Evaluation of Two SMAP Soil Moisture Retrievals Using Modeled- and Ground-Based Measurements
Abstract
1. Introduction
2. Datasets
2.1. SMAP-Enhanced Level 3 Radiometer Soil Moisture Retrievals
2.2. MT-DCA Retrieved Soil Moisture
2.3. ECMWF Modeled Soil Moisture
2.4. ISMN Ground-Based Soil Moisture
2.5. Additional Datasets
3. Methodology
4. Results
4.1. Evaluation on a Global Scale
4.1.1. Validations Based on ECMWF Reanalysis SM
4.1.2. Impact of LAI and Land Cover Types
4.2. Evaluation at the Local Scale
5. Discussions
6. Conclusions
- (i)
- Both SPL3SMP_E and MT-DCA SM retrievals are generally found to be drier than ECMWF modeled SM, while MT-DCA SM was found to be drier than SPL3SMP_E SM by ~0.018 m3/m3 on average on a global scale. However, the different sampling layers considered for ECMWF modeled SM, in situ SM, and for the SMAP SM retrievals, makes it difficult to accurately evaluate the performance of the SMAP retrievals based on bias [52].
- (ii)
- Both SPL3SMP_E and MT-DCA SM retrievals can better capture the seasonal variations of ECMWF SM and in situ measurements. Specifically, the median R values computed on a global scale between SPL3SMP_E and MT-DCA SM against ECMWF SM were 0.69 and 0.67, respectively, while the median correlation of SPL3SMP_E and MT-DCA SM with in situ measurements computed over all ISMN sites were 0.70 and 0.63, respectively.
- (iii)
- The ubRMSD obtained with SPL3SMP_E is always lower than that obtained with MT-DCA. Specifically, the median ubRMSD values computed on a global scale between SPL3SMP_E and MT-DCA SM against ECMWF SM were 0.049 m3/m3 and 0.056 m3/m3, respectively, while the median ubRMSD of SPL3SMP_E and MT-DCA SM with in situ measurements computed over all ISMN sites were 0.058 m3/m3 and 0.070 m3/m3, respectively.
- (iv)
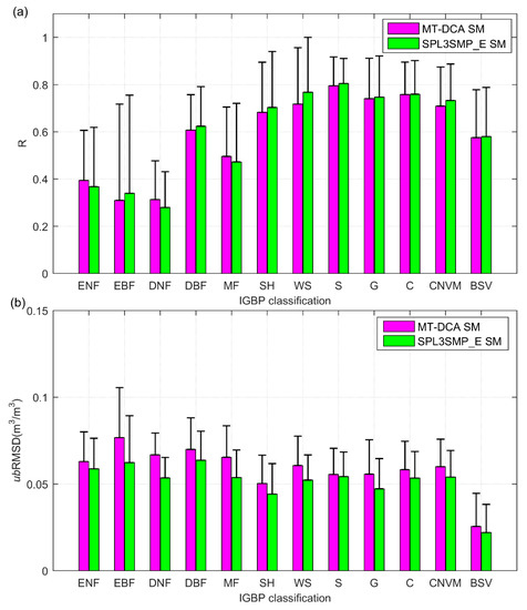
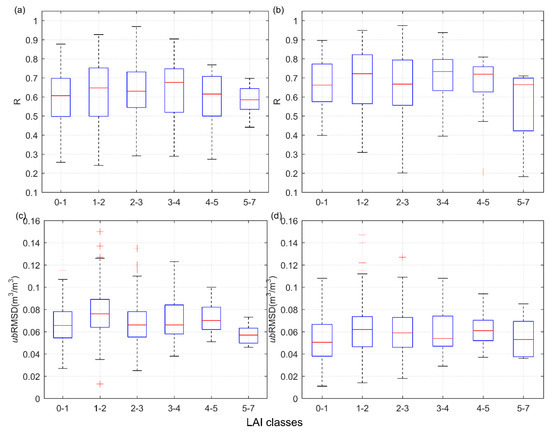
- The R values (ubRMSD) obtained with SPL3SMP_E is always higher (lower) than that obtained with MT-DCA over all LAI categories or IGBP land cover types when compared either to the ECMWF modeled SM or in situ SM measurements.
