Crop Yield Estimation Using Time-Series MODIS Data and the Effects of Cropland Masks in Ontario, Canada
Abstract
:1. Introduction
2. Materials and Methods
2.1. Study Area
2.2. Crop Data
2.3. Time-Series MODIS Data Processing
2.3.1. Calculation of the Two-Band Enhanced Vegetation Index (EVI2)
2.3.2. Crop Masks
2.3.3. Extraction of County Level Average EVI2
2.4. Modeling for Yield Estimation
3. Results
3.1. Crop Classification
3.2. Seasonal Variation of Linear Correlation Between EVI2 and Crop Yields
3.3. Inter-Annual Variability of the Linear Relationships
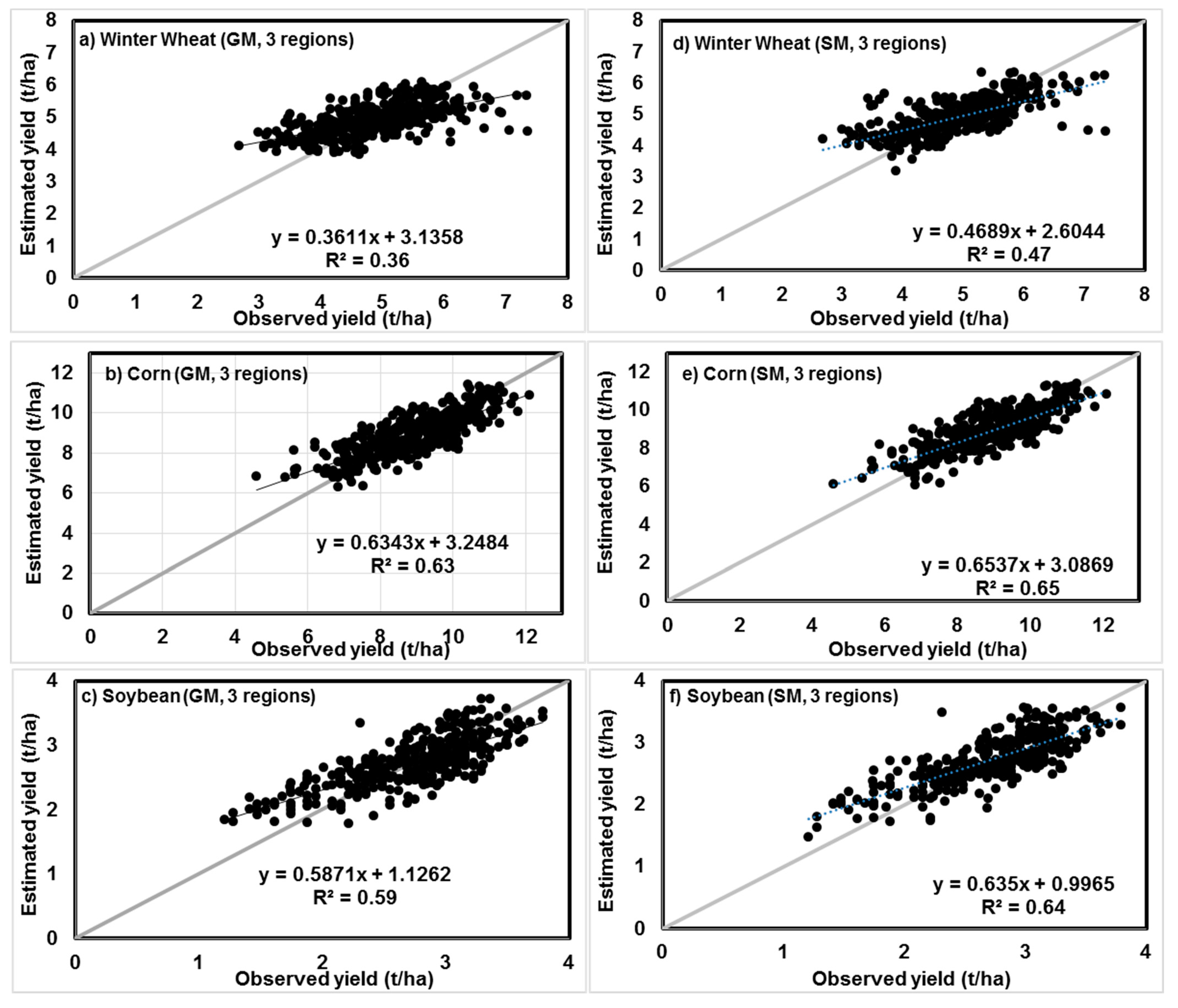
3.4. Yield Estimation Using a Multiple Linear Regression Model
4. Discussion
4.1. Discrimination of Major Crops
4.2. Issues with Crop Yield Estimation in Areas with Mixed Cropping System
4.3. Issues with Yield Estimation across Different Years
4.4. Inter-Annual Variability of the Relationships between EVI2 and Crop Yields
5. Conclusions
Author Contributions
Funding
Conflicts of Interest
References
- Johnson, D.M. An assessment of pre- and within-season remotely sensed variables for forecasting corn and soybean yields in the united states. Remote Sens. Environ. 2014, 141, 116–128. [Google Scholar] [CrossRef]
- Drury, C.F.; Yang, J.; DeJong, R.; Huffman, E.C.; Reid, K.; Yang, X.M.; Bittman, S.; Desjardins, R.L. Residual soil nitrogen indicator. In Environmental Sustainability of Canadian Agriculture: Agri-Environmental Indicator Report Series—Report #4; Clearwater, R.L., Martin, T., Hoppe, T., Eds.; Agriculture and Agri-Food Canada: Ottawa, ON, Canada, 2016; pp. 115–120. [Google Scholar]
- Huffman, T.; Liu, J. Soil cover. In Environmental Sustainability of Canadian Agriculture: Agri-Environmental Indicator Report Series—Report #4; Clearwater, R.L., Martin, T., Hoppe, T., Eds.; Agriculture and Agri-Food Canada: Ottawa, ON, Canada, 2016; pp. 53–63. [Google Scholar]
- Liu, J.; Huffman, T.; Green, M. Potential impacts of agricultural land use on soil cover in response to bioenergy production in canada. Land Use Policy 2018, 75, 33–42. [Google Scholar] [CrossRef]
- Desjardins, R.L.; Worth, D.E.; Verge, X.; Maxime, D.; VanderZaag, A.C.; Dyer, J.A.; Arcand, Y. Greenhouse gas emission intensities of agricultural products. In Environmental Sustainability of Canadian Agriculture: Agri-Environmental Indicator Report Series—Report #4; Clearwater, R.L., Martin, T., Hoppe, T., Eds.; Agriculture and Agri-Food Canada: Ottawa, ON, Canada, 2016; pp. 211–222. [Google Scholar]
- Balaghi, R.; Tychon, B.; Eerens, H.; Jlibene, M. Empirical regression models using ndvi, rainfall and temperature data for the early prediction of wheat grain yields in morocco. Int. J. Appl. Earth Obs. Geoinf. 2008, 10, 438–452. [Google Scholar] [CrossRef]
