Performance Comparison of Machine Learning Algorithms for Estimating the Soil Salinity of Salt-Affected Soil Using Field Spectral Data
Abstract
1. Introduction
2. Materials
2.1. Study Area
2.2. Data Collection
2.3. Soil Parameters
3. Methods
3.1. Data Preprocessing Method
3.2. Machine Learning Method
3.2.1. Random Forest Regression (RFR)
- Suppose the training set size is N. The N samples are obtained via repeated multiple sampling with reset. The sampling results will be used as the training set for our decision tree;
- If there are M input variables, each node will randomly select m (m < M) variables and use these m variables to determine the best split point. During the generation of the decision tree, the value of m remains unchanged;
- Each decision tree grows as much as possible without pruning;
3.2.2. Support Vector Regression (SVR)
3.2.3. Gradient-Boosted Regression Tree (GBRT)
3.2.4. Multilayer Perceptron Regression (MLPR)
3.2.5. Least Angle Regression (Lars)
3.2.6. Ordinary Least Squares (OLS)
3.3. Model Comparison Method
3.3.1. Collinear Problems
3.3.2. Data Noise Problems
3.3.3. Stability
3.3.4. Leave-One-Out Cross-Validation Method
3.3.5. Evaluation Index
4. Results
4.1. Spectrum Analysis
4.2. Model Parameter Determination
4.3. Analysis on Collinear Problems
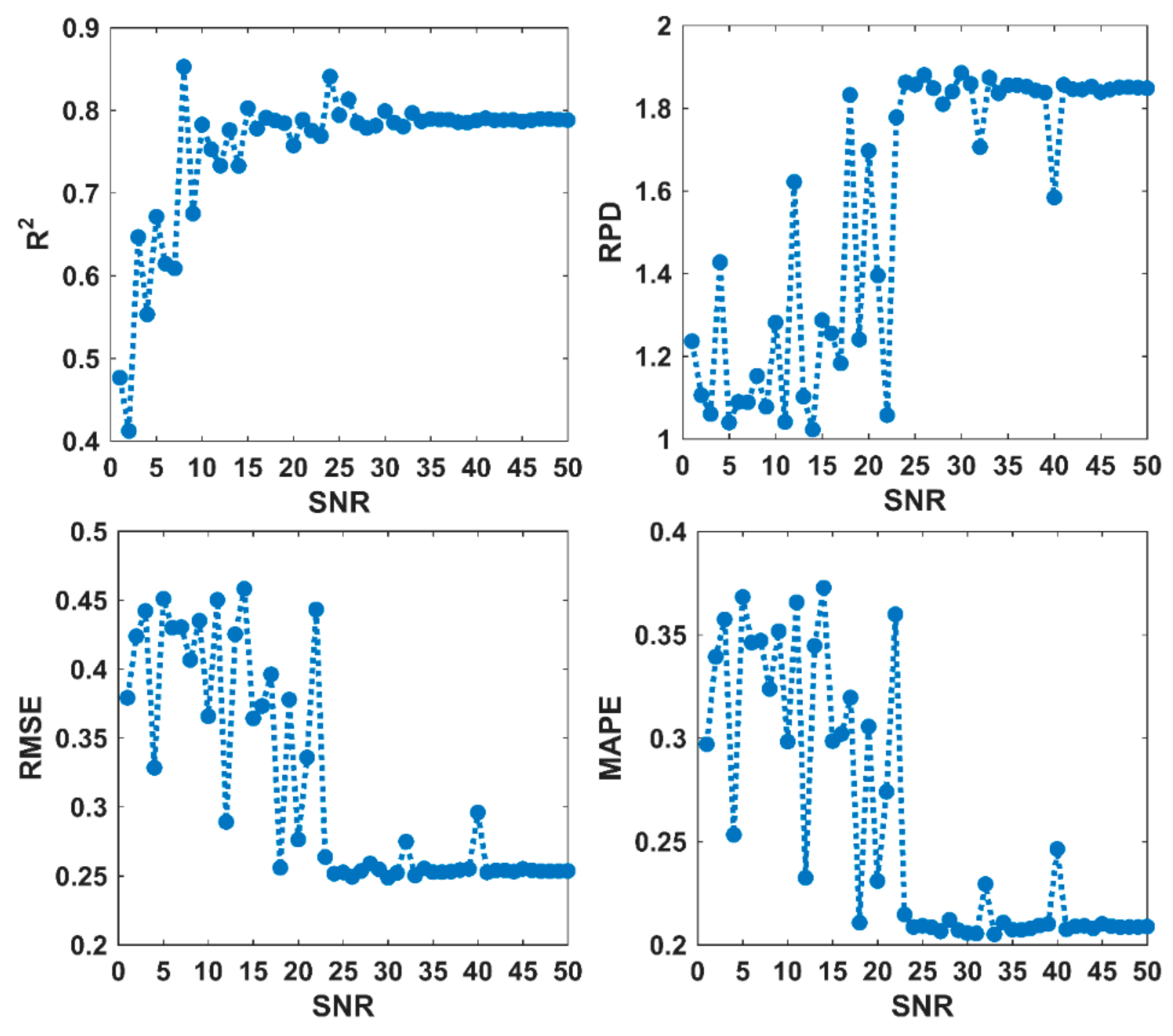
4.4. Noise Processing Performance Analysis
4.5. Stability Analysis
4.6. Precision Analysis
5. Discussion
5.1. Band Analysis
5.2. Comprehensive Comparison of Models
5.3. The Best Precision Model—Lars Model Depth Analysis
5.4. Comparison of Traditional Methods and Machine Learning Methods
5.5. Spectral Difference Analysis Before and After Soil Disturbance
6. Conclusions
Supplementary Materials
Supplementary File 1Author Contributions
Funding
Conflicts of Interest
References
- Zhu, J.K. Plant salt tolerance. Trends Plant Sci. 2001, 6, 66–71. [Google Scholar] [CrossRef]
- Nurmemet, I.; Sagan, V.; Ding, J.L.; Halik, U.; Abliz, A.; Yakup, Z. A WFS-SVM Model for Soil Salinity Mapping in Keriya Oasis, Northwestern China Using Polarimetric Decomposition and Fully PolSAR Data. Remote Sens. 2018, 10, 598. [Google Scholar] [CrossRef]
- Gorji, T.; Sertel, E.; Tanik, A. Monitoring soil salinity via remote sensing technology under data scarce conditions: A case study from Turkey. Ecol. Indic. 2017, 74, 384–391. [Google Scholar] [CrossRef]
- Jiang, H.; Rusuli, Y.; Amuti, T.; He, Q. Quantitative assessment of soil salinity using multi-source remote sensing data based on the support vector machine and artificial neural network. Int. J. Remote Sens. 2019, 40, 284–306. [Google Scholar] [CrossRef]
- Zhang, J.F.; Li, W.Y.; Hu, H.; Chen, W.Z.; Wang, X.L. Current status and prospects of research on saline-alkali land improvement. Jiangsu Agric. Sci. 2007, 45, 7–10. [Google Scholar]