Author Contributions
Funding
Acknowledgments
Conflicts of Interest
Appendix A
| LAI Classes | R(SD) | ubRMSD(SD) (m3/m3) | ||
|---|---|---|---|---|
| MT-DCA | SPL3SMP_E | MT-DCA | SPL3SMP_E | |
| 0–1 | 0.71(0.162) | 0.72(0.161) | 0.046(0.019) | 0.042(0.019) |
| 1–2 | 0.74(0.213) | 0.76(0.229) | 0.057(0.017) | 0.051(0.016) |
| 2–3 | 0.73(0.203) | 0.74(0.219) | 0.060(0.017) | 0.054(0.016) |
| 3–4 | 0.63(0.231) | 0.67(0.247) | 0.064(0.018) | 0.055(0.016) |
| 4–5 | 0.57(0.216) | 0.61(0.236) | 0.065(0.017) | 0.055(0.015) |
| 5–7 | 0.34(0.392) | 0.36(0.400) | 0.075(0.028) | 0.061(0.026) |
| IGBP Classification | R(SD) | ubRMSD(SD) (m3/m3) | IGBP Classification | R(SD) | ubRMSD(SD) (m3/m3) | ||||
|---|---|---|---|---|---|---|---|---|---|
| MT-DCA | SPL3SMP_E | MT-DCA | SPL3SMP_E | MT-DCA | SPL3SMP_E | MT-DCA | SPL3SMP_E | ||
| ENF | 0.39(0.213) | 0.37(0.251) | 0.063(0.017) | 0.059(0.018) | WS | 0.72(0.239) | 0.77(0.233) | 0.061(0.017) | 0.052(0.014) |
| EBF | 0.31(0.407) | 0.34(0.415) | 0.077(0.029) | 0.062(0.027) | SH | 0.79(0.122) | 0.80(0.106) | 0.056(0.015) | 0.054(0.014) |
| DNF | 0.31(0.164) | 0.28(0.152) | 0.067(0.012) | 0.053(0.012) | G | 0.74(0.171) | 0.75(0.175) | 0.056(0.020) | 0.047(0.017) |
| DBF | 0.61(0.150) | 0.62(0.168) | 0.07(0.018) | 0.064(0.017) | C | 0.76(0.137) | 0.76(0.142) | 0.058(0.016) | 0.053(0.015) |
| MF | 0.50(0.208) | 0.47(0.249) | 0.065(0.018) | 0.054(0.016) | CNVM | 0.71(0.165) | 0.73(0.154) | 0.06(0.016) | 0.054(0.015) |
| SH | 0.68(0.212) | 0.70(0.236) | 0.05(0.016) | 0.044(0.018) | BSV | 0.58(0.203) | 0.58(0.208) | 0.026(0.019) | 0.022(0.016) |
References
- Koster, R.D.; Dirmeyer, P.A.; Guo, Z.; Bonan, G.; Chan, E.; Cox, P.; Gordon, C.T.; Kanae, S.; Kowalczyk, E.; Lawrence, D.; et al. Regions of Strong Coupling between Soil Moisture and Precipitation. Science 2004, 305, 1138–1140. [Google Scholar] [CrossRef] [PubMed]
- Li, X.; Xin, X.; Jiao, J.; Peng, Z.; Zhang, H.; Shao, S.; Liu, Q. Estimating Subpixel Surface Heat Fluxes through Applying Temperature-Sharpening Methods to Modis Data. Remote Sens. 2017, 9, 836. [Google Scholar] [CrossRef]
- Seneviratne, S.I.; Corti, T.; Davin, E.L.; Hirschi, M.; Jaeger, E.B.; Lehner, I.; Orlowsky, B.; Teuling, A.J. Investigating Soil Moisture–Climate Interactions in a Changing Climate: A Review. Earth Sci. Rev. 2011, 99, 125–161. [Google Scholar] [CrossRef]
- Wu, T.; Fan, M.; Tao, J.; Su, L.; Wang, P.; Liu, D.; Li, M.; Han, X.; Chen, L. Aerosol Optical Properties over China from Rams-Cmaq Model Compared with Caliop Observations. Atmosphere 2017, 8, 201. [Google Scholar] [CrossRef]
- Hao, D.; Asrar, G.R.; Zeng, Y.; Zhu, Q.; Wen, J.; Xiao, Q.; Chen, M. Estimating Hourly Land Surface Downward Shortwave and Photosynthetically Active Radiation from Dscovr/Epic Observations. Remote Sens. Environ. 2019, 232, 111320. [Google Scholar] [CrossRef]
