Spatial Pattern of Forest Carbon Storage in the Vertical and Horizontal Directions Based on HJ-CCD Remote Sensing Imagery
Abstract
1. Introduction
2. Materials and Methods
2.1. Study Area
2.2. Data Preparation and Processing
2.2.1. Data Source
2.2.2. Data Processing
2.2.3. Field Data
2.3. Calculation Method for Carbon Storage
2.4. Calculation Method for Contribution
2.5. Information Extraction Method for the Types of Forest
2.6. Accuracy Verification
3. Results
3.1. Accuracy Evaluation of the Results
3.2. Forest Distribution Extraction
3.3. Total Carbon Storage and Spatial Pattern
3.4. Contributions of the Different Types of Forests to Total Carbon Storage
3.5. Contributions of the Layers of Forest in the Vertical Direction to the Total Carbon Storage
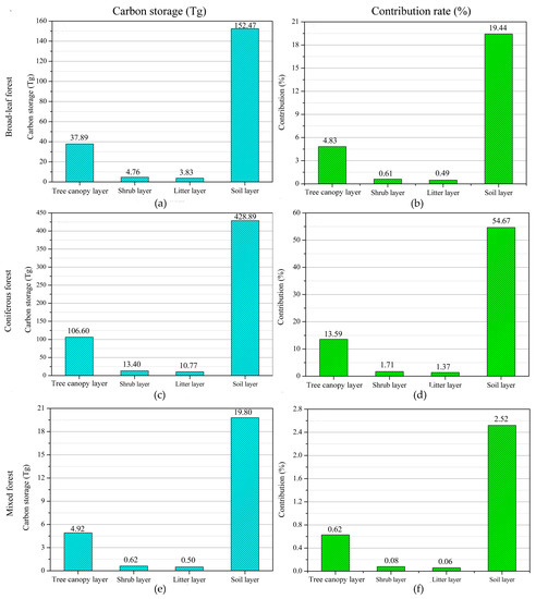
3.6. Contributions of the Layers in Different Types of Forest to the Total Carbon Storage
4. Discussion
5. Conclusions
Supplementary Materials
Funding
Acknowledgments
Conflicts of Interest
References
- Pan, Y.; Chen, J.M.; Birdsey, R.; McCullough, K.; He, L.; Deng, F. Age structure and disturbance legacy of North American forests. Biogeosciences 2011, 8, 715–732. [Google Scholar] [CrossRef]
- Yude, P.; Birdsey, R.A.; Jingyun, F.; Richard, H.; Kauppi, P.E.; Kurz, W.A.; Phillips, O.L.; Anatoly, S.; Lewis, S.L.; Canadell, J.G. A large and persistent carbon sink in the world’s forests. Science 2011, 333, 988–993. [Google Scholar]
- Ogle, K. Hyperactive soil microbes might weaken the terrestrial carbon sink. Nature 2018, 560, 32–33. [Google Scholar] [CrossRef] [PubMed]
- Tollefson, J. Grassland plants show surprising appetite for carbon dioxide. Nature 2018, 19. [Google Scholar] [CrossRef]
- Rawlik, M.; Kasprowicz, M.; Jagodzinski, A.M. Differentiation of herb layer vascular flora in reclaimed areas depends on the species composition of forest stands. Forest Ecol. Manag. 2018, 409, 541–551. [Google Scholar] [CrossRef]
- Loranty, M.M.; Berner, L.T.; Taber, E.D.; Kropp, H.; Natali, S.M.; Alexander, H.D.; Davydov, S.P.; Zimov, N.S. Understory vegetation mediates permafrost active layer dynamics and carbon dioxide fluxes in open-canopy larch forests of northeastern Siberia. PLoS ONE 2018, 13, e0194014. [Google Scholar] [CrossRef]
- Zhang, T.; Niinemets, Ü.; Sheffield, J.; Lichstein, J.W. Shifts in tree functional composition amplify the response of forest biomass to climate. Nature 2018, 556, 99–102. [Google Scholar] [CrossRef]
- Van, G.N.; Shi, Z.; van Groenigen, K.J.; Osenberg, C.W.; Andresen, L.C.; Dukes, J.S.; Hovenden, M.J.; Luo, Y.; Michelsen, A.; Pendall, E. Predicting soil carbon loss with warming. Nature 2018, 554, E4–E5. [Google Scholar]
- Safari, A.; Sohrabi, H.; Powell, S.; Shataee, S. A comparative assessment of multi-temporal Landsat 8 and machine learning algorithms for estimating aboveground carbon stock in coppice oak forests. Int. J. Remote Sens. 2017, 38, 6407–6432. [Google Scholar] [CrossRef]
- Yan, E.; Lin, H.; Wang, G.; Sun, H. Improvement of forest carbon estimation by integration of regression modeling and spectral unmixing of Landsat data. IEEE Geosci. Remote Sens. Lett. 2015, 12, 2003–2007. [Google Scholar]