- Fan, X.W.; Liu, Y.B.; Tao, J.M.; Weng, Y.L. Soil Salinity Retrieval from Advanced Multi-Spectral Sensor with Partial Least Square Regression. Remote Sens. 2015, 7, 488–511. [Google Scholar] [CrossRef]
- Abbas, A.; Khan, S.; Hussain, N.; Hanjra, M.A.; Akbar, S. Characterizing soil salinity in irrigated agriculture using a remote sensing approach. Phys. Chem. Earth 2013, 55, 43–52. [Google Scholar] [CrossRef]
- Nawar, S.; Buddenbaum, H.; Hill, J.; Kozak, K. Modeling and Mapping of Soil Salinity with Reflectance Spectroscopy and Landsat Data Using Two Quantitative Methods (PLSR and MARS). Remote Sens. 2014, 6, 10813–10834. [Google Scholar] [CrossRef]
- Dehni, A.; Lounis, M. Remote Sensing Techniques for Salt Affected Soil Mapping: Application to the Oran Region of Algeria. Procedia Eng. 2012, 33, 188–198. [Google Scholar] [CrossRef]
- Verma, K.S.; Saxena, R.K.; Barthwal, A.K.; Deshmukh, S.N. Remote sensing technique for mapping salt affected soils. Int. J. Remote Sens. 1994, 15, 1901–1914. [Google Scholar] [CrossRef]
- Zhang, T.T.; Zeng, S.L.; Gao, Y.; Ouyang, Z.T.; Li, B.; Fang, C.M.; Zhang, B. Using hyperspectral vegetation indices as a proxy to monitor soil salinity. Ecol. Indic. 2010, 11, 1552–1562. [Google Scholar] [CrossRef]
- Dehaan, R.L.; Taylor, G.R. Field-derived spectra of salinized soils and vegetation as indicators of irrigation-induced soil salinization. Remote Sens. Environ. 2002, 80, 406–417. [Google Scholar] [CrossRef]
- An, D.Y.; Zhao, G.X.; Chang, C.Y.; Wang, Z.R.; Li, P.; Zhang, T.R.; Jia, J.C. Hyperspectral field estimation and remote-sensing inversion of salt content in coastal saline soils of the Yellow River Delta. J. Remote Sens. 2016, 37, 455–470. [Google Scholar] [CrossRef]
- Weng, Y.L.; Gong, P.; Zhu, Z.L. Reflectance spectroscopy for the assessment of soil salt content in soils of the Yellow River Delta of China. J. Remote Sens. 2008, 29, 5511–5531. [Google Scholar] [CrossRef]
- Scudiero, E.; Skaggs, T.H.; Corwin, D.L. Regional-scale soil salinity assessment using Landsat ETM + canopy reflectance. Remote Sens. Environ. 2015, 169, 335–343. [Google Scholar] [CrossRef]
- Aldabaa, A.A.A.; Weindorf, D.C.; Chakraborty, S.; Sharma, A.; Li, B. Combination of proximal and remote sensing methods for rapid soil salinity quantification. Geoderma 2015, 239, 34–46. [Google Scholar] [CrossRef]
- Bouaziz, M.; Matschullat, J.; Gloaguen, R. Improved remote sensing detection of soil salinity from a semi-arid climate in Northeast Brazil. C. R. Geosci. 2011, 343, 795–803. [Google Scholar] [CrossRef]
- Dutkiewicz, A.; Lewis, M.; Ostendorf, B. Evaluation and comparison of hyperspectral imagery for mapping surface symptoms of dryland salinity. J. Remote Sens. 2009, 30, 693–719. [Google Scholar] [CrossRef]