- Chen, T.; McVicar, T.; Wang, G.; Chen, X.; de Jeu, R.; Liu, Y.; Shen, H.; Zhang, F.; Dolman, A. Advantages of Using Microwave Satellite Soil Moisture over Gridded Precipitation Products and Land Surface Model Output in Assessing Regional Vegetation Water Availability and Growth Dynamics for a Lateral Inflow Receiving Landscape. Remote Sens. 2016, 8, 428. [Google Scholar] [CrossRef]
- Li, X.; Xin, X.; Peng, Z.; Zhang, H.; Li, L.; Shao, S.; Liu, Q. Estimation of Land Surface Heat Fluxes Based on Visible Infrared Imaging Radiometer Suite Data: Case Study in Northern China. J. Appl. Remote Sens. 2017, 11, 046012. [Google Scholar] [CrossRef]
- Miralles, D.G.; Teuling, A.J.; Van Heerwaarden, C.C.; De Arellano, J.V.G. Mega-Heatwave Temperatures Due to Combined Soil Desiccation and Atmospheric Heat Accumulation. Nat. Geosci. 2014, 7, 345. [Google Scholar] [CrossRef]
- Miralles, D.G.; Van Den Berg, M.J.; Gash, J.H.; Parinussa, R.M.; De Jeu, R.A.; Beck, H.E.; Holmes, T.R.; Jiménez, C.; Verhoest, N.E.; Dorigo, W.A.; et al. El Niño–La Niña Cycle and Recent Trends in Continental Evaporation. Nat. Clim. Chang. 2014, 4, 122. [Google Scholar] [CrossRef]
- Pitman, A.J. The Evolution of, and Revolution in, Land Surface Schemes Designed for Climate Models. Int. J. Climatol. A J. R. Meteorol. Soc. 2003, 23, 479–510. [Google Scholar] [CrossRef]
- Li, X.; Xin, X.; Peng, Z.; Yi, C.; Li, B. Analysis of the Spatial Variability of Land Surface Variables for ET Estimation: Case Study in HiWATER Campaign. Remote Sens. 2018, 10, 91. [Google Scholar] [CrossRef]
- Carrão, H.; Russo, S.; Sepulcre-Canto, G.; Barbosa, P. An Empirical Standardized Soil Moisture Index for Agricultural Drought Assessment from Remotely Sensed Data. Int. J. Appl. Earth Obs. Geoinf. 2016, 48, 74–84. [Google Scholar] [CrossRef]
- Roy, S.K.; Rowlandson, T.L.; Berg, A.A.; Champagne, C.; Adams, J.R. Impact of Sub-Pixel Heterogeneity on Modelled Brightness Temperature for an Agricultural Region. Int. J. Appl. Earth Obs. Geoinf. 2016, 45, 212–220. [Google Scholar] [CrossRef]
- Wang, Y.; Ni, W.; Sun, G.; Chi, H.; Zhang, Z.; Guo, Z. Slope-Adaptive Waveform Metrics of Large Footprint Lidar for Estimation of Forest Aboveground Biomass. Remote Sens. Environ. 2019, 224, 386–400. [Google Scholar] [CrossRef]
- Ciabatta, L.; Brocca, L.; Massari, C.; Moramarco, T.; Gabellani, S.; Puca, S.; Wagner, W. Rainfall-Runoff Modelling by Using Sm2rain-Derived and State-of-the-Art Satellite Rainfall Products over Italy. Int. J. Appl. Earth Obs. Geoinf. 2016, 48, 163–173. [Google Scholar] [CrossRef]
- Wei, J.; Huang, W.; Li, Z.; Xue, W.; Peng, Y.; Sun, L.; Cribb, M. Estimating 1-Km-Resolution Pm2. 5 Concentrations across China Using the Space-Time Random Forest Approach. Remote Sens. Environ. 2019, 231, 111221. [Google Scholar] [CrossRef]