- Wall, L.; Larocque, D.; Léger, P.-M. The early explanatory power of ndvi in crop yield modelling. Int. J. Remote Sens. 2008, 29, 2211–2225. [Google Scholar] [CrossRef]
- Prasad, A.K.; Chai, L.; Singh, R.P.; Kafatos, M. Crop yield estimation model for iowa using remote sensing and surface parameters. Int. J. Appl. Earth Obs. Geoinf. 2006, 8, 26–33. [Google Scholar] [CrossRef]
- Asner, G.P. Biophysical and biochemical sources of variability in canopy reflectance. Remote Sens. Environ. 1998, 64, 234–253. [Google Scholar] [CrossRef]
- Myneni, R.B.; Williams, D.L. On the relationship between fapar and ndvi. Remote Sens. Environ. 1994, 49, 200–211. [Google Scholar] [CrossRef]
- Viña, A.; Gitelson, A.A. New developments in the remote estimation of the fraction of absorbed photosynthetically active radiation in crops. Geophys. Res. Lett. 2005, 32. [Google Scholar] [CrossRef]
- Hatfield, J.L. Radiation use efficiency: Evaluation of cropping and management systems. Agron. J. 2014, 106, 1820–1827. [Google Scholar] [CrossRef]
- Liu, J.; Pattey, E.; Miller, J.R.; McNairn, H.; Smith, A.; Hu, B. Estimating crop stresses, aboveground dry biomass and yield of corn using multi-temporal optical data combined with a radiation use efficiency model. Remote Sens. Environ. 2010, 114, 1167–1177. [Google Scholar] [CrossRef]
- Jégo, G.; Pattey, E.; Liu, J. Using leaf area index, retrieved from optical imagery, in the stics crop model for predicting yield and biomass of field crops. Field Crop. Res. 2012, 131, 63–74. [Google Scholar] [CrossRef]
- Jégo, G.; Pattey, E.; Mesbah, M.; Liu, J.; Duchesne, I. Impact of the spatial resolution of climatic data and soil physical properties on regional corn yield predictions using the stics crop model. Int. J. Appl. Earth Obs. Geoinf. 2015, 41, 11–22. [Google Scholar] [CrossRef]
- Fang, H.; Liang, S.; Hoogenboom, G.; Teasdale, J.; Cavigelli, M. Corn-yield estimation through assimilation of remotely sensed data into the csm-ceres-maize model. Int. J. Remote Sens. 2008, 29, 3011–3032. [Google Scholar] [CrossRef]
- Dong, T.; Liu, J.; Qian, B.; Zhao, T.; Jing, Q.; Geng, X.; Wang, J.; Shang, J.; Huffman, T. Estimating winter wheat biomass by assimilating leaf area index derived from fusion of landsat-8 and modis data. Int. J. Appl. Earth Obs. Geoinf. 2016, 49, 63–74. [Google Scholar] [CrossRef]
- Wiegand, C.L.; Richardson, A.J.; Jackson, R.D.; Pinter, P.J., Jr.; Aase, J.K.; Smika, D.E.; Lautenschlager, L.F.; McMurtrey, J.E., III. Development of agrometeorologlcal crop model inputs from remotely sensed information. IEEE Trans. Geosci. Remote Sens. 1986, 24, 90–98. [Google Scholar] [CrossRef]
- Doraiswamy, P.C.; Hatfield, J.L.; Jackson, T.J.; Akhmedoc, B.; Prueger, J.; Stern, A. Crop condition and yield simulations using landsat and modis. Remote Sens. Environ. 2004, 92, 548–559. [Google Scholar] [CrossRef]