- Ghosh, G.; Kumar, S.; Saha, S.K. Hyperspectral Satellite Data in Mapping Salt-Affected Soils Using Linear Spectral Unmixing Analysis. J. Indian Soc. Remote Sens. 2012, 40, 129–136. [Google Scholar] [CrossRef]
- Mashimbye, Z.E.; Cho, M.A.; Nell, J.P.; De Clercq, W.P.; Van Niekerk, A.; Turner, D.P. Model-Based Integrated Methods for Quantitative Estimation of Soil Salinity from Hyperspectral Remote Sensing Data: A Case Study of Selected South African Soils. Pedosphere 2012, 22, 640–649. [Google Scholar] [CrossRef]
- Farifteh, J.; Der Meer, F.D.; Atzberger, C.; Carranza, E.J. Quantitative analysis of salt-affected soil reflectance spectra: A comparison of two adaptive methods (PLSR and ANN). Remote Sens. Environ. 2007, 110, 59–78. [Google Scholar] [CrossRef]
- Abliz, A.; Tiyip, T.; Ding, J.; Sawut, M.; Hou, Y.J.; Nurmemet, I. Estimating Soil Salt Content in the Keriya Oasis Using Hyperspectral Slope Index. Nat. Enviro. Pollut. Technol. 2017, 16, 141–146. [Google Scholar]
- Eldiery, A.; Garcia, R.M.; Reich, R.M. Estimating Soil Salinity from Remote Sensing Data in Corn Fields. Hydrology 2005, 8, 31–42. [Google Scholar]
- Marabel, M.; Alvareztaboada, F. Spectroscopic Determination of Aboveground Biomass in Grasslands Using Spectral Transformations, Support Vector Machine and Partial Least Squares Regression. Sensors 2013, 13, 10027–10051. [Google Scholar] [CrossRef] [PubMed]
- Eldeiry, A.A.; Garcia, L.A. Detecting Soil Salinity in Alfalfa Fields using Spatial Modeling and Remote Sensing. Soil Sci. Soc. Am. J. 2008, 72, 201–211. [Google Scholar] [CrossRef]
- Gomez, C.; Rossel, R.A.; Mcbratney, A.B. Soil organic carbon prediction by hyperspectral remote sensing and field vis-NIR spectroscopy an Australian case study. Geoderma 2008, 146, 403–411. [Google Scholar] [CrossRef]
- Hansen, P.M.; Schjoerring, J.K. Reflectance measurement of canopy biomass and nitrogen status in wheat crops using normalized difference vegetation indices and partial least squares regression. Remote Sens. Environ. 2003, 86, 542–553. [Google Scholar] [CrossRef]
- Shi, Z.; Ji, W.; Rossel, R.A.; Chen, S.; Zhou, Y. Prediction of soil organic matter using a spatially constrained local partial least squares regression and the Chinese vis–NIR spectral library. Eur. J. Soil Sci. 2015, 66, 679–687. [Google Scholar] [CrossRef]
- Peng, J.; Biswas, A.; Jiang, Q.S.; Zhao, R.Y.; Hu, J.; Hu, B.F.; Shi, Z. Estimating soil salinity from remote sensing and terrain data in southern Xinjiang Province, China. Geoderma 2019, 337, 1309–1319. [Google Scholar] [CrossRef]
- Alpaydin, E. Introduction to Machine Learning, 2nd ed.; MIT Press: Cambridge, MA, USA, 2004; pp. 1–10. [Google Scholar]
- Ahmad, S.; Kalra, A.; Stephen, H. Estimating soil moisture using remote sensing data: A machine learning approach. Adv. Water Resour. 2010, 33, 69–80. [Google Scholar] [CrossRef]
