Study on Sea Clutter Suppression Methods Based on a Realistic Radar Dataset
Abstract
:1. Introduction
2. Sea Clutter Suppression Algorithms
2.1. Root Cycle Cancellation Algorithm Principle
2.2. Principle of the Singular-Value Decomposition (SVD) Algorithm
- Perform SVD on the matrix , i.e., .
 - For each nonzero singular value on the diagonal of the singular value matrix , reconstruct the time series corresponding to the singular value. The reconstruction process is as follows. For the singular value matrix , only can be reserved, and other singular values are set to zero. is recovered by . The back-diagonal elements of the matrix are used for averaging to reconstruct the time series, i.e., , where , and is the number of elements in the back-diagonal of the matrix, i.e., the number of elements that conform to .
 - A Fourier transform is performed for the time-domain sequence . If the spectral peak of the frequency-domain sequence obtained after the Fourier transform falls within the first-order Bragg frequency band, we can consider the singular value to correspond to the frequency component of the first-order Bragg peak. Then, the singular value is set to zero to complete the suppression of sea clutter. In this way, we obtain a new singular value matrix .
 - The reconstructed time series is recovered by using the singular value matrix, , which is the time-domain signal sequence after clutter suppression.
 
2.3. Principles of Wavelet Algorithm
- Wavelet decomposition: Wavelet transform is performed on to obtain the wavelet coefficient . Let the number of wavelet decomposition layers be , and .
 - Wavelet single-branch reconstruction: The wavelet coefficient of each layer is reconstructed by a single branch. The single reconstructed signal of the layer is:where is the wavelet reconstruction coefficient.
 - Let each layer of the single reconstructed signals form a single reconstructed function vector :
 - Weighted merging: Let the wavelet domain of the pure target be , and normalize the weighting coefficient as:Let the weighting coefficient vector be . Then, the weighted combined Doppler spectrum is:
 
2.4. Principles of the Empirical Mode Decomposition (EMD) Reconstruction Algorithm
- In the whole data set, the number of extrema and the number of zero crossings must either be equal or differ at most by one.
 - At any point, the mean value of the envelope defined by the local maxima and the envelope defined by the local minima is zero.
 
- The signal has at least two extrema—one maximum and one minimum.
 - The characteristic time scale is defined by the time lapse between the extrema. If the data are totally devoid of extrema but contain only inflection points, then they can be differentiated once or more to reveal the extrema. The final results can be obtained by integrating the components.
 
- For any real signal or data , firstly, find all the local maxima and local minima points of . Then, interpolate all maxima and all minima. Afterwards, we can obtain the upper envelope and the lower envelope of the signal and calculate their average curves :
 - Subtract from to get :
 - If does not satisfy the conditions of the IMF, define the average envelope of as . Subtract from to get :This process may be repeated k times:where and are the signals obtained by the -th and ()th screenings, respectively, and is the average envelope of . When the IMF conditions are met, .
 - Subtract from , and we obtain a new signal , from which the high-frequency component is removed:
 - Substitute for and repeat the above steps. Then, we obtain in sequence. This screening is stopped when satisfies the given termination condition. is called the residual, which represents the trend of the signal. Finally, can be expressed as the sum of a set of IMF components and a residual [23,24]:The criteria for terminating the screening, is expressed as:
 
