Hyperspectral Anomaly Detection via Spatial Density Background Purification
Abstract
1. Introduction
2. Material and Method
2.1. Experimental Setup
Datasets Description
2.2. Algorithms
2.2.1. The First Reviews of Related Work: Density Peak Clustering
2.2.2. The Second Reviews of Related Work: Collaborative-Representation-Based Detector
2.2.3. The Proposed Approach: Spatial Density Background Purification
2.2.4. The First Step: Extraction of Pure Background Set
2.2.5. The Second Step: Collaborative-Representation-Based Detector
2.3. Statistical Evaluation Procedure
| Algorithm 1 SDBP-D Algorithm |
| Inputs: Three-dimensional hyperspectral cube , window size (, ), and parameter P; |
| for all pixels do (1) For each pixel, centering on the center pixel , an outer window of size and an inner window of size are selected; (2) Remove all pixels except the center pixel in the inner window; (3) Calculate the density value of all pixels between the inner and outer windows by Equation (9); (4) Selected m pixels with highest local density from high to low; (5) Calculate the weight vector by Equation (12) (6) Calculate the final detection result by Equation (13). end for |
| Outputs: The anomaly detection map. |
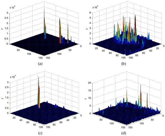
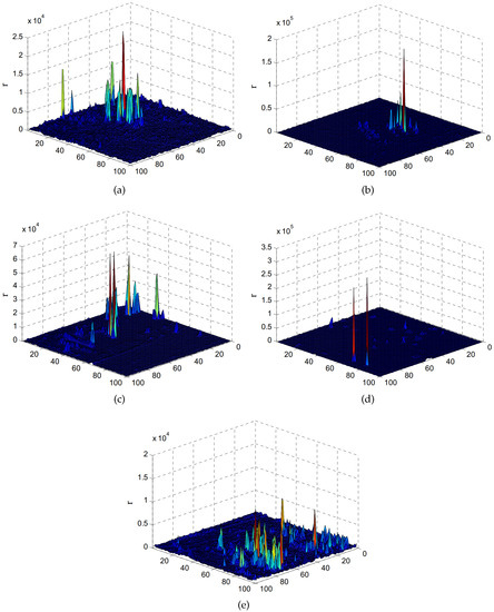
3. Results
4. Discussions
5. Conclusions
Author Contributions
Funding
Acknowledgments
Conflicts of Interest
References
- Stein, D.W.; Beaven, S.G.; Hoff, L.E.; Winter, E.M.; Schaum, A.P.; Stocker, A.D. Anomaly Detection from Hyperspectral Imagery. IEEE Signal Process. Mag. 2002, 19, 58–69. [Google Scholar] [CrossRef]
- Borengasser, M.; Hungate, W.S.; Watkins, R. Hyperspectral Remote Sensing: Principles and Application. Iasri 2007, 31, 1249–1259. [Google Scholar]
- Xu, Y.; Wu, Z.; Chanussot, J.; Wei, Z. Nonlocal Patch Tensor Sparse Representation for Hyperspectral Image Super-Resolution. IEEE Trans. Image Process. 2019, 28, 3034–3047. [Google Scholar] [CrossRef] [PubMed]
- Berger, K.; Atzberger, C.; Danner, M.; D’Urso, G.; Mauser, W.; Vuolo, F.; Hank, T. Evaluation of the PROSAIL Model Capabilities for Future Hyperspectral Model Environments: A Review Study. Remote Sens. 2018, 10, 85. [Google Scholar] [CrossRef]
- Pelta, R.; Ben-Dor, E. Assessing the Detection Limit of Petroleum Hydrocarbon in Soils using Hyperspectral Remote-sensing. Remote Sens. Environ. 2019, 224, 145–153. [Google Scholar] [CrossRef]
- Justice, C.O.; Vermote, E.; Townshend, J.R.; Defries, R.; Roy, D.P.; Hall, D.K.; Salomonson, V.V.; Privette, J.L.; Riggs, G.; Strahler, A.; et al. The Moderate Resolution Imaging Spectraoradiometer (MODIS): Land Remote Sensing for Global Change Research. IEEE Trans. Geosci. Remote Sens. 1998, 36, 1228–1249. [Google Scholar] [CrossRef]