- Asner, G.P.; Brodrick, P.G.; Philipson, C.; Vaughn, N.R.; Martin, R.E.; Knapp, D.E.; Heckler, J.; Evans, L.J.; Juckes, T.; Goossens, B.; et al. Mapped aboveground carbon stocks to advance forest conservation and recovery in Malaysian Borneo. Biol. Conserv. 2018, 217, 289–310. [Google Scholar] [CrossRef]
- Dai, W.; Fu, W.J.; Jiang, P.K.; Zhao, K.L.; Li, Y.H.; Tao, J.X. Spatial pattern of carbon stocks in forest ecosystems of a typical subtropical region of southeastern China. Forest Ecol. Manag. 2018, 409, 288–297. [Google Scholar] [CrossRef]
- Hu, H.F.; Yang, Y.H.; Fang, J.Y. Toward accurate accounting of ecosystem carbon stock in China’s forests. Sci. Bull. 2016, 61, 1888–1889. [Google Scholar]
- Wang, Y.F.; Liu, L.; Shangguan, Z.P. Dynamics of forest biomass carbon stocks from 1949 to 2008 in Henan Province, east-central China. J. For. Res. 2018, 29, 439–448. [Google Scholar] [CrossRef]
- Liu, Z.D.; Li, B.; Xi, F.; Xiang, W.H.; Tian, D.L.; Yan, W.D.; Lei, P.F. Dynamic characteristics of forest carbon storage and carbon density in the Hunan Province. Acta Ecol. Sin. 2016, 36, 6897–6908. [Google Scholar]
- Song, C.; Zhang, Y.; Mei, Y.; Liu, H.; Zhang, Z.; Zhang, Q.; Zha, T.; Zhang, K.; Huang, C.; Xu, X. Sustainability of forests created by China’s sloping land conversion program: A comparison among three sites in Anhui, Hubei and Shanxi. Forest Policy Econ. 2014, 38, 161–167. [Google Scholar] [CrossRef]
- Vivanco, L.; Rascovan, N.; Austin, A.T. Plant, fungal, bacterial, and nitrogen interactions in the litter layer of a native Patagonian forest. PeerJ 2018, 6, 1–18. [Google Scholar] [CrossRef]
- Liu, Y.L.; Cai, E.X.; Jing, Y.; Gong, J.; Wang, Z.Y. Analyzing the decoupling between rural-to-urban migrants and urban land expansion in Hubei Province, China. Sustainability 2018, 10, 345. [Google Scholar] [CrossRef]
- Wang, X.R.; Pang, H.D.; Zheng, L.Y.; Cui, H.X. Carbon storage and carbon density of forest ecosystems in Hubei Province. J. Cent. South Univ. For. Technol. 2015, 35, 93–98. [Google Scholar]
- Chen, B.Q.; Wu, Z.X.; Wang, J.K.; Dong, J.W.; Guan, L.M.; Chen, J.M.; Yang, K.; Xie, G.S. Spatio-temporal prediction of leaf area index of rubber plantation using HJ-1A/1B CCD images and recurrent neural network. ISPRS J. Photogramm. Remote Sens. 2015, 102, 148–160. [Google Scholar] [CrossRef]
- Pang, H.; Wang, X.; Zhang, J.; Zheng, L.; Cui, H. Characteristics of Carbon storage and carbon density of pinus massoniana natural forests in Hubei Province, China. J. Northeast For. Univ. 2014, 7, 40–43. [Google Scholar]
- Zhang, L.; Wu, B.F.; Li, X.S.; Xing, Q. Classification system of China land cover for carbon budget. Acta Ecol. Sin. 2014, 34, 7158–7166. [Google Scholar]
- Iabchoon, S.; Wongsai, S.; Chankon, K. Mapping urban impervious surface using object-based image analysis with WorldView-3 satellite imagery. J. Appl. Remote Sens. 2017, 11, 046015. [Google Scholar] [CrossRef]
