techniques. J. Indian Soc. Remote Sens. 2012, 40, 689–697. [Google Scholar] [CrossRef]
- Zhang, H.S.; Wang, T.; Zhang, Y.H.; Dai, Y.R.; Jia, J.J.; Yu, C.; Li, G.; Lin, Y.Y.; Lin, H.; Cao, Y. Quantifying short-term urban land cover change with time series landsat data: A comparison of four different cities. Sensors 2018, 18, 4319. [Google Scholar] [CrossRef]
- Keeratikasikorn, C.; Bonafoni, S. Urban heat island analysis over the land use zoning plan of bangkok by means of landsat 8 imagery. Remote Sens. 2018, 10, 440. [Google Scholar] [CrossRef]
- Sultana, S.; Satyanarayana, A.N.V. Urban heat island intensity during winter over metropolitan cities of india using remote-sensing techniques: Impact of urbanization. Int. J. Remote Sens. 2018, 39, 6692–6730. [Google Scholar] [CrossRef]
- Killian, J. Magnet-Cities. Available online: https://home.Kpmg.Com/uk/en/home/insights/2014/07/magnet-cities.Html (accessed on 14 July 2014).
- Rahman, M.T. Detection of land use/land cover changes and urban sprawl in al-khobar, Saudi Arabia: An analysis of multi-temporal remote sensing data. Int. J. Geo Inf. 2016, 5, 15. [Google Scholar] [CrossRef]
- Sun, H.; Forsythe, W.; Waters, N. Modeling urban land use change and urban sprawl: Calgary, Alberta, Canada. Netw. Spat. Econ. 2007, 7, 353–376. [Google Scholar] [CrossRef]
- Survey Department. Area of Sri Lanka by Province and District; Department of Census and Statistics: Battaramulla, Sri Lanka, 2011.
- Young, N.E.; Anderson, R.S.; Chignell, S.M.; Vorster, A.G.; Lawrence, R.; Evangelista, P.H. A survival guide to landsat preprocessing. Ecology 2017, 98, 920–932. [Google Scholar] [CrossRef]
- Amiri, R.; Weng, Q.H.; Alimohammadi, A.; Alavipanah, S.K. Spatial-temporal dynamics of land surface temperature in relation to fractional vegetation cover and land use/cover in the Tabriz urban area, Iran. Remote Sens. Environ. 2009, 113, 2606–2617. [Google Scholar] [CrossRef]
- Ibrahim, G.R.F. Urban land use land cover changes and their effect on land surface temperature: Case study using dohuk city in the Kurdistan region of Iraq. Climate 2017, 5, 13. [Google Scholar] [CrossRef]
- Meng, F.; Liu, M. Remote-sensing image-based analysis of the patterns of urban heat islands in rapidly urbanizing Jinan, China. Int. J. Remote Sens. 2013, 34, 8838–8853. [Google Scholar] [CrossRef]
- Congalton, R.G.; Green, K. Assessing the Accuracy of Remotely Sensed Data: Principles and Practices; CRC Press/Taylor & Francis: Boca Raton, FL, USA, 2009. [Google Scholar]
- Pal, M. Ensemble of support vector machines for land cover classification. Int. J. Remote Sens. 2008, 29, 3043–3049. [Google Scholar] [CrossRef]
- Pal, M.; Mather, P.M. Support vector machines for classification in remote sensing. Int. J. Remote Sens. 2005, 26, 1007–1011. [Google Scholar] [CrossRef]
- Xu, R.; Zhang, H.S.; Lin, H. Urban impervious surfaces estimation from optical and SAR imagery: A comprehensive comparison. IEEE J. Sel. Top. Appl. Earth Obs. Remote Sens. 2017, 10, 4010–4021. [Google Scholar] [CrossRef]
- Zhang, H.; Li, J.; Wang, T.; Lin, H.; Zheng, Z.; Li, Y.; Lu, Y. A manifold learning approach to urban land cover classification with optical and radar data. Landsc. Urban Plan. 2018, 172, 11–24. [Google Scholar] [CrossRef]