3. Sea Clutter Suppression based on Intelligent PIxel Processing X-Band (IPIX) Radar Data
3.1. Experimental Data
3.2. Sea Clutter Suppression under Different Sea Conditions
3.3. Sea Clutter Suppression in Different Sea Areas
4. Statistical Analysis Based on IPIX Radar Data
5. Conclusions
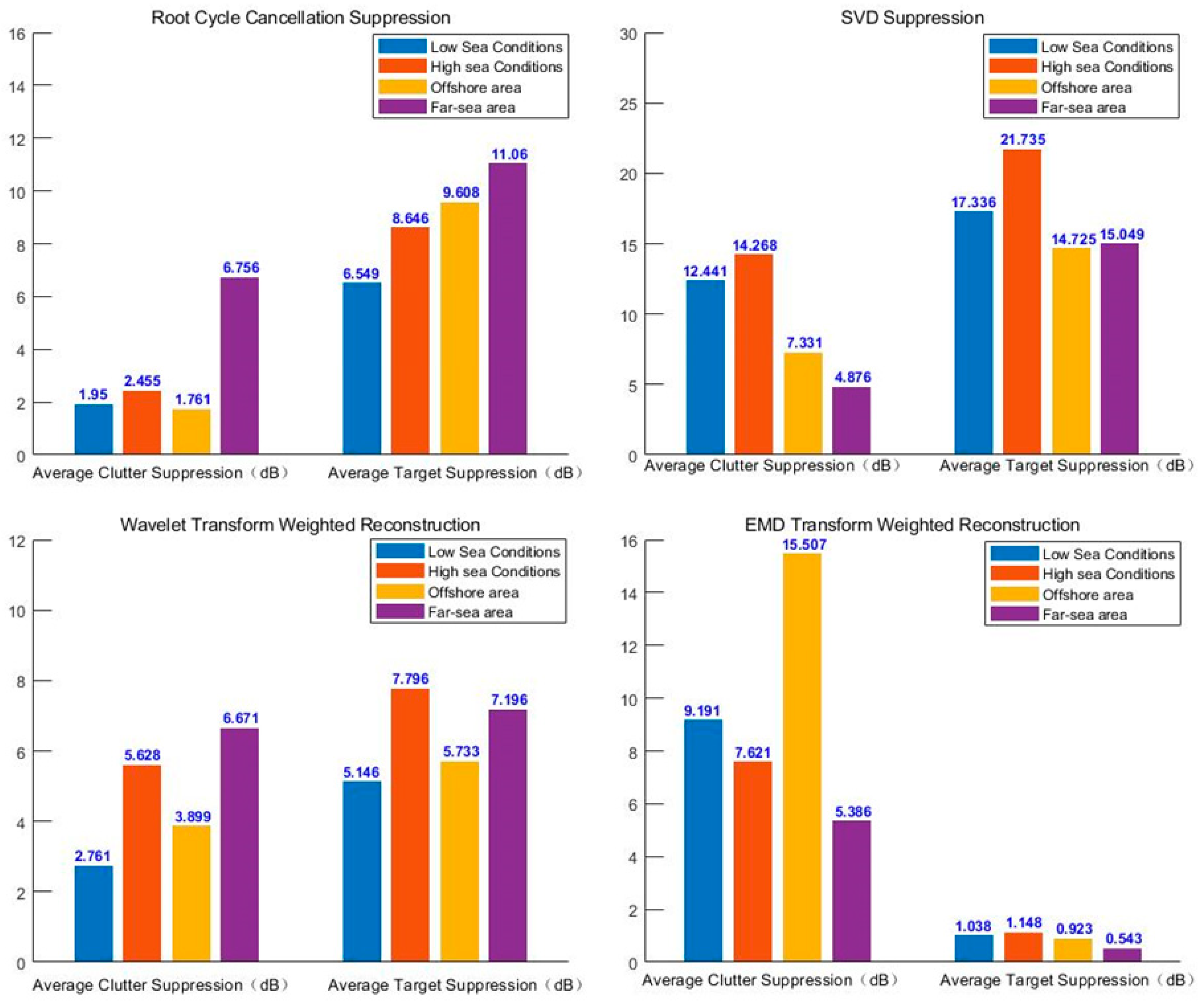
- In terms of the suppression effect of sea clutter, the four methods have certain inhibitory effects, among which, EMD has the best effect. In the case of offshore areas, the average suppression amplitude reaches 15.507 dB, while the root cycle cancellation method has the worst inhibition effect on the offshore area, at 1.761 dB.
 - Regarding the retention of the target echo, only the EMD algorithm can achieve a better retention of the target, and the suppression of the target echo is always below 1.2 dB. Wavelet weight reconstruction, root cycle cancellation, and SVD suppression cannot retain the two added targets. The SVD algorithm is the worst, and the suppression target’s amplitude is above 14 dB.
 - The root cycle cancellation method only achieves an average 6.756 dB clutter-suppression effect when the main component of the sea clutter spectrum is very narrow. Otherwise, the suppression is less than 1.5 dB. At the same time, it can be found that the root cycle cancellation method cannot retain the two added virtual targets in the spectrum. The average suppression range of the target is above 6.5 dB and reaches as much as 11.06 dB in the far-sea areas.
 - The SVD algorithm can better suppress clutter, achieving an average of 14.268 dB clutter suppression in high sea conditions. However, its signal retention is the worst of the four methods. Its signal-suppression range is above 14.5 dB and reaches as much as 21.735 dB in high sea conditions.
 - The performance of wavelet reconstruction is ordinary in suppressing sea-clutter components and retaining signals. The average suppression clutter amplitude is 2.761–6.671 dB, and the average suppression signal amplitude is 5.146–7.796 dB. Since the suppression effect on the target exceeds that on the clutter, the SNR cannot be improved.
 - EMD reconstruction can not only greatly suppress the sea-clutter component but can also better preserve the signal component. The average suppression effect on sea clutter can reach more than 5 dB (15.507 dB in the offshore areas). The average suppression effect on the target does not exceed 1.2 dB, so the EMD algorithm can achieve the effect of improving the SNR.
 - Note that for EMD weighted reconstruction, we need to determine where the target is in the spectrum and then extract the target’s reconstruction coefficients. However, this does not mean that the EMD (or wavelet) algorithm makes no sense, since we only need to determine the position of the target in the spectrum at a certain moment. If the radar detects a target with a background of weak sea clutter, we can find the target in the spectrum at this moment and extract the reconstruction coefficients we need. Since the EMD algorithm is adaptive, we can perform clutter suppression continuously and obtain more precise target parameters (the radial velocity of the target and the target location). In this way, even if subsequent clutter energy is stronger and the radar cannot detect the target, we can still use the EMD algorithm to suppress the clutter and extract the target parameters. Ultimately, the EMD algorithm can improve the ability of radar to detect and track targets such as ships against a background of strong sea clutter.
 