- Zhang, R.; Kim, S.; Sharma, A. A Comprehensive Validation of the Smap Enhanced Level-3 Soil Moisture Product Using Ground Measurements over Varied Climates and Landscapes. Remote Sens. Environ 2019, 223, 82–94. [Google Scholar] [CrossRef]
- Entekhabi, D.; Njoku, E.G.; O’Neill, P.E.; Kellogg, K.H.; Crow, W.T.; Edelstein, W.N.; Entin, J.K.; Goodman, S.D.; Jackson, T.J.; Johnson, J. The Soil Moisture Active Passive (Smap) Mission. Proc. IEEE 2010, 98, 704–716. [Google Scholar] [CrossRef]
- Kerr, Y.H.; Waldteufel, P.; Wigneron, J.P.; Delwart, S.; Cabot, F.; Boutin, J.; Escorihuela, M.J.; Font, J.; Reul, N.; Gruhier, C.; et al. The Smos Mission: New Tool for Monitoring Key Elements Ofthe Global Water Cycle. Proc. IEEE 2010, 98, 666–687. [Google Scholar] [CrossRef]
- Wigneron, J.P.; Jackson, T.J.; O’neill, P.; De Lannoy, G.; De Rosnay, P.; Walker, J.P.; Ferrazzoli, P.; Mironov, V.; Bircher, S.; Grant, J.P.; et al. Modelling the Passive Microwave Signature from Land Surfaces: A Review of Recent Results and Application to the L-Band Smos & Smap Soil Moisture Retrieval Algorithms. Remote Sens. Environ. 2017, 192, 238–262. [Google Scholar]
- Chan, S.K.; Bindlish, R.; O’Neill, P.; Jackson, T.; Njoku, E.; Dunbar, S.; Chaubell, J.; Piepmeier, J.; Yueh, S.; Entekhabi, D.; et al. Development and Assessment of the Smap Enhanced Passive Soil Moisture Product. Remote Sens. Environ. 2018, 204, 931–941. [Google Scholar] [CrossRef]
- Chan, S.K.; Bindlish, R.; O’Neill, P.E.; Njoku, E.; Jackson, T.; Colliander, A.; Chen, F.; Burgin, M.; Dunbar, S.; Piepmeier, J.; et al. Assessment of the Smap Passive Soil Moisture Product. IEEE Trans. Geosci. Remote Sens. 2016, 25, 4994–5007. [Google Scholar] [CrossRef]
- Colliander, A.; Jackson, T.J.; Bindlish, R.; Chan, S.; Das, N.; Kim, S.B.; Cosh, M.H.; Dunbar, R.S.; Dang, L.; Pashaian, L. Validation of Smap Surface Soil Moisture Products with Core Validation Sites. Remote Sens. Environ. 2017, 191, 215–231. [Google Scholar] [CrossRef]
- Colliander, A.; Jackson, T.J.; Chan, S.K.; O’Neill, P.; Bindlish, R.; Cosh, M.H.; Caldwell, T.; Walker, J.P.; Berg, A.; McNairn, H.; et al. An Assessment of the Differences between Spatial Resolution and Grid Size for the Smap Enhanced Soil Moisture Product over Homogeneous Sites. Remote Sens. Environ. 2018, 207, 65–70. [Google Scholar] [CrossRef]
- Jackson, T.; O’Neill, P.; Chan, S.; Bindlish, R.; Colliander, A.; Chen, F.; Dunbar, S.; Piepmeier, J.; Misra, S.; Cosh, M.; et al. Calibration and Validation for the L2/3_Sm_P Version 5 and L2/3_Sm_P_E Version 2 Data Products. In Smap Project, Jpl D-56297; Jet Propulsion Laboratory: Pasadena, CA, USA, 2018. [Google Scholar]
- Kim, H.; Parinussa, R.; Konings, A.G.; Wagner, W.; Cosh, M.H.; Choi, M. Global-Scale Assessment and Combination of Smap with Ascat Active) and Amsr2 Passive) Soil Moisture Products. Remote Sens. Environ. 2018, 204, 260–275. [Google Scholar] [CrossRef]