- Funk, C.; Budde, M.E. Phenologically-tuned modis ndvi-based production anomaly estimates for zimbabwe. Remote Sens. Environ. 2009, 113, 115–125. [Google Scholar] [CrossRef]
- Mkhabela, M.S.; Bullock, P.; Raj, S.; Wang, S.; Yang, Y. Crop yield forecasting on the canadian prairies using modis ndvi data. Agric. For. Meteorol. 2011, 151, 385–393. [Google Scholar] [CrossRef]
- Shanahan, J.F.; Schepers, J.S.; Francis, D.D.; Varvel, G.E.; Wilhelm, W.W.; Tringe, J.M.; Schlemmer, M.R.; Major, D.J. Use of remote-sensing imagery to estimate corn grain yield. Agron. J. 2001, 93, 583–589. [Google Scholar] [CrossRef]
- Benedetti, R.; Rossini, P. On the use of ndvi profiles as a tool for agricultural statistics: The case study of wheat yield estimate and forecast in emilia romagna. Remote Sens. Environ. 1993, 45, 311–326. [Google Scholar] [CrossRef]
- Chipanshi, A.; Zhang, Y.; Kouadio, L.; Newlands, N.; Davidson, A.; Hill, H.; Warren, R.; Qian, B.; Daneshfar, B.; Bedard, F.; et al. Evaluation of the integrated canadian crop yield forecaster (iccyf) model for in-season prediction of crop yield across the canadian agricultural landscape. Agric. For. Meteorol. 2015, 206, 137–150. [Google Scholar] [CrossRef]
- Rasmussen, M.S. Operational yield forecast using avhrr ndvi data: Reduction of environmental and inter-annual variability. Int. J. Remote Sens. 1997, 18, 1059–1077. [Google Scholar] [CrossRef]
- Rasmussen, M.S. Developing simple, operational, consistent ndvi-vegetation models by applying environmental and climatic information. Part II: Crop yield assessment. Int. J. Remote Sens. 1998, 19, 119–139. [Google Scholar] [CrossRef]
- Feng, G.; Masek, J.; Schwaller, M.; Hall, F. On the blending of the landsat and modis surface reflectance: Predicting daily landsat surface reflectance. IEEE Trans. Geosci. Remote Sens. 2006, 44, 2207–2218. [Google Scholar] [CrossRef]
- Gao, F.; Anderson, M.; Daughtry, C.; Johnson, D. Assessing the variability of corn and soybean yields in central iowa using high spatiotemporal resolution multi-satellite imagery. Remote Sens. 2018, 10, 1489. [Google Scholar] [CrossRef]
- Liao, C.; Wang, J.; Pritchard, I.; Liu, J.; Shang, J. A spatio-temporal data fusion model for generating NDVI time series in heterogeneous regions. Remote Sens. 2017, 9, 1125. [Google Scholar] [CrossRef]
- Huffman, T.; Liu, J.; Green, M.; Coote, D.; Li, Z.; Liu, H.; Liu, T.; Zhang, X.; Du, Y. Improving and evaluating the soil cover indicator for agricultural land in canada. Ecol. Indic. 2015, 48, 272–281. [Google Scholar] [CrossRef]