- Zhang, H.; Lin, H.; Wang, Y. A new scheme for urban impervious surface classification from SAR images. ISPRS J. Photogramm. Remote Sens. 2018, 139, 103–118. [Google Scholar] [CrossRef]
- Zhang, H.S.; Zhang, Y.Z.; Lin, H. A comparison study of impervious surfaces estimation using optical and SAR remote sensing images. Int. J. Appl. Earth Obs. 2012, 18, 148–156. [Google Scholar] [CrossRef]
- Zhang, Y.Z.; Zhang, H.S.; Lin, H. Improving the impervious surface estimation with combined use of optical and SAR remote sensing images. Remote Sens. Environ. 2014, 141, 155–167. [Google Scholar] [CrossRef]
- Breiman, L. Random forests. Mach. Learn. 2001, 45, 5–32. [Google Scholar] [CrossRef]
- Stumpf, A.; Kerle, N. Object-oriented mapping of landslides using random forests. Remote Sens. Environ. 2011, 115, 2564–2577. [Google Scholar] [CrossRef]
- Gislason, P.O.; Benediktsson, J.A.; Sveinsson, J.R. Random forests for land cover classification. Pattern Recogn. Lett. 2006, 27, 294–300. [Google Scholar] [CrossRef]
- Qin, Z.; Karnieli, A.; Berliner, P. A mono-window algorithm for retrieving land surface temperature from landsat tm data and its application to the Israel-Egypt border region. Int. J. Remote Sens. 2001, 22, 3719–3746. [Google Scholar] [CrossRef]
- Sobrino, J.A.; Jimenez-Munoz, J.C.; Paolini, L. Land surface temperature retrieval from landsat tm 5. Remote Sens. Environ. 2004, 90, 434–440. [Google Scholar] [CrossRef]
- Jimenez-Munoz, J.C.; Sobrino, J.A. A generalized single-channel method for retrieving land surface temperature from remote sensing data. JGR Atmos. 2003, 108. [Google Scholar] [CrossRef]
- Stathopoulou, M.; Cartalis, C. Daytime urban heat islands from landsat etm+ and corine land cover data: An application to major cities in Greece. Sol. Energy 2007, 81, 358–368. [Google Scholar] [CrossRef]
- Weng, Q.H. Thermal infrared remote sensing for urban climate and environmental studies: Methods, applications, and trends. ISPRS J. Photogramm. Remote Sens. 2009, 64, 335–344. [Google Scholar] [CrossRef]
- Weng, Q.H.; Lu, D.S.; Schubring, J. Estimation of land surface temperature-vegetation abundance relationship for urban heat island studies. Remote Sens. Environ. 2004, 89, 467–483. [Google Scholar] [CrossRef]
- Chander, G.; Markham, B.L.; Helder, D.L. Summary of current radiometric calibration coefficients for landsat mss, tm, etm+, and eo-1 ali sensors. Remote Sens. Environ. 2009, 113, 893–903. [Google Scholar] [CrossRef]
- Mishra, N.; Haque, M.O.; Leigh, L.; Aaron, D.; Helder, D.; Markham, B. Radiometric cross calibration of landsat 8 operational land imager (oli) and landsat 7 enhanced thematic mapper plus (etm plus). Remote Sens. 2014, 6, 12619–12638. [Google Scholar] [CrossRef]
- Sobrino, J.A.; Raissouni, N. Toward remote sensing methods for land cover dynamic monitoring: Application to morocco. Int. J. Remote Sens. 2000, 21, 353–366. [Google Scholar] [CrossRef]
- Tobler, W.R. A computer movie simulating urban growth in the Detroit region. Econ. Geogr. 1970, 46, 234. [Google Scholar] [CrossRef]