- Lu, M.; Chen, J.; Tang, H.J.; Rao, Y.H.; Yang, P.; Wu, W.B. Land cover change detection by integrating object-based data blending model of Landsat and MODIS. Remote Sens. Environ. 2016, 184, 374–386. [Google Scholar] [CrossRef]
- Blaschke, T.; Hay, G.J.; Kelly, M.; Lang, S.; Hofmann, P.; Addink, E.; Feitosa, R.Q.; Meer, F.V.D.; Werff, H.V.D.; Coillie, F.V. Geographic object-based image analysis—A towards a new paradigm. ISPRS J. Photogramm. Remote Sens. 2014, 87, 180–191. [Google Scholar] [CrossRef]
- Ma, L.; Li, M.; Ma, X.; Cheng, L.; Du, P.; Liu, Y. A review of supervised object-based land-cover image classification. ISPRS J. Photogramm. Remote Sens. 2017, 130, 277–293. [Google Scholar] [CrossRef]
- Zhao, Y.S. Principle and Method of Remote Sensing Application and Analysis; Science Press of China: Beijing, China, 2012; pp. 203–208. [Google Scholar]
- Georganos, S.; Grippa, T.; Vanhuysse, S.; Lennert, M.; Shimoni, M.; Wolff, E. Very high-resolution object-based land use-land cover urban classification using extreme gradient boosting. IEEE Geosci. Remote Sens. Lett. 2017, 15, 607–611. [Google Scholar] [CrossRef]
- Zhang, X.D.; Chen, G.Z.; Wang, W.B.; Wang, Q.; Dai, F. Object-based land-cover supervised classification for very-high-resolution UAV Images using stacked denoising autoencoders. IEEE J. Sel. Top. Appl. Earth Obs. Remote Sens. 2017, 10, 3373–3385. [Google Scholar] [CrossRef]
- Liu, X.Q.; Liang, M.J.; Chen, L.C.; Wang, S.L.; Yang, H.J. Carbon storage, carbon density and spatial distribution of forest ecosystems in hunan province. Chin. J. Ecol. 2017, 36, 2385–2393. [Google Scholar]
- Li, P.; Zhu, J.; Hu, H.; Guo, Z.; Pan, Y.; Birdsey, R.; Fang, J. The relative contributions of forest growth and areal expansion to forest biomass carbon. Biogeosciences 2016, 12, 9587–9612. [Google Scholar] [CrossRef]
- Pan, Y.; Birdsey, R.A.; Phillips, O.L.; Jackson, R.B. The structure, distribution, and biomass of the world’s forests. Ann. Rev. Ecol. Evol. Syst. 2013, 44, 593–622. [Google Scholar] [CrossRef]
- He, N.; Wen, D.; Zhu, J.; Tang, X.; Xu, L.; Zhang, L.; Hu, H.; Huang, M.; Yu, G. Vegetation carbon sequestration in Chinese forests from 2010 to 2050. Glob. Chang. Biol. 2017, 23, 1575–1584. [Google Scholar] [CrossRef]
- Guo, Z.D.; Hu, H.F.; Pan, Y.D.; Birdsey, R.A.; Fang, J.Y. Increasing biomass carbon stocks in trees outside forests in China over the last three decades. Biogeosciences 2014, 11, 4115–4122. [Google Scholar] [CrossRef]
- Zhao, M.; Yue, T.; Na, Z.; Sun, X.; Zhang, X. Combining LPJ-GUESS and HASM to simulate the spatial distribution of forest vegetation carbon stock in China. J. Geogr. Sci. 2014, 24, 249–268. [Google Scholar] [CrossRef]
- Xu, L.; Shi, Y.; Fang, H.; Zhou, G.; Xu, X.; Zhou, Y.; Tao, J.; Ji, B.; Xu, J.; Li, C. Vegetation carbon stocks driven by canopy density and forest age in subtropical forest ecosystems. Sci. Total Environ. 2018, 631, 619–626. [Google Scholar] [CrossRef] [PubMed]
- China, S.B. Hubei Statistical Yearbook for 2010; China Statistics Press: Beijing, China, 2011; pp. 345–476. [Google Scholar]