Author Contributions
Funding
Acknowledgments
Conflicts of Interest
References
- Borge, J.C.N.; Rodriguez, G.R.; Hessner, K. Inversion of Nautical Radar Images for Surface Wave Analysis. J. Atmos. Ocean. Technol. 2004, 21, 1291–1300. [Google Scholar] [CrossRef]
 - Barrick, D.E.; Headriek, J.M.; Bogle, R.W.; Crombie, D.D. Sea backscatter at HF: Interpretation and Utilization of the echo. Proc. IEEE 1974, 62, 673–680. [Google Scholar] [CrossRef]
 - Lipa, B.J.; Barrie, D.E. Extraction of sea state from HF radar sea echo: Mathematical theory and modeling. Radio Sci. 1986, 21, 81–100. [Google Scholar] [CrossRef]
 - Gill, E. The Scattering of High Frequency Electromagnetic Radiation from the Ocean Surface: An Analysis Based on a Bistatic Ground Wave Radar Configuration. Ph.D. Thesis, Faculty of Engineering and Applied Science Memorial University of Newfoundland, St. John’s, NL, Canada, 1999; pp. 10–16. [Google Scholar]
 - Khan, R.H. Ocean-clutter Model for High-Frequency Radar. IEEE J. Ocean. Eng. 1991, 16, 181–188. [Google Scholar] [CrossRef]
 - Fan, L.; Chen, Z.; Chen, X.; Jin, X. S-band Radar Measurement of Correlation between Coastal Wave and Tide. JDCTA 2012, 19, 503–510. [Google Scholar]
 - Skolnik, M.I. Radar Handbook, 3rd ed.; McGraw-Hill: New York, NY, USA, 2008. [Google Scholar]
 - Barrick, D.E. First-order theory and analysis of MF/HF/VHF scatter form the sea. IEEE Trans. Antennas Propag. 1972, 20, 2–10. [Google Scholar] [CrossRef]
 - Ji, Z.; Meng, X.; Zhou, H. Analyses of sea clutters in HF ground wave over-the-horizon radar. J. Syst. Eng. Electron. 2000, 22, 12–15. [Google Scholar]
 - Root, B.T. HF Radar Ship Detection through Clutter Cancellation. In Proceedings of the National Radar Conference, Dallas, TX, USA, 14 May 1998; pp. 281–286. [Google Scholar]
 - Root, B.T. HF-over-the-horizon Radar Ship Detection with Short Dwells Using Clutter Cancellation. Radio Sci. 1998, 33, 1095–1111. [Google Scholar] [CrossRef]
 - Khan, R.; Power, D.; Walsh, J. Ocean Clutter Suppression for an HF Wave Radar. In Proceedings of the Canadian Conference on Electrical and Computer Engineering. Engineering Innovation: Voyage of Discovery. Conference Proceedings, Saint Johns, NL, Canada, 25–28 May 1997; pp. 512–515. [Google Scholar]
 - Wang, J.; Kirlin, R.L. Improvement of High Frequency Ocean Surveillance Radar Using Subspace Methods Based on Sea Clutter Suppression. In Proceedings of the IEEE Proceedings on Sensor Array and Multichannel Signal Processing Workshop, Rosslyn, VA, USA, 6 August 2002; pp. 557–560. [Google Scholar]
 - Poon, M.W.Y. A Clutter Suppression Scheme for High Frequency (HF) Radar. Master’s Thesis, Memorial University of Newfoundland, St. John’s, NL, Canada, 1991. [Google Scholar]
 - Jangal, F.; Saillant, S.; Hélier, M. Ionospheric Clutter Cancellation and Wavelet Analysis. In Proceedings of the European Conference on Antennas and Propagation, Nice, France, 6–10 November 2006; pp. 1–6. [Google Scholar]
 - Jangal, F.; Saillant, S.; Hélier, M. Ionospheric Clutter Mitigation Using One-dimensional or Two-dimensional Wavelet Processing. IET Radar Sonar Navig. 2009, 3, 112–121. [Google Scholar] [CrossRef]
 - Huang, N.E.; Shen, Z.; Long, S.R.; Wu, M.C.; Shih, H.H.; Zheng, Q.; Yen, N.C.; Tung, C.C.; Liu, H.H. The Empirical Mode Decomposition and the Hilbert Spectrum for Nonlinear Nonstationary Time Series Analysis. Proc. R. Soc. Lond. A 1998, 454, 903–995. [Google Scholar] [CrossRef]
 - Huang, N.E.; Zheng, S.; Steven, R.I. A new view of nonlinear water waves: The Hilbert spectrum. Annu. Rev. Fluid Mech. 1999, 31, 417–457. [Google Scholar] [CrossRef]
 - Huang, N.E. A new spectral representation of earth-quake data: Hilbert spectral analysis of station TCU 129, Chi-Chi, Taiwan, 21 September 1999. BSSA 2001, 91, 1310–1338. [Google Scholar]
 - Loh, C.H.; Wu, T.C.; Huang, N.E. Application of the empirical mode decomposition Hilbert spectrum method to identify near-fault ground motion characteristics and structural responses. BSSA 2001, 91, 1339–1357. [Google Scholar] [CrossRef]
 - Vincent, H.T.; Hu, S.L.J.; Hou, Z. Damage Detection Using Empirical Mode Decomposition Method and a Comparison with Wavelet Analysis. In Proceedings of the 2nd International Workshop on Structural Health Monitoring, Stanford, CA, USA, 8–10 September 2000; pp. 891–900. [Google Scholar]
 - Nikoiaos, P.P. Advanced time–frequency analysis applications in earth-quake engineering. Seism. Des. Anal. Struct. 2004, 2002–2003, 23–24. [Google Scholar]
 - Veltcheva, A.D.; Soares, C.G. Identification of the components of wave spectra by the Hilbert Huang transform method. Appl. Ocean Res. 2004, 26, 1–12. [Google Scholar] [CrossRef]
 - Xiao, C.; Cha, H.; Xia, D. Sea Clutter Characteristics Analysis and Target Detection Based on HHT. In Proceedings of the International Conference on Consumer Electronics, Communications and Networks (CECNet), XianNing, China, 16–18 April 2011; pp. 694–697. [Google Scholar]
 - Jangal, F.; Mandereau, F. Morphological Operator and Empirical Mode Decomposition for Clutter Mitigation. In Proceedings of the OCEANS, Quebec City, QC, Canada, 15–18 September 2008. [Google Scholar]
 - Tanaka, T.; Mandic, D.P. Complex Empirical Mode Decomposition. IEEE Signal Process. Lett. 2007, 14, 101–104. [Google Scholar] [CrossRef]
 - Haykin, S. The Dartmouth Database of IPIX Radar [EB/OL]. (2001-06-08) [2007-5-23]. Available online: http://soma.ece.mcmaster.ca/ipix/dartmouth/ (accessed on 20 November 2019).
 