- Carrothers, G.A. An historical bedew of the gravity and potential concepts of human interaction. J. Am. Inst. Plan. 1956, 22, 94–102. [Google Scholar] [CrossRef]
- Zhang, H.S.; Xu, R. Exploring the optimal integration levels between sar and optical data for better urban land cover mapping in the pearl river delta. Int. J. Appl. Earth Obs. 2018, 64, 87–95. [Google Scholar] [CrossRef]
- Subasinghe, S.; Estoque, R.C.; Murayama, Y. Spatiotemporal analysis of urban growth using GIS and remote sensing: A case study of the Colombo metropolitan area, Sri Lanka. ISPRS Int. J. Geo Inf. 2016, 5, 197. [Google Scholar] [CrossRef]
- Estoque, R.C.; Murayama, Y. Intensity and spatial pattern of urban land changes in the megacities of Southeast Asia. Land Use Policy 2015, 48, 213–222. [Google Scholar] [CrossRef]
- Tran, D.X.; Pla, F.; Latorre-Carmona, P.; Myint, S.W.; Gaetano, M.; Kieu, H.V. Characterizing the relationship between land use land cover change and land surface temperature. ISPRS J. Photogramm. Remote Sens. 2017, 124, 119–132. [Google Scholar] [CrossRef]
- Ding, H.Y.; Shi, W.Z. Land-use/land-cover change and its influence on surface temperature: A case study in Beijing city. Int. J. Remote Sens. 2013, 34, 5503–5517. [Google Scholar] [CrossRef]
- Gong, A.D.; Chen, Y.H.; Li, J.; Gong, H.L.; Li, X.J. Spatial distribution patterns of the urban heat island based on remote sensing images: A case study in Beijing, China. In Proceedings of the 2006 IEEE International Geoscience Remote Sensing Symposium, Denver, CO, USA, 31 July–4 August 2006. [Google Scholar] [CrossRef]
- Youneszadeh, S.; Amiri, N.; Pilesjo, P. The effect of land use change on land surface temperature in the Netherlands. In Proceedings of the International Conference on Sensors & Models in Remote Sensing & Photogrammetry, Kish Island, Iran, 23–25 November 2015; Volume 41, pp. 745–748. [Google Scholar]
- Dietzel, C.; Oguz, H.; Hemphill, J.J.; Clarke, K.C.; Gazulis, N. Diffusion and coalescence of the Houston metropolitan area: Evidence supporting a new urban theory. Environ. Plan. B 2005, 32, 231–246. [Google Scholar] [CrossRef]
- Zhou, W.Q.; Qian, Y.G.; Li, X.M.; Li, W.F.; Han, L.J. Relationships between land cover and the surface urban heat island: Seasonal variability and effects of spatial and thematic resolution of land cover data on predicting land surface temperatures. Landsc. Ecol. 2014, 29, 153–167. [Google Scholar] [CrossRef]
- Kamini, J.; Jayanthi, S.C.; Raghavswamy, V. Spatio-temporal analysis of land use in urban mumbai-using multi-sensor satellite data and GIS techniques. J. Indian Soc. Remote Sens. 2006, 34, 385–396. [Google Scholar] [CrossRef]
- Estoque, R.C.; Murayama, Y.; Myint, S.W. Effects of landscape composition and pattern on land surface temperature: An urban heat island study in the megacities of Southeast Asia. Sci. Total Environ. 2017, 577, 349–359. [Google Scholar] [CrossRef] [PubMed]










| ID | Sensor Type | Acquisition Date | Path/Row | Spatial Resolution |
|---|---|---|---|---|
| LT51410551988350BKT01 | TM | 1988-12-15 | 141/55 | 30 m |
| LT51410551992073BKT01 | TM | 1992-03-13 | 141/55 | 30 m |
| LT51410551994094BKT01 | TM | 1994-04-04 | 141/55 | 30 m |