- Hong, D.; Yokoya, N.; Chanussot, J.; Zhu, X. An Augmented Linear Mixing Model to Address Spectral Variability for Hyperspectral Unmixing. IEEE Trans. Image Process. 2019, 28, 1923–1938. [Google Scholar] [CrossRef] [PubMed]
- Xia, J.; Falco, N.; Benediktsson, J.A.; Du, P.; Chanussot, J. Hyperspectral Image Classification with Rotation Random Forest Via KPCA. IEEE J. Sel. Top. Appl. Earth Obs. Remote Sens. 2017, 10, 1601–1609. [Google Scholar] [CrossRef]
- Wang, Y.; Fan, M.; Li, J.; Cui, Z. Sparse Weighted Constrained Energy Minimization for Accurate Remote Sensing Image Target Detection. Remote Sens. 2017, 9, 1190. [Google Scholar] [CrossRef]
- Zhu, D.; Du, B.; Zhang, L. Target Dictionary Construction-based Sparse Representation Hyperspectral Target Detection Methods. IEEE J. Sel. Top. Appl. Earth Obs. Remote Sens. 2019, 12, 1254–1264. [Google Scholar] [CrossRef]
- Chen, F.; Ren, R.; Van de Voorde, T.; Xu, W.; Zhou, G.; Zhou, Y. Fast Automatic Airport Detection in Remote Sensing Images Using Convolutional Neural Networks. Remote Sens. 2018, 10, 443. [Google Scholar] [CrossRef]
- Ma, D.; Yuan, Y.; Wang, Q. Hyperspectral Anomaly Detection Based on Separability-Aware Sample Cascade. Remote Sens. 2019, 11, 2537. [Google Scholar] [CrossRef]
- Yang, C.; Westbrook, J.; Suh, C.; Martin, D.; Hoffmann, W.; Lan, Y.; Fritz, B.; Goolsby, J. An Airborne Multispectral Imaging System Based on Two Consumer-Grade Cameras for Agricultural Remote Sensing. Remote Sens. 2014, 6, 5257–5278. [Google Scholar] [CrossRef]
- Waheed, T.; Bonnell, R.B.; Prasher, S.O.; Paulet, E. Measuring performance in precision agriculture: CART—A decision tree approach. Agric. Water Manag. 2006, 84, 173–185. [Google Scholar] [CrossRef]
- Salati, S.; van Ruitenbeek, F.; van der Meer, F.; Naimi, B. Detection of Alteration Induced by Onshore Gas Seeps from ASTER and WorldView-2 Data. Remote Sens. 2014, 6, 3188–3209. [Google Scholar] [CrossRef]
- Manolakis, D.; Shaw, G.S. Detection Algorithms for Hyperspectral Imaging Applications. IEEE Signal Process. Mag. 2002, 19, 29–43. [Google Scholar] [CrossRef]
- Makki, I.; Younes, R.; Francis, C.; Bianchi, T.; Zucchetti, M. A Survey of Landmine Detection using Hyperspectral Imaging. ISPRS J. Photogramm. Remote Sens. 2017, 124, 40–53. [Google Scholar] [CrossRef]
- Chen, S.Y.; Lin, C.; Tai, C.H.; Chuang, S.J. Adaptive Window-Based Constrained Energy Minimization for Detection of Newly Grown Tree Leaves. Remote Sens. 2018, 10, 96. [Google Scholar] [CrossRef]
- Bioucas-Dias, J.M.; Plaza, A.; Dobigeon, N.; Parente, M.; Du, Q.; Gader, P.; Chanussot, J. Hyperspectral unmixing overview: Geometrical, Statistical, and Sparse Regression-based Approaches. IEEE J. Sel. Top. Appl. Earth Observ. Remote Sens. 2012, 5, 354–379. [Google Scholar] [CrossRef]