- Pan, M.; Cai, X.; Chaney, N.W.; Entekhabi, D.; Wood, E.F. An Initial Assessment of Smap Soil Moisture Retrievals Using High-Resolution Model Simulations and in Situ Observations. Geophys. Res. Lett. 2016, 43, 9662–9668. [Google Scholar] [CrossRef]
- Tavakol, A.; Rahmani, V.; Quiring, S.M.; Kumar, S.V. Evaluation Analysis of Nasa Smap L3 and L4 and Sport-Lis Soil Moisture Data in the United States. Remote Sens. Environ. 2019, 229, 234–246. [Google Scholar] [CrossRef]
- Al-Yaari, A.; Wigneron, J.P.; Dorigo, W.; Colliander, A.; Pellarin, T.; Hahn, S.; Mialon, A.; Richaume, P.; Fernandez-Moran, R.; Fan, L.; et al. Assessment and Inter-Comparison of Recently Developed/Reprocessed Microwave Satellite Soil Moisture Products Using Ismn Ground-Based Measurements. Remote Sens. Environ. 2019, 224, 289–303. [Google Scholar] [CrossRef]
- Konings, A.G.; Piles, M.; Das, N.; Entekhabi, D. L-Band Vegetation Optical Depth and Effective Scattering Albedo Estimation from Smap. Remote Sens. Environ. 2017, 198, 460–470. [Google Scholar] [CrossRef]
- Dorigo, W.A.; Gruber, A.; De Jeu, R.A.M.; Wagner, W.; Stacke, T.; Loew, A.; Albergel, C.; Brocca, L.; Chung, D.; Parinussa, R.M.; et al. Evaluation of the Esa Cci Soil Moisture Product Using Ground-Based Observations. Remote Sens. Environ. 2015, 162, 380–395. [Google Scholar] [CrossRef]
- Dorigo, W.; Wagner, W.; Albergel, C.; Albrecht, F.; Balsamo, G.; Brocca, L.; Chung, D.; Ertl, M.; Forkel, M.; Gruber, A. Esa Cci Soil Moisture for Improved Earth System Understanding: State-of-the Art and Future Directions. Remote Sens. Environ. 2017, 203, 185–215. [Google Scholar] [CrossRef]
- Torres, R.; Snoeij, P.; Geudtner, D.; Bibby, D.; Davidson, M.; Attema, E.; Potin, P.; Rommen, B.; Floury, N.; Brown, M. Gmes Sentinel-1 Mission. Remote Sens. Environ. 2012, 120, 9–24. [Google Scholar] [CrossRef]
- Chaubell, J. Smap Algorithm Theoretical Basis Document: Enhanced L1b Radiometer Brightness Temperature Product. Jet Propulsion Laboratory, California Institute of Technology, Pasadena, CA (JPL D-56287). Available online: https://nsidc.org/sites/nsidc.org/files/technical-references/SMAP_L1B_TB_E_Product_ATBD_D-56287.pdf (accessed on 10 February 2017).
- Poe, G.A. Optimum Interpolation of Imaging Microwave Radiometer Data. IEEE Trans. Geosci. Remote Sens. 1990, 28, 800–810. [Google Scholar] [CrossRef]
- O’Neill, P.E.; Chan, S.; Njoku, E.G.; Jackson, T.; Bindlish, R. Smap Enhanced L3 Radiometer Global Daily 9 Km Ease-Grid Soil Moisture. Version 2.[SPL3SMP _ E]. Boulder, Colorado USA. NASA National Snow and Ice Data Center Distributed Active Archive Center. 2018. Available online: https://doi.org/10.5067/RFKIZ5QY5ABN (accessed on 18 September 2019).