- Hladik, C.M.; Schalles, J.F.; Alber, M. Salt Marsh Elevation and Habitat Mapping Using Hyperspectral and LIDAR Data. Remote Sens. Environ. 2013, 139, 318–330. [Google Scholar] [CrossRef]
- Pang, G.J.; Wang, T.; Liao, J.; Li, S. Quantitative Model Based on Field-Derived Spectral Characteristics to Estimate Soil Salinity in Minqin County, China. Soil Sci. Soc. Am. J. 2014, 78, 546–555. [Google Scholar] [CrossRef]
- Wang, J.Z.; Ding, J.L.; Abulimiti, A.; Cai, L.H. Quantitative estimation of soil salinity by means of different modeling methods and visible-near infrared (VIS–NIR) spectroscopy, Ebinur Lake Wetland, Northwest China. PeerJ 2018, 6, e4703. [Google Scholar] [CrossRef] [PubMed]
- Wu, J.B.; Wang, X.Y. A target level detection method for saline land change in Shizuishan area, Ningxia. J. Shanxi Norm. Univ. (Nat. Sci. Ed.) 2018, 46, 104–109. [Google Scholar]
- Shui, Y.; Xu, Z.H.; Liu, G.F. Effect of depth on bacterial diversity in saline-alkali soil in Shizuishan region in Ningxia. Acta Ecol. Sin. 2019, 39, 3597–3606. [Google Scholar]
- Wang, S.J.; Chen, Y.H.; Wang, M.G.; Zhao, Y.F.; Li, J. SPA-based methods for the quantitative estimation of the soil salt content in saline-alkali land from field spectroscopy data: A case study from the Yellow River irrigation regions. Remote Sens. 2019, 11, 967. [Google Scholar] [CrossRef]
- Pelta, R.; Carmon, N.; Bendor, E. A machine learning approach to detect crude oil contamination in a real scenario using hyperspectral remote sensing. Int. J. Appl. Earth Obs. Geoinf. 2019, 82, 101901. [Google Scholar] [CrossRef]
- Scafutto, R.D.M.S.; Filho, C.R.D.S.; Rivard, B. Characterization of mineral substrates impregnated with crude oils using proximal infrared hyperspectral imaging. Remote Sens. Environ. 2016, 179, 116–130. [Google Scholar] [CrossRef]
- Yu, L.; Hong, Y.S.; Zhu, Y.X.; Huang, P.; He, Q.; Qi, F. Removing the effect of soil moisture content on hyperspectral reflectance for the estimation of soil organic matter content. Spectrosc. Spectr. Anal. 2017, 37, 2146–2151. [Google Scholar]
- He, Y.; Liu, F.; Li, X.L.; Shao, Y.N. Spectroscopy and Imaging Technology in Agriculture; Science Press: Beijing, China, 2016; pp. 106–107. [Google Scholar]
- Barnes, R.J.; Dhanoa, M.S.; Lister, S.J. Standard normal variate transformation and de-trending of near-infared diffuse reflectance spectra. Appl. Spectrosc. 1989, 43, 772–777. [Google Scholar] [CrossRef]
- Breiman, L. Random Forests. Mach. Learn. 2001, 45, 5–32. [Google Scholar] [CrossRef]
- What Is the Difference between Bagging and Boosting? Available online: https://quantdare.com/what-is-the-difference-between-bagging-and-boosting/ (accessed on 10 April 2019).