- Bioucas-Dias, J.M.; Plaza, A.; Camps-Valls, G.; Scheunders, P.; Nasrabadi, N.M.; Chanussot, J. Hyperspectral remote sensing data analysis and future challenges. IEEE Geosci. Remote Sens. Mag. 2013, 1, 6–36. [Google Scholar] [CrossRef]
- Zhu, L.; Wen, G. Hyperspectral Anomaly Detection via Background Estimation and Adaptive Weighted Sparse Representation. Remote Sens. 2018, 10, 272–292. [Google Scholar]
- Li, W.; Wu, G.; Du, Q. Transferred Deep Learning for Anomaly Detection in Hyperspectral Imagery. IEEE Geosci. Remote Sens. Lett. 2017, 14, 597–601. [Google Scholar] [CrossRef]
- Du, B.; Zhao, R.; Zhang, L.; Zhang, L. A Spectral-Spatial based Local Summation Anomaly Detection Method for Hyperspectral Images. Signal Process. 2016, 124, 115–131. [Google Scholar] [CrossRef]
- Reed, I.S.; Yu, X. Adaptive multiple-band CFAR Detection of an Optical Pattern with Unknown Spectral Distribution. IEEE Trans. Acoust. Speech Signal Process. 1990, 38, 1760–1770. [Google Scholar] [CrossRef]
- Molero, J.M.; Garzón, E.M.; García, I.; Plaza, A. Analysis and Optimizations of Global and Local Versions of the RX Algorithm for Anomaly Detection in Hyperspectral Data. IEEE J. Sel. Top. Appl. Earth Obs. Remote Sens. 2013, 6, 801–814. [Google Scholar] [CrossRef]
- Mehmood, A.; Nasrabadi, N.M. Kernel Wavelet-Reed–Xiaoli: An Anomaly Detection for Forward-Looking Infrared Imagery. Appl. Op. 2011, 50, 2744–2751. [Google Scholar] [CrossRef] [PubMed]
- Rossi, A.; Acito, N.; Diani, M.; Corsini, G. RX Architectures for Real-time Anomaly Detection in Hyperspectral Images. J. Real-Time Image Process. 2014, 9, 503–517. [Google Scholar] [CrossRef]
- Li, M. Anomaly Detection for Hyperspectral Images based on Improved RX Algorithm. In Proceedings of the International Symposium on Multispectral Image Processing and Pattern Recognition, Wuhan, China, 28–29 October 2007; p. 6787. [Google Scholar]
- Kwon, H.; Nasrabadi, N.M. Kernel RX-algorithm: A Nonlinear Anomaly Detector for Hyperspectral Imagery. IEEE Trans. Geosci. Remote Sens. 2005, 43, 388–397. [Google Scholar] [CrossRef]
- Khazai, S.; Mojaradi, B. A Modified Kernel-RX Algorithm for Anomaly Detection in Hyperspectral Images. Arab. J. Geosci. 2013, 8, 1487–1495. [Google Scholar] [CrossRef]
- Plaza, A.J. Anomaly Detection based on a Parallel Kernel RX Algorithm for Multicore Platforms. J. Appl. Remote Sens. 2012, 6, 061503. [Google Scholar]
- Zhou, J.; Kwan, C.; Ayhan, B.; Eismann, M.T. A Novel Cluster Kernel RX Algorithm for Anomaly and Change Detection Using Hyperspectral Images. IEEE Trans. Geosci. Remote Sens. 2016, 54, 6497–6504. [Google Scholar] [CrossRef]