- De Jeu, R.A.; Wagner, W.; Holmes, T.R.H.; Dolman, A.J.; Van De Giesen, N.C.; Friesen, J. Global Soil Moisture Patterns Observed by Space Borne Microwave Radiometers and Scatterometers. Surv. Geophys. 2008, 29, 399–420. [Google Scholar] [CrossRef]
- Konings, A.G.; Piles, M.; Rötzer, K.; McColl, K.A.; Chan, S.K.; Entekhabi, D. Vegetation Optical Depth and Scattering Albedo Retrieval Using Time Series of Dual-Polarized L-Band Radiometer Observations. Remote Sens. Environ. 2016, 172, 178–189. [Google Scholar] [CrossRef]
- Berrisford, P.; Kållberg, P.; Kobayashi, S.; Dee, D.; Uppala, S.; Simmons, A.J.; Poli, P.; Sato, H. Atmospheric Conservation Properties in Era-Interim. Q. J. R. Meteorol. Soc. 2011, 137, 1381–1399. [Google Scholar] [CrossRef]
- Dee, D.P.; Uppala, S.M.; Simmons, A.J.; Berrisford, P.; Poli, P.; Kobayashi, S.; Andrae, U.; Balmaseda, M.A.; Balsamo, G.; Bauer, D.P.; et al. The Era-Interim Reanalysis: Configuration and Performance of the Data Assimilation System. Q. J. R. Meteorol. Soc. 2011, 137, 553–597. [Google Scholar] [CrossRef]
- Albergel, C.; De Rosnay, P.; Gruhier, C.; Muñoz-Sabater, J.; Hasenauer, S.; Isaksen, L.; Kerr, Y.; Wagner, W. Evaluation of Remotely Sensed and Modelled Soil Moisture Products Using Global Ground-Based in Situ Observations. Remote Sens. Environ. 2012, 118, 215–226. [Google Scholar] [CrossRef]
- Al-Yaari, A.; Wigneron, J.P.; Ducharne, A.; Kerr, Y.H.; Wagner, W.; De Lannoy, G.; Reichle, R.; Al Bitar, A.; Dorigo, W.; Richaume, P.; et al. Global-Scale Comparison of Passive (Smos) and Active (Ascat) Satellite Based Microwave Soil Moisture Retrievals with Soil Moisture Simulations (Merra-Land). Remote Sens. Environ. 2014, 152, 614–626. [Google Scholar] [CrossRef]
- Fan, L.; Al-Yaari, A.; Frappart, F.; Swenson, J.J.; Xiao, Q.; Wen, J.; Jin, R.; Kang, J.; Li, X.; Fernandez-Moran, R. Mapping Soil Moisture at a High Resolution over Mountainous Regions by Integrating in Situ Measurements, Topography Data, and Modis Land Surface Temperatures. Remote Sens. 2019, 11, 656. [Google Scholar] [CrossRef]
- Dorigo, W.A.; Wagner, W.; Hohensinn, R.; Hahn, S.; Paulik, C.; Xaver, A.; Gruber, A.; Drusch, M.; Mecklenburg, S.; Oevelen, P.V.; et al. The International Soil Moisture Network: A Data Hosting Facility for Global in Situ Soil Moisture Measurements. Hydrol. Earth Syst. Sci. 2011, 15, 1675–1698. [Google Scholar] [CrossRef]
- Al-Yaari, A.; Wigneron, J.P.; Kerr, Y.; Rodriguez-Fernandez, N.; O’Neill, P.E.; Jackson, T.J.; De Lannoy, G.J.M.; Al Bitar, A.; Mialon, A.; Richaume, P.; et al. Evaluating Soil Moisture Retrievals from Esa’s Smos and Nasa’s Smap Brightness Temperature Datasets. Remote Sens. Environ. 2017, 193, 257–273. [Google Scholar] [CrossRef] [PubMed]
- Dorigo, W.A.; Xaver, A.; Vreugdenhil, M.; Gruber, A.; Hegyiova, A.; Sanchis-Dufau, A.D.; Zamojski, D.; Cordes, C.; Wagner, W.; Drusch, M.; et al. Global Automated Quality Control of in Situ Soil Moisture Data from the International Soil Moisture Network. Vadose Zone J. 2013, 12, vzj2012.0097. [Google Scholar] [CrossRef]