- Fang, J.; Chen, A.; Peng, C.; Zhao, S.; Ci, L. Changes in forest biomass carbon storage in China between 1949 and 1998. Science 2001, 292, 2320–2322. [Google Scholar] [CrossRef] [PubMed]
- Lu, F.; Hu, H.; Sun, W.; Zhu, J.; Liu, G.; Zhou, W.; Zhang, Q.; Shi, P.; Liu, X.; Wu, X. Effects of national ecological restoration projects on carbon sequestration in China from 2001 to 2010. Proc. Natl. Acad. Sci. USA 2018, 115, 4039–4044. [Google Scholar] [CrossRef] [PubMed]
- Pao, S.L. The Carbon balance of terrestrial ecosystems in China. China Basic Sci. 2010, 458, 1009–1013. [Google Scholar] [CrossRef] [PubMed]
- Qing, H.; Silong, W.; Longchi, C.; Weidong, Z.; Chao, G. Biomass and carbon density of main forest ecosystems in Hubei Province. Chin. J. Ecol. 2012, 31, 1626–1632. [Google Scholar]
- Liu, W.; Lu, F.; Luo, Y.; Bo, W.; Kong, L.; Zhang, L.; Liu, B.; Ouyang, Z.; Wang, X. Human influence on the temporal dynamics and spatial distribution of forest biomass carbon in China. Ecol. Evol. 2017, 7, 6220–6230. [Google Scholar] [CrossRef] [PubMed]
- Yiming, L. Forest carbon storage and development trend in Henan province. Innov. Sci. Technol. 2012, 4, 18–19. [Google Scholar]
- Ye, J.S.; She, G.H. Forest carbon dynamics in Guangdong province. J. Nanjing For. Univ. 2010, 34, 7–12. [Google Scholar]
- Qi, M.A.; Liu, K.; Zhang, H. Carbon Storage by Forest Vegetation and Its Spatial Distribution in Shaanxi. Resour. Sci. 2012, 34, 1781–1789. [Google Scholar]
- Haughian, S.R.; Burton, P.J. Microclimate differences above ground-layer vegetation in lichen-dominated pine forests of north-central British Columbia. Agric. Forest Meteorol. 2018, 249, 100–106. [Google Scholar] [CrossRef]
- Yurong, Z.; Liangzhen, Y.; Shidong, Z. Carbon storage and budget of major Chinese forest types. Acta Phytoecol. Sin. 2000, 24, 518–522. [Google Scholar]
- Jandl, R.; Lindner, M.; Vesterdal, L.; Bauwens, B.; Baritz, R.; Hagedorn, F.; Johnson, D.W.; Minkkinen, K.; Byrne, K.A. How strongly can forest management influence soil carbon sequestration? Geoderma 2007, 137, 253–268. [Google Scholar] [CrossRef]
- Jolivet, C.; Arrouays, D.; Lévèque, J.; Andreux, F.; Chenu, C. Organic carbon dynamics in soil particle-size separates of sandy spodosols when forest is cleared for maize cropping. Eur. J. Soil Sci. 2010, 54, 257–268. [Google Scholar] [CrossRef]
- Guoyi, Z.; Shuguang, L.; Zhian, L.; Deqiang, Z.; Xuli, T.; Chuanyan, Z.; Junhua, Y.; Jiangming, M. Old-growth forests can accumulate carbon in soils. Science 2006, 314, 1417. [Google Scholar]
- Nagy, R.C.; Porder, S.; Brando, P.; Davidson, E.A.; Figueira, A.M.E.S.; Neill, C.; Riskin, S.; Trumbore, S. Soil carbon dynamics in soybean cropland and forests in Mato Grosso, Brazil. J. Geophys. Res. Biogeosci. 2018, 123, 18–31. [Google Scholar] [CrossRef]







| Spectral Band | Spatial Resolution | Spectral Range |
|---|---|---|
| B1: blue | 30 m | 0.43–0.52 μm |
| B2: green | 30 m | 0.52–0.60 μm |
| B3: red | 30 m | 0.63–0.69 μm |
| B4: near-infrared | 30 m | 0.76–0.90 μm |
| Winter Images | Spring Images | Summer Images |
|---|---|---|
| HJ1B-CCD1-5-76-20100101 | HJ1B_CCD1-5-76-20100316 | HJ1B-CCD2-5-76-20100617 |