- Zhao, C.; Li, J.; Meng, M.; Yao, X. A Weighted Spatial-Spectral Kernel RX Algorithm and Efficient Implementation on GPUs. Sensors 2017, 17, 441. [Google Scholar] [CrossRef] [PubMed]
- Zhao, C.; Deng, W.; Yan, Y.; Yao, X. Progressive Line Processing of Kernel RX Anomaly Detection Algorithm for Hyperspectral Imagery. Sensors 2017, 17, 1815. [Google Scholar] [CrossRef] [PubMed]
- Banerjee, A.; Burlina, P.; Diehl, C. A support vector method for anomaly detection in hyperspectral imagery. IEEE Trans. Geosci. Remote Sens. 2006, 44, 2282–2291. [Google Scholar] [CrossRef]
- Zhang, Y.; Du, B.; Zhang, L.; Wang, S. A Low-Rank and Sparse Matrix Decomposition-Based Mahalanobis Distance Method for Hyperspectral Anomaly Detection. IEEE Trans. Geosci. Remote Sens. 2015, 54, 1376–1389. [Google Scholar] [CrossRef]
- Hu, Z.; Xiao, M.; Zhang, L.; Liu, S.; Ge, Y. Mahalanobis Distance Based Approach for Anomaly Detection of Analog Filters Using Frequency Features and Parzen Window Density Estimation. J. Electron. Test. 2016, 32, 681–693. [Google Scholar] [CrossRef]
- Zhao, C.; Zhang, L.; Cheng, B. A Local Mahalanobis-Distance Method based on Tensor Decomposition for Hyperspectral Anomaly Detection. Geocarto Int. 2019, 34, 490–503. [Google Scholar] [CrossRef]
- Zhao, R.; Liu, L.; Junli, L.I. Anomaly Gamma Spectra Detection based on Principal Component Analysis and the Mahalanobis Distance. J. Tsinghua Univ. 2017, 57, 826–831. [Google Scholar]
- Du, B.; Zhang, L. A Discriminative Metric Learning Based Anomaly Detection Method. IEEE Trans. Geosci. Remote Sens. 2014, 52, 6844–6857. [Google Scholar]
- Zhang, L.L.; Zhao, C.H.; Cheng, B.Z. A Joint Kernel Collaborative-Representation-based Approach for Anomaly Target Detection of Hyperspectral Images. J. Optoelectron. Laser 2015, 26, 2154–2161. [Google Scholar]
- Yuan, S.; Zhou, W.; Yuan, Q.; Li, X.; Wu, Q.; Zhao, X.; Wang, J. Kernel Collaborative Representation-Based Automatic Seizure Detection in Intracranial EEG. Int. J. Neural Syst. 2015, 25, 578–1801. [Google Scholar] [CrossRef] [PubMed]
- Zaafouri, A.; Sayadi, M.; Fnaiech, F.; al Jarrah, O.; Wei, W. A New Method for Expiration Code Detection and Recognition Using Gabor Features based Collaborative Representation. Adv. Eng. Inf. 2015, 29, 1072–1082. [Google Scholar] [CrossRef]
- Li, W.; Du, Q. Collaborative Representation for Hyperspectral Anomaly Detection. IEEE Trans. Geosci. Remote Sens. 2015, 53, 1463–1474. [Google Scholar] [CrossRef]
- Tan, K.; Hou, Z.; Wu, F.; Du, Q.; Chen, Y. Anomaly Detection for Hyperspectral Imagery Based on the Regularized Subspace Method and Collaborative Representation. Remote Sens. 2019, 11, 1318. [Google Scholar] [CrossRef]