- Li, X.; Al-Yaari, A.; Schwank, M.; Fan, L.; Frappart, F.; Swenson, J.; Wigneron, J.P. Compared Performances of Smos-Ic Soil Moisture and Vegetation Optical Depth Retrievals Based on Tau-Omega and Two-Stream Microwave Emission Models. Remote Sens. Environ. 2020, 236, 111502. [Google Scholar] [CrossRef]
- Fan, L.; Wigneron, J.P.; Xiao, Q.; Al-Yaari, A.; Wen, J.; Martin-StPaul, N.; Dupuy, J.L.; Pimont, F.; Al Bitar, A.; Fernandez-Moran, R.; et al. Evaluation of Microwave Remote Sensing for Monitoring Live Fuel Moisture Content in the Mediterranean Region. Remote Sens. Environ. 2018, 205, 210–223. [Google Scholar] [CrossRef]
- Broxton, P.D.; Zeng, X.; Sulla-Menashe, D.; Troch, P.A. A Global Land Cover Climatology Using Modis Data. J. Appl. Meteorol. Climatol. 2014, 53, 1593–1605. [Google Scholar] [CrossRef]
- Holben, B.N. Characteristics of Maximum-Value Composite Images from Temporal Avhrr Data. Int. J. Remote Sens. 1986, 7, 1417–1434. [Google Scholar] [CrossRef]
- Kolassa, J.; Reichle, R.H.; Liu, Q.; Alemohammad, S.H.; Gentine, P.; Aida, K.; Asanuma, J.; Bircher, S.; Caldwell, T.; Colliander, A.; et al. Estimating Surface Soil Moisture from Smap Observations Using a Neural Network Technique. Remote Sens. Environ. 2018, 204, 43–59. [Google Scholar] [CrossRef]
- Fernandez-Moran, R.; Al-Yaari, A.; Mialon, A.; Mahmoodi, A.; Al Bitar, A.; De Lannoy, G.; Rodriguez-Fernandez, N.; Lopez-Baeza, E.; Kerr, Y.; Wigneron, J.P. Smos-Ic: An Alternative Smos Soil Moisture and Vegetation Optical Depth Product. Remote Sens. 2017, 9, 457. [Google Scholar] [CrossRef]
- Sheffield, J.; Goteti, G.; Wen, F.; Wood, E.F. A Simulated Soil Moisture Based Drought Analysis for the United States. J. Geophys. Res. Atmos. 2004, 109. [Google Scholar] [CrossRef]
- Jackson, T.J.; Schmugge, T.J.; Wang, J.R. Passive Microwave Sensing of Soil Moisture under Vegetation Canopies. Water Resour. Res. 1982, 18, 1137–1142. [Google Scholar] [CrossRef]
- Bitar, A.A.; Mialon, A.; Kerr, Y.H.; Cabot, F.; Richaume, P.; Jacquette, E.; Quesney, A.; Mahmoodi, A.; Tarot, S.; Parrens, M. The Global Smos Level 3 Daily Soil Moisture and Brightness Temperature Map. Earth Syst. Sci. Data Parrens 2017, 9, 293–315. [Google Scholar] [CrossRef]
- Draper, C.S.; Walker, J.P.; Steinle, P.J.; De Jeu, R.A.; Holmes, T.R. Remote Sensing of Environment Holmes. An Evaluation of Amsr–E Derived Soil Moisture over Australia. Remote Sens. Environ 2009, 113, 703–710. [Google Scholar] [CrossRef]
- Jackson, T.J.; Bindlish, R.; Cosh, M.H.; Zhao, T.; Starks, P.J.; Bosch, D.D.; Seyfried, M.; Moran, M.S.; Goodrich, D.C.; Kerr, Y.H.; et al. Validation of Soil Moisture and Ocean Salinity (Smos) Soil Moisture over Watershed Networks in the Us. IEEE Trans. Geosci. Kerr Remote Sens. 2011, 50, 1530–1543. [Google Scholar] [CrossRef]









| Datasets | Data Source | Resolution (Spatial/Temporal) | Unit |
|---|---|---|---|
| SPL3SMP_E SM | SMAP-enhanced level 3 radiometer SM retrievals (SPL3SMP_E, version 2) | 9 km/Daily | m3/m3 |