| Radar Parameter | Typical Value | 
|---|---|
| Transmitting frequency (RF_frequency) | 9.39 GHz | 
| Pulse repetition frequency (PRF) | 0–20 kHz (typical value is 1000 Hz) | 
| Pulse width (pulse_length) | 20–5000 ns (typical value is 200 ns) | 
| Antenna maximum gain (antenna_gain) | 45.7 dB | 
| Polarization mode | HH/VV/HV/VH (linear polarization) | 
| Antenna height | 30 m (1993), 20 m (1994) | 
| Distance resolution (radar_elev) | 30 m | 
© 2019 by the authors. Licensee MDPI, Basel, Switzerland. This article is an open access article distributed under the terms and conditions of the Creative Commons Attribution (CC BY) license (http://creativecommons.org/licenses/by/4.0/).
Share and Cite
Lv, M.; Zhou, C. Study on Sea Clutter Suppression Methods Based on a Realistic Radar Dataset. Remote Sens. 2019, 11, 2721. https://doi.org/10.3390/rs11232721
Lv M, Zhou C. Study on Sea Clutter Suppression Methods Based on a Realistic Radar Dataset. Remote Sensing. 2019; 11(23):2721. https://doi.org/10.3390/rs11232721
Chicago/Turabian StyleLv, Mingjie, and Chen Zhou. 2019. "Study on Sea Clutter Suppression Methods Based on a Realistic Radar Dataset" Remote Sensing 11, no. 23: 2721. https://doi.org/10.3390/rs11232721
APA StyleLv, M., & Zhou, C. (2019). Study on Sea Clutter Suppression Methods Based on a Realistic Radar Dataset. Remote Sensing, 11(23), 2721. https://doi.org/10.3390/rs11232721
        