- Su, H.; Wu, Z.; Du, Q.; Du, P. Hyperspectral Anomaly Detection Using Collaborative Representation With Outlier Removal. IEEE J. Sel. Top. Appl. Earth Obs. Remote Sens. 2018, 11, 5029–5038. [Google Scholar] [CrossRef]
- Hong-Da, C.; Han-Ye, P.; Bin, W.; Li-Ming, Z. Image Euclidean Distance-based Manifold Dimensionality Reduction Algorithm for Hyperspectral Imagery. J. Infrared Millimeter Waves 2013, 32, 450–455. [Google Scholar]
- Lu, T.; Li, S.; Fang, L.; Bruzzone, L.; Benediktsson, J.A. Set-to-setdistance-based Spectral Spatial Classification of Hyperspectral Images. IEEE Trans. Geosci. Remote Sens. 2016, 54, 7122–7134. [Google Scholar] [CrossRef]
- Chang, C.-I. An Information-Theoretic Approach to Spectral Variability, Similarity, and Discrimination for Hyperspectral Image Analysis. IEEE Trans. Inf. Theory 2000, 46, 1927–1932. [Google Scholar] [CrossRef]
- Liu, J. Quality Assessment of Remote Sensing Image Fusion Using Feature-based Fourth-order Correlation Coefficient. J. Appl. Remote Sens. 2016, 10, 026005. [Google Scholar]
- Kang, X.; Zhang, X.; Li, S.; Li, K.; Li, J.; Benediktsson, J.A. Hyperspectral Anomaly Detection With Attribute and Edge-Preserving Filters. IEEE Trans. Geosci. Remote Sens. 2017, 55, 5600–5611. [Google Scholar] [CrossRef]
- Rodriguez, A.; Laio, A. Clustering by Fast Search and Find of Density Peaks. Science 2014, 344, 1492–1496. [Google Scholar] [CrossRef] [PubMed]
- Ferri, C.; Hernández-Orallo, J.; Flach, P. A Coherent Interpretation of AUC as a Measure of Aggregated Classification Performance. In Proceedings of the 28th International Conference on Machine Learning (ICML-11), Washington, DC, USA, 28 June–2 July 2011; pp. 657–664. [Google Scholar]









| Airport scene | ||||||
| Scene | Capture place | Sensor | Band | Resolution | Spectral band | Spectral domain |
| 1 | Los Angeles | AVIRIS | 204 | 7.1 m | 400–2500 nm | Visible and near-infrared |
| 2 | Los Angeles | AVIRIS | 205 | 7.1 m | 400–2500 nm | Visible and near-infrared |
| 3 | Los Angeles | AVIRIS | 205 | 7.1 m | 400–2500 nm | Visible and near-infrared |
| 4 | Gulfport | AVIRIS | 191 | 3.4 m | 400–2500 nm | Visible and near-infrared |
| Beach scene | ||||||
| Scene | Capture place | Sensor | Band | Resolution | Spectral band | Spectral domain |
| 1 | Cat Island | AVIRIS | 188 | 17.2 m | 400–2500 nm | Visible and near-infrared |
| 2 | San Diego | AVIRIS | 193 | 7.5 m | 400–2500 nm | Visible and near-infrared |
| 3 | Bay Champagne | AVIRIS | 188 | 4.4 m | 400–2500 nm | Visible and near-infrared |
| 4 | Pavia | ROSIS-03 | 102 | 1.3 m | 430–860nm | Visible and near-infrared |
| Urban scene | ||||||
| Scene | Capture place | Sensor | Band | Resolution | Spectral band | Spectral domain |
| 1 | Texas Coast | AVIRIS | 204 | 17.2 m | 400–2500 nm | Visible and near-infrared |