- Mutanga, O.; Adam, E.; Cho, M.A. High density biomass estimation for wetland vegetation using WorldView-2 imagery and random forest regression algorithm. Int. J. Appl. Earth Obs. Geoinf. 2012, 18, 399–406. [Google Scholar] [CrossRef]
- Rodriguezgaliano, V.F.; Sanchezcastillo, M.; Chicaolmo, M.; Chicarivas, M. Machine learning predictive models for mineral prospectivity: An evaluation of neural networks, random forest, regression trees and support vector machines. Ore Geol. Rev. 2015, 71, 804–818. [Google Scholar] [CrossRef]
- Pedregosa, F.; Varoquaux, G.; Gramfort, A.; Michel, V.; Thirion, B.; Grisel, O.; Blondel, M.; Prettenhofer, P.; Weiss, R.J.; Dubourg, V.; et al. Scikit-learn: Machine Learning in Python. J. Mach. Learn. Res. 2011, 12, 2825–2830. [Google Scholar]
- Smola, A.J.; Scholkopf, B. A tutorial on support vector regression. Stat. Comput. 2004, 14, 199–222. [Google Scholar] [CrossRef]
- Pasolli, L.; Notarnicola, C.; Bruzzone, L. Estimating Soil Moisture with the Support Vector Regression Technique. IEEE Geosci. Remote Sens. Lett. 2011, 8, 1080–1084. [Google Scholar] [CrossRef]
- Liang, D.; Guang, Q.S.; Huang, W.J.; Huang, L.S.; Yang, G.J. Remote sensing inversion of leaf area index based on support vector machine regression in winter wheat. Trans. Chin. Soc. Agric. Eng. (Trans. CSAE) 2013, 29, 117–123. [Google Scholar]
- Zhai, Y.F.; Cui, L.J.; Zhou, X.; Gao, Y.; Fei, T.; Gao, W.X. Estimation of nitrogen, phosphorus, and potassium contents in the leaves of different plants using laboratory-based visible and near-infrared reflectance spectroscopy: Comparison of partial least-square regression and support vector machine regression methods. Int. J. Remote Sens. 2013, 34, 2502–2518. [Google Scholar]
- Friedman, J.H. Greedy function approximation: A Gradient Boosting Machine. Ann. Stat. 2001, 29, 1189–1232. [Google Scholar] [CrossRef]
- Mohan, A.; Chen, Z.; Weinberger, K. Web-Search Ranking with Initialized Gradient Boosted Regression Tress. JMLR Workshop Conf. Proc. 2011, 14, 77–89. [Google Scholar]
- Greg, R. Generalized Boosted Models: A Guide to the GBM Package. Compute 2005, 1, 1–12. [Google Scholar]
- Tomassetti, B.; Verdecchia, M.; Giorgi, F. NN5: A neural network based approach for the downscaling of precipitation fields -Model description and preliminary results. J. Hydrol. 2009, 367, 14–26. [Google Scholar] [CrossRef]
- Choubin, B.; Khalighisigaroodi, S.; Malekian, A.; Kisi, O. Multiple linear regression, multi-layer perceptron network and adaptive neuro-fuzzy inference system for forecasting precipitation based on large-scale climate signals. Hydrol. Sci. J.-J. Des. Sci. Hydrol. 2016, 61, 1001–1009. [Google Scholar] [CrossRef]
- Hu, X.F.; Weng, Q.H. Estimating impervious surfaces from medium spatial resolution imagery using the self-organizing map and multi-layer perceptron neural networks. Remote Sens. Environ. 2009, 113, 2089–2102. [Google Scholar] [CrossRef]