| MT-DCA SM | multi-temporal dual channel algorithm retrieved SM | 9 km/Daily | m3/m3 |
| ECMWF SM | ECMWF modeled SM | 25 km /Daily | m3/m3 |
| In situ SM | ISMN ground observations | point /Hourly | m3/m3 |
| IGBP land cover type | MODIS(MCD12Q1) | 0.5 km /Yearly | - |
| Leaf Area Index (LAI) | MODIS(MOD15A2) | 0.1 degree /Monthly | m2/m2 |
| Network (No. of Station) | R | Bias (m3/m3) | RMSD (m3/m3) | ubRMSD (m3/m3) | ||||
|---|---|---|---|---|---|---|---|---|
| MT-DCA | SPL3SMP_E | MT-DCA | SPL3SMP_E | MT-DCA | SPL3SMP_E | MT-DCA | SPL3SMP_E | |
| BIEBRZA-S-1 (6) | 0.54 | 0.58 | −0.181 | −0.137 | 0.197 | 0.156 | 0.077 | 0.072 |
| CTP-SMTMN (2) | 0.65 | 0.67 | 0.112 | 0.091 | 0.127 | 0.119 | 0.059 | 0.068 |
| FMI (11) | 0.56 | 0.55 | 0.110 | 0.182 | 0.120 | 0.186 | 0.046 | 0.038 |
| FR-Aqui (4) | 0.54 | 0.72 | 0.107 | 0.074 | 0.128 | 0.083 | 0.080 | 0.044 |
| HOBE (24) | 0.63 | 0.68 | −0.013 | 0.043 | 0.072 | 0.064 | 0.063 | 0.049 |
| MySMNet (2) | 0.63 | 0.69 | 0.085 | 0.247 | 0.102 | 0.250 | 0.053 | 0.037 |
| PBO-H2O (3) | 0.69 | 0.83 | 0.019 | 0.016 | 0.064 | 0.061 | 0.061 | 0.058 |
| REMEDHUS (20) | 0.67 | 0.70 | 0.019 | 0.028 | 0.082 | 0.078 | 0.063 | 0.049 |
| RISMA (20) | 0.46 | 0.59 | −0.085 | −0.006 | 0.108 | 0.083 | 0.074 | 0.060 |
| RSMN (16) | 0.61 | 0.65 | 0.077 | 0.091 | 0.110 | 0.109 | 0.074 | 0.056 |
| SCAN (148) | 0.64 | 0.71 | −0.011 | 0.008 | 0.090 | 0.069 | 0.065 | 0.052 |
| SMOSMANIA (22) | 0.59 | 0.78 | −0.014 | −0.012 | 0.097 | 0.073 | 0.068 | 0.051 |
| SNOTEL (248) | 0.57 | 0.63 | −0.004 | −0.032 | 0.104 | 0.098 | 0.080 | 0.073 |
| SOILSCAPE (89) | 0.79 | 0.87 | 0.039 | 0.032 | 0.098 | 0.073 | 0.068 | 0.045 |
| TERENO (5) | 0.68 | 0.67 | −0.059 | −0.008 | 0.082 | 0.072 | 0.057 | 0.055 |
| USCRN (94) | 0.68 | 0.74 | −0.016 | 0.008 | 0.084 | 0.074 | 0.059 | 0.049 |
| iRON (3) | 0.49 | 0.42 | 0.014 | −0.027 | 0.096 | 0.073 | 0.067 | 0.068 |
| All (717) | 0.63 | 0.70 | −0.002 | 0.000 | 0.095 | 0.083 | 0.070 | 0.058 |
© 2019 by the authors. Licensee MDPI, Basel, Switzerland. This article is an open access article distributed under the terms and conditions of the Creative Commons Attribution (CC BY) license (http://creativecommons.org/licenses/by/4.0/).
Share and Cite
Bai, L.; Lv, X.; Li, X. Evaluation of Two SMAP Soil Moisture Retrievals Using Modeled- and Ground-Based Measurements. Remote Sens. 2019, 11, 2891. https://doi.org/10.3390/rs11242891
Bai L, Lv X, Li X. Evaluation of Two SMAP Soil Moisture Retrievals Using Modeled- and Ground-Based Measurements. Remote Sensing. 2019; 11(24):2891. https://doi.org/10.3390/rs11242891
Chicago/Turabian StyleBai, Li, Xin Lv, and Xiaojun Li. 2019. "Evaluation of Two SMAP Soil Moisture Retrievals Using Modeled- and Ground-Based Measurements" Remote Sensing 11, no. 24: 2891. https://doi.org/10.3390/rs11242891
APA StyleBai, L., Lv, X., & Li, X. (2019). Evaluation of Two SMAP Soil Moisture Retrievals Using Modeled- and Ground-Based Measurements. Remote Sensing, 11(24), 2891. https://doi.org/10.3390/rs11242891