| 2 | Texas Coast | AVIRIS | 207 | 17.2 m | 400–2500 nm | Visible and near-infrared |
| 3 | Gainesville | AVIRIS | 191 | 3.5 m | 400–2500 nm | Visible and near-infrared |
| 4 | Los Angeles | AVIRIS | 205 | 7.1 m | 400–2500 nm | Visible and near-infrared |
| 5 | Los Angeles | AVIRIS | 205 | 7.1 m | 400–2500 nm | Visible and near-infrared |
| Airport-1 | Airport-2 | Airport-3 | Airport-4 | ||||||||
|---|---|---|---|---|---|---|---|---|---|---|---|
| AUC | AUC | AUC | AUC | ||||||||
| 3 | 11 | 0.9543 | 15 | 17 | 0.9699 | 11 | 17 | 0.9626 | 17 | 21 | 0.9802 |
| 3 | 13 | 0.9562 | 15 | 19 | 0.9749 | 11 | 19 | 0.9658 | 17 | 23 | 0.9826 |
| 3 | 15 | 0.9529 | 15 | 21 | 0.9733 | 13 | 15 | 0.9565 | 17 | 25 | 0.9827 |
| 5 | 11 | 0.9531 | 17 | 19 | 0.9799 | 13 | 17 | 0.9661 | 19 | 23 | 0.9836 |
| 5 | 13 | 0.9557 | 17 | 21 | 0.9746 | 13 | 19 | 0.9662 | 19 | 25 | 0.9831 |
| 5 | 15 | 0.9539 | 19 | 21 | 0.9746 | 15 | 17 | 0.9572 | 21 | 25 | 0.9818 |
| Beach-1 | Beach-2 | Beach-3 | Beach-4 | ||||||||
|---|---|---|---|---|---|---|---|---|---|---|---|
| AUC | AUC | AUC | AUC | ||||||||
| 3 | 5 | 0.9955 | 3 | 5 | 0.9866 | 3 | 13 | 0.9998 | 3 | 5 | 0.9611 |
| 3 | 13 | 0.9925 | 3 | 7 | 0.9829 | 3 | 15 | 0.9999 | 3 | 7 | 0.9514 |
| 5 | 9 | 0.9949 | 3 | 9 | 0.9699 | 3 | 17 | 0.9998 | 3 | 9 | 0.9499 |
| 5 | 11 | 0.9959 | 5 | 7 | 0.9736 | 5 | 13 | 0.9998 | 5 | 7 | 0.9696 |
| 5 | 13 | 0.9919 | 5 | 9 | 0.9618 | 5 | 15 | 0.9998 | 5 | 9 | 0.9579 |
| 7 | 11 | 0.9912 | 7 | 9 | 0.9493 | 5 | 17 | 0.9998 | 7 | 9 | 0.9667 |
| Urban-1 | Urban-2 | Urban-3 | Urban-4 | Urban-5 | ||||||||||
|---|---|---|---|---|---|---|---|---|---|---|---|---|---|---|
| AUC | AUC | AUC | AUC | AUC | ||||||||||
| 3 | 9 | 0.9985 | 13 | 17 | 0.9969 | 3 | 13 | 0.9946 | 3 | 15 | 0.9969 | 3 | 9 | 0.9871 |
| 3 | 11 | 0.9989 | 13 | 19 | 0.9983 | 3 | 15 | 0.9948 | 3 | 17 | 0.9972 | 3 | 11 | 0.9877 |
| 3 | 13 | 0.9988 | 13 | 21 | 0.9689 | 3 | 17 | 0.9945 | 3 | 19 | 0.9971 | 3 | 13 | 0.9868 |
| 5 | 9 | 0.9987 | 15 | 17 | 0.9962 | 5 | 13 | 0.9940 | 5 | 15 | 0.9967 | 5 | 9 | 0.9866 |
| 5 | 11 | 0.9989 | 15 | 19 | 0.9984 | 5 | 15 | 0.9944 | 5 | 17 | 0.9966 | 5 | 11 | 0.9868 |
| 5 | 13 | 0.9988 | 15 | 21 | 0.9752 | 5 | 17 | 0.9932 | 5 | 19 | 0.9966 | 5 | 13 | 0.9856 |
| Airport Scene | Beach Scene | Urban Scene | |||||||||
|---|---|---|---|---|---|---|---|---|---|---|---|
| Images | P | Images | P | Images | P | ||||||
| Airport-1 | 13 | 3 | 0.9 | Beach-1 | 11 | 5 | 0.8 | Urban-1 | 11 | 5 | 0.8 |
| Airport-2 | 19 | 17 | 1 | Beach-2 | 5 | 3 | 0.6 | Urban-2 | 19 | 15 | 0.8 |
| Airport-3 | 17 | 13 | 0.8 | Beach-3 | 15 | 3 | 0.8 | Urban-3 | 15 | 3 | 0.8 |
| Airport-4 | 23 | 19 | 1 | Beach-4 | 7 | 5 | 0.5 | Urban-4 | 17 | 3 | 0.8 |
| Urban-5 | 11 | 3 | 0.7 | ||||||||