- Augugliaro, L.; Mineo, A.M.; Wit, E. Differential geometric least angle regression: A differential geometric approach to sparse generalized linear models. J. R. Stat. Soc. Ser. B-Stat. Methodol. 2013, 75, 471–498. [Google Scholar] [CrossRef]
- Feng, R.Y.; Wang, L.Z.; Zhong, Y.F. Least Angle Regression-Based Constrained Sparse Unmixing of Hyperspectral Remote Sensing Imagery. Remote Sens. 2018, 10, 1546. [Google Scholar] [CrossRef]
- Coxeter, H.S.M. A problem of collinear points. Am. Math. Mon. 1948, 55, 26–28. [Google Scholar] [CrossRef]
- Zhao, Y.S. Principles and Methods of Remote Sensing Application Analysis, 2nd ed.; Science Press: Beijing, China, 2013; pp. 19–33. [Google Scholar]
- Yuan, H.H.; Yang, G.J.; Li, C.C.; Wang, Y.J.; Liu, J.G.; Yu, H.Y.; Feng, H.K.; Xu, B.; Zhao, X.Q.; Yang, X.D. Retrieving Soybean Leaf Area ndex from Unmanned Aerial Vehicle Hyperspectral Remote Sensing: Analysis of RF, ANN, and SVM Regression Models. Remote Sens. 2017, 9, 309. [Google Scholar] [CrossRef]
- Cawley, G.C.; Talbot, N.L. Efficient leave-one-out cross-validation of kernel Fisher discriminant classifiers. Pattern Recognit. 2003, 36, 2585–2592. [Google Scholar] [CrossRef]
- Paulus, S.; Schumann, H.; Kuhlmann, H.; Leon, J. High-precision laser scanning system for capturing 3D plant architecture and analysing growth of cereal plants. Biosyst. Eng. 2014, 121, 1–11. [Google Scholar] [CrossRef]
- Csillag, F.; Pasztor, L.; Biehl, L.L. Spectral band selection for the characterization of salinity status of soil. Remote Sens. Environ. 1993, 43, 231–242. [Google Scholar] [CrossRef]
- Shi, Z.; Cheng, J.L.; Huang, M.X.; Zhou, L.Q. Assessing reclamation levels of coastal saline lands with integrated stepwise discriminant analysis and laboratory hyperspectral data. Pedosphere 2006, 16, 154–160. [Google Scholar] [CrossRef]
- Wang, Q.; Li, P.H.; Chen, X. Modeling salinity effects on soil reflectance under various moisture conditions and its inverse application: A laboratory experiment. Geoderma 2012, 170, 103–111. [Google Scholar] [CrossRef]
- Sidike, A.; Zhao, S.; Wen, Y. Estimating soil salinity in Pingluo County of China using Quickbird data and soil reflectance spectra. Int. J. Appl. Earth Obs. Geoinf. 2014, 26, 156–175. [Google Scholar] [CrossRef]
- Srivastava, R.; Sethi, M.; Yadav, R.K.; Bundela, D.S.; Singh, M.; Chattaraj, S.; Singh, S.K.; Nasre, R.A.; Bishnoi, S.R.; Dhale, S.; et al. Visible-near infrared reflectance spectroscopy for rapid characterization of salt-affected soil in the Indo-Gangetic Plains of Haryana, India. J. Indian Soc. Remote Sens. 2017, 45, 307–315. [Google Scholar] [CrossRef]
- Ma, M.H.; Liu, C.J.; Zhao, G.; Xie, H.J.; Jia, P.F.; Wang, D.C.; Wang, H.X.; Hong, Y. Flash Flood Risk Analysis Based on MachineLearning Techniques in the Yunnan Province, China. Remote Sens. 2019, 11, 170. [Google Scholar] [CrossRef]


















| Attributes | SVC HR-1024i |
|---|---|
| Spectral range | 350 nm–2500 nm |
| Spectral resolution | Silicon array ≤ 3.5 nm |
| InGaAs array ≤ 9.5 nm | |
| Extended InGaAs array ≤ 6.5 nm | |
| Number of bands | 1024 |
| Field of view | 25° |
| PH | Salt Content | ||||||||||