| LT51410551997038BKT01 | TM | 1997-02-07 | 141/55 | 30 m |
| LE71410552001041SGS00 | ETM | 2001-02-10 | 141/55 | 30 m |
| LT51410552003343BKT00 | TM | 2003-12-09 | 141/55 | 30 m |
| LT51410552008309BKT00 | TM | 2008-11-04 | 141/55 | 30 m |
| LT51410552011317BKT00 | TM | 2011-11-13 | 141/55 | 30 m |
| LC81410552013242LGN00 | OLI_TIRS | 2013-08-30 | 141/55 | 30 m |
| LC81410552016027LGN00 | OLI_TIRS | 2016-01-27 | 141/55 | 30 m |
| SVM | RF | |||
|---|---|---|---|---|
| Year | Overall Accuracy | Kappa Coefficient | Overall Accuracy | Kappa Coefficient |
| 1988 | 87.04% | 0.7751 | 86.12% | 0.7643 |
| 1992 | 93.96% | 0.901 | 93.81% | 0.898 |
| 1997 | 85.13% | 0.7306 | 85.47% | 0.7259 |
| 2001 | 82.91% | 0.7515 | 80.30% | 0.7159 |
| 2003 | 93.79% | 0.9036 | 93.28% | 0.8958 |
| 2007 | 94.51% | 0.9157 | 93.72% | 0.9036 |
| 2011 | 96.32% | 0.9432 | 96.21% | 0.9415 |
| 2013 | 84.74% | 0.7961 | 92.28% | 0.8581 |
| 2016 | 97.25% | 0.9467 | 97.21% | 0.9455 |
| 1988 | 1992 | 1997 | 2001 | 2003 | 2008 | 2011 | 2013 | 2016 | |
|---|---|---|---|---|---|---|---|---|---|
| Water | 292.1813 | 292.9454 | 293.154 | 294.3133 | 296.1483 | 296.468 | 296.4978 | 296.766 | 297.4211 |
| Vegetation | 295.3342 | 295.9467 | 297.8987 | 298.4418 | 300.4154 | 300.6984 | 300.9962 | 301.107 | 301.2562 |
| Bare Land | 295.6886 | 296.8361 | 299.268 | 299.4706 | 301.1288 | 301.3109 | 302.2325 | 302.5835 | 304.3118 |
| Urban | 295.3342 | 298.3201 | 300.2554 | 300.8821 | 302.1098 | 302.4714 | 303.4135 | 304.2593 | 304.27 |
| Year | 1988 | 1992 | 1994 | 1997 | 2001 | 2003 | 2008 | 2011 | 2013 | 2016 |
|---|---|---|---|---|---|---|---|---|---|---|
| Multi-buffer Ring | 0.4688 | 0.5307 | 0.7414 | 0.7960 | 0.7961 | 0.8156 | 0.8796 | 0.9258 | 0.9463 | 0.9496 |
| Gravity Model | 0.2254 | 0.2941 | 0.3654 | 0.4089 | 0.4698 | 0.4790 | 0.4800 | 0.4931 | 0.5330 | 0.5873 |
© 2019 by the authors. Licensee MDPI, Basel, Switzerland. This article is an open access article distributed under the terms and conditions of the Creative Commons Attribution (CC BY) license (http://creativecommons.org/licenses/by/4.0/).
Share and Cite
Fonseka, H.P.U.; Zhang, H.; Sun, Y.; Su, H.; Lin, H.; Lin, Y. Urbanization and Its Impacts on Land Surface Temperature in Colombo Metropolitan Area, Sri Lanka, from 1988 to 2016. Remote Sens. 2019, 11, 957. https://doi.org/10.3390/rs11080957
Fonseka HPU, Zhang H, Sun Y, Su H, Lin H, Lin Y. Urbanization and Its Impacts on Land Surface Temperature in Colombo Metropolitan Area, Sri Lanka, from 1988 to 2016. Remote Sensing. 2019; 11(8):957. https://doi.org/10.3390/rs11080957
Chicago/Turabian StyleFonseka, H.P.U., Hongsheng Zhang, Ying Sun, Hua Su, Hui Lin, and Yinyi Lin. 2019. "Urbanization and Its Impacts on Land Surface Temperature in Colombo Metropolitan Area, Sri Lanka, from 1988 to 2016" Remote Sensing 11, no. 8: 957. https://doi.org/10.3390/rs11080957
APA StyleFonseka, H. P. U., Zhang, H., Sun, Y., Su, H., Lin, H., & Lin, Y. (2019). Urbanization and Its Impacts on Land Surface Temperature in Colombo Metropolitan Area, Sri Lanka, from 1988 to 2016. Remote Sensing, 11(8), 957. https://doi.org/10.3390/rs11080957