| HJ1B-CCD1-2-76-20101210 | HJ1B-CCD1-2-76-20100408 | HJ1B-CCD1-2-76-20100803 |
| HJ1A-CCD2-2-80-20100102 | HJ1A-CCD1-454-80-20100317 | HJ1A-CCD2-457-80-20100920 |
| HJ1A-CCD1-2-80-20101208 | HJ1B-CCD2-1-80-20100524 | HJ1B-CCD1-454-80-20100818 |
| HJ1A-CCD2-2-80-20100102 | HJ1A-CCD2-2-80-20100317 | HJ1B-CCD1-2-80-20100803 |
| HJ1B-CCD2-456-80-20101209 | HJ1B-CCD2-2-80-20100317 | HJ1B-CCD2-5-80-20101016 |
| HJ1B-CCD2-457-80-20101217 | HJ1A-CCD1-7-80-20100326 | HJ1A-CCD2-5-77-20100615 |
| HJ1B-CCD2-5-80-20101202 | HJ1B-CCD1-5-76-20100318 | |
| HJ1A-CCD2-6-80-20101208 |
| Forest Types | Tree Canopy Layer | Shrub Layer | Litter Layer | Soil Layer |
|---|---|---|---|---|
| Broadleaf forests | 37.8948 | 4.7637 | 3.8293 | 152.4676 |
| Coniferous forests | 106.5977 | 13.4001 | 10.7718 | 428.8899 |
| Mixed forests | 4.9222 | 0.6188 | 0.4974 | 19.8046 |
| Measured Data Type | Measured Data Type | Sum of Measured Data | ||||
|---|---|---|---|---|---|---|
| 1 | 2 | … | … | n | ||
| 1 | p11 | p21 | … | … | pn1 | p+1 |
| 2 | p12 | p22 | … | … | pn2 | p+2 |
| … | … | … | … | … | … | |
| … | … | … | … | … | … | |
| n | p1n | p2n | … | … | pnn | p+n |
| Sum of measured data | p1+ | p2+ | … | … | pn+ | N |
| Types of Forest | Broadleaf Forests | Coniferous Forests | Mixed Forests | Other Land Cover | Sum of Samples |
|---|---|---|---|---|---|
| Broadleaf forests | 231 | 1 | 14 | 8 | 254 |
| Coniferous forests | 9 | 672 | 26 | 6 | 713 |
| Mixed forests | 2 | 6 | 24 | 1 | 33 |
| Other land cover | 0 | 0 | 1 | 79 | 80 |
| Sum of samples | 242 | 679 | 65 | 94 | 1080 |
| Overall accuracy = 93.14% Kappa coefficient = 0.87 | |||||
| Prefectures | Carbon Storage of Our Study (Tg) | Carbon Storage Based the Field Measurement Data (Tg) | Relative Error (%) |
|---|---|---|---|
| Enshi | 33.44 | 32.61 | −2.48 |
| Yichang | 28.26 | 27.83 | −1.52 |
| Shiyan | 23.05 | 24.06 | 4.38 |
| Xiangfan | 15.94 | 15.29 | −4.08 |
| Huanggang | 9.63 | 9.19 | −4.57 |
| Xiaogan | 2.52 | 2.45 | −2.78 |
© 2019 by the author. Licensee MDPI, Basel, Switzerland. This article is an open access article distributed under the terms and conditions of the Creative Commons Attribution (CC BY) license (http://creativecommons.org/licenses/by/4.0/).
Share and Cite
Luo, K. Spatial Pattern of Forest Carbon Storage in the Vertical and Horizontal Directions Based on HJ-CCD Remote Sensing Imagery. Remote Sens. 2019, 11, 788. https://doi.org/10.3390/rs11070788
Luo K. Spatial Pattern of Forest Carbon Storage in the Vertical and Horizontal Directions Based on HJ-CCD Remote Sensing Imagery. Remote Sensing. 2019; 11(7):788. https://doi.org/10.3390/rs11070788
Chicago/Turabian StyleLuo, Kaisheng. 2019. "Spatial Pattern of Forest Carbon Storage in the Vertical and Horizontal Directions Based on HJ-CCD Remote Sensing Imagery" Remote Sensing 11, no. 7: 788. https://doi.org/10.3390/rs11070788
APA StyleLuo, K. (2019). Spatial Pattern of Forest Carbon Storage in the Vertical and Horizontal Directions Based on HJ-CCD Remote Sensing Imagery. Remote Sensing, 11(7), 788. https://doi.org/10.3390/rs11070788