|---|---|---|---|---|---|---|---|---|---|---|---|
| Unit | 1 | mg/kg | mg/kg | mg/kg | mg/kg | mg/kg | mg/kg | mg/kg | mg/kg | mg/kg | mg/kg |
| Min | 7.53 | 2919.76 | 327.71 | 28.40 | 43.75 | 187.15 | 178.39 | 22.94 | 14.64 | 0.00 | 145.69 |
| Max | 9.98 | 290857.70 | 87551.62 | 370.24 | 7508.08 | 9416.35 | 89678.66 | 2701.86 | 98199.80 | 3133.70 | 891.37 |
| Mean | 8.56 | 43827.40 | 12840.01 | 101.25 | 1263.77 | 3291.60 | 12103.64 | 502.78 | 13715.98 | 63.81 | 321.44 |
| Model | Parameters |
|---|---|
| RFR | n_estimators=2500,min_samples_split=13,max_features=“sqrt”,oob_score=True |
| SVR | kernel=‘linear’, C=15 |
| GBRT | n_estimators=500, learning_rate=0.1, subsample=0.5, min_samples_split=20, max_depth=4, random_state=0, loss=‘huber’ |
| MLPR | hidden_layer_sizes=(100,),activation=‘tanh’, random_state=1 |
| Lars | n_nonzero_coefs=1 |
| Data | Δ | RFR | SVC | GBRT | MLPR | Lars |
|---|---|---|---|---|---|---|
| 3/4 | ΔRMSE | 0.028 | 0.049 | 0.037 | 0.154 | 0.101 |
| ΔMAPE | 0.045 | 0.107 | 0.074 | 0.111 | 0.111 | |
| ΔRPD | 0.099 | 0.008 | 0.054 | 1.108 | 0.238 | |
| Δ | 0.050 | 0.096 | 0.043 | 0.021 | 0.102 | |
| 2/4 | ΔRMSE | 0.107 | 0.073 | 0.202 | 0.071 | 0.079 |
| ΔMAPE | 0.143 | 0.135 | 0.191 | 0.028 | 0.116 | |
| ΔRPD | 0.462 | 0.250 | 0.682 | 0.369 | 0.277 | |
| Δ | 0.177 | 0.071 | 0.437 | 0.207 | 0.089 | |
| 1/4 | ΔRMSE | 0.282 | 0.085 | 0.265 | 0.026 | 0.111 |
| ΔMAPE | 0.196 | 0.090 | 0.203 | 0.039 | 0.077 | |
| ΔRPD | 0.894 | 0.265 | 0.783 | 0.039 | 0.361 | |
| Δ | 0.296 | 0.082 | 0.642 | 0.502 | 0.166 |
| Model | Collinear | Noise | Stability | Precision | Comprehensive |
|---|---|---|---|---|---|
| RFR | 5 | 4 | 3 | 3 | 15 |
| SVR | 2 | 2 | 5 | 4 | 13 |
| GBRT | 3 | 1 | 1 | 1 | 6 |
| MLPR | 1 | 5 | 4 | 2 | 12 |
| Lars | 4 | 3 | 2 | 5 | 14 |
© 2019 by the authors. Licensee MDPI, Basel, Switzerland. This article is an open access article distributed under the terms and conditions of the Creative Commons Attribution (CC BY) license (http://creativecommons.org/licenses/by/4.0/).
Share and Cite
Wang, S.; Chen, Y.; Wang, M.; Li, J. Performance Comparison of Machine Learning Algorithms for Estimating the Soil Salinity of Salt-Affected Soil Using Field Spectral Data. Remote Sens. 2019, 11, 2605. https://doi.org/10.3390/rs11222605
Wang S, Chen Y, Wang M, Li J. Performance Comparison of Machine Learning Algorithms for Estimating the Soil Salinity of Salt-Affected Soil Using Field Spectral Data. Remote Sensing. 2019; 11(22):2605. https://doi.org/10.3390/rs11222605
Chicago/Turabian StyleWang, Sijia, Yunhao Chen, Mingguo Wang, and Jing Li. 2019. "Performance Comparison of Machine Learning Algorithms for Estimating the Soil Salinity of Salt-Affected Soil Using Field Spectral Data" Remote Sensing 11, no. 22: 2605. https://doi.org/10.3390/rs11222605
APA StyleWang, S., Chen, Y., Wang, M., & Li, J. (2019). Performance Comparison of Machine Learning Algorithms for Estimating the Soil Salinity of Salt-Affected Soil Using Field Spectral Data. Remote Sensing, 11(22), 2605. https://doi.org/10.3390/rs11222605