| Airport Scene | |||||
| Images | SDBP-D | SDBP-S | RX | LRX | CRD |
| Airport-1 | 0.9615 | 0.9643 | 0.8226 | 0.9663 | 0.9607 |
| Airport-2 | 0.9842 | 0.9517 | 0.8406 | 0.9491 | 0.9207 |
| Airport-3 | 0.9662 | 0.9640 | 0.9289 | 0.9346 | 0.9472 |
| Airport-4 | 0.9930 | 0.9831 | 0.9521 | 0.8873 | 0.8217 |
| Average | 0.9762 | 0.9658 | 0.8861 | 0.9343 | 0.9126 |
| Beach Scene | |||||
| Images | SDBP-D | SDBP-S | RX | LRX | CRD |
| Beach-1 | 0.9959 | 0.9949 | 0.9828 | 0.9977 | 0.9672 |
| Beach-2 | 0.9876 | 0.9709 | 0.9106 | 0.9753 | 0.9221 |
| Beach-3 | 0.9999 | 0.9999 | 0.9998 | 0.9997 | 0.9991 |
| Beach-4 | 0.9763 | 0.9493 | 0.9533 | 0.9520 | 0.9009 |
| Average | 0.9899 | 0.9787 | 0.9617 | 0.9813 | 0.9474 |
| Urban Scene | |||||
| Images | SDBP-D | SDBP-S | RX | LRX | CRD |
| Urban-1 | 0.9989 | 0.9975 | 0.9906 | 0.9967 | 0.9927 |
| Urban-2 | 0.9984 | 0.9968 | 0.9946 | 0.9023 | 0.9304 |
| Urban-3 | 0.9946 | 0.9923 | 0.9512 | 0.9603 | 0.9397 |
| Urban-4 | 0.9972 | 0.9956 | 0.9887 | 0.9191 | 0.9516 |
| Urban-5 | 0.9877 | 0.9779 | 0.9693 | 0.9321 | 0.9305 |
| Average | 0.9954 | 0.9920 | 0.9788 | 0.9421 | 0.9489 |
| Airport | Beach | Urban | ||||||
|---|---|---|---|---|---|---|---|---|
| Method | AUC | Time | Method | AUC | Time | Method | AUC | Time |
| RX | 0.8861 | 0.1608 | RX | 0.9617 | 0.2655 | RX | 0.9788 | 0.3533 |
| LRX | 0.9343 | 51.69 | LRX | 0.9813 | 59.73 | LRX | 0.9421 | 57.59 |
| CRD | 0.9126 | 70.67 | CRD | 0.9474 | 108.63 | CRD | 0.9489 | 69.66 |
| SDBP-S | 0.9658 | 11846.93 | SDBP-S | 0.9787 | 2824.12 | SDBP-S | 0.9920 | 15121.68 |
| SDBP-D | 0.9762 | 2098.80 | SDBP-D | 0.9899 | 2889.40 | SDBP-D | 0.9954 | 7637.45 |
© 2019 by the authors. Licensee MDPI, Basel, Switzerland. This article is an open access article distributed under the terms and conditions of the Creative Commons Attribution (CC BY) license (http://creativecommons.org/licenses/by/4.0/).
Share and Cite
Tu, B.; Li, N.; Liao, Z.; Ou, X.; Zhang, G. Hyperspectral Anomaly Detection via Spatial Density Background Purification. Remote Sens. 2019, 11, 2618. https://doi.org/10.3390/rs11222618
Tu B, Li N, Liao Z, Ou X, Zhang G. Hyperspectral Anomaly Detection via Spatial Density Background Purification. Remote Sensing. 2019; 11(22):2618. https://doi.org/10.3390/rs11222618
Chicago/Turabian StyleTu, Bing, Nanying Li, Zhuolang Liao, Xianfeng Ou, and Guoyun Zhang. 2019. "Hyperspectral Anomaly Detection via Spatial Density Background Purification" Remote Sensing 11, no. 22: 2618. https://doi.org/10.3390/rs11222618
APA StyleTu, B., Li, N., Liao, Z., Ou, X., & Zhang, G. (2019). Hyperspectral Anomaly Detection via Spatial Density Background Purification. Remote Sensing, 11(22), 2618. https://doi.org/10.3390/rs11222618