- Liu, J.; Huffman, T.; Shang, J.; Qian, B.; Dong, T.; Zhang, Y. Identifying major crop types in eastern canada using a fuzzy decision tree classifier and phenological indicators derived from time series modis data. Can. J. Remote Sens. 2016, 42, 259–273. [Google Scholar] [CrossRef]
- Ecological Stratification Working Group (Canada). A National Ecological Framework for Canada; State of the Environment Directorate: Hull, QC, Canada, 1996.
- Jiang, Z.; Huete, A.; Didan, K.; Miura, T. Development of a two-band enhanced vegetation index without a blue band. Remote Sens. Environ. 2008, 112, 3833–3845. [Google Scholar] [CrossRef]
- Liu, J.; Pattey, E.; Jégo, G. Assessment of vegetation indices for regional crop green lai estimation from landsat images over multiple growing seasons. Remote Sens. Environ. 2012, 123, 347–358. [Google Scholar] [CrossRef]
- Shang, J.; Liu, J.; Huffman, T.; Qian, B.; Pattey, E.; Wang, J.; Zhao, T.; Geng, X.; Kroetsch, D.; Dong, T.; et al. Estimating plant area index for monitoring crop growth dynamics using landsat-8 and rapideye images. J. Appl. Remote Sens. 2014, 8, 085196. [Google Scholar] [CrossRef]
- Son, N.T.; Chen, C.F.; Chen, C.R.; Minh, V.Q.; Trung, N.H. A comparative analysis of multitemporal modis evi and NDVI data for large-scale rice yield estimation. Agric. For. Meteorol. 2014, 197, 52–64. [Google Scholar] [CrossRef]
- Eklundh, L.; Jönsson, P. Timesat 3.1 Software Manual; Lund University: Lund, Sweden, 2012; pp. 1–82. [Google Scholar]
- Jönsson, P.; Eklundh, L. Seasonality extraction by function fitting to time-series of satellite sensor data. IEEE Trans. Geosci. Remote Sens. 2002, 40, 1824–1832. [Google Scholar] [CrossRef]
- Davidson, A.M.; Fisette, T.; McNairn, H.; Daneshfar, B. Detailed crop mapping using remote sensing data (crop data layers). In Handbook on Remote Sensing for Agricultural Statistics (Chapter 4). Handbook of the Global Strategy to Improve Agricultural and Rural Statistics (GSARS); Delince, J., Ed.; GSARS: Rome, Italy, 2017. [Google Scholar]
- Roujean, J.L.; Breon, F.M. Estimating par absorbed by vegetation from bidirectional reflectance measurements. Remote Sens. Environ. 1995, 51, 375–384. [Google Scholar] [CrossRef]
- Vargas, L.A.; Andersen, M.N.; Jensen, C.R.; Joegrnsen, U. Estimation of leaf area index, light interception and biomass accumulation of miscanthus sinensis goliath from radiation measurements. Biomass Bioenergy 2002, 22, 1–14. [Google Scholar] [CrossRef]
- Bolton, D.K.; Friedl, M.A. Forecasting crop yield using remotely sensed vegetation indices and crop phenology metrics. Agric. For. Meteorol. 2013, 173, 74–84. [Google Scholar] [CrossRef]
- Pinter, P.J., Jr.; Jackson, R.D.; Idso, S.B.; Reginato, R.J. Multidate spectral reflectance as predictors of yield in water stressed wheat and barley. Int. J. Remote Sens. 1981, 2, 43–48. [Google Scholar] [CrossRef]
- Liu, J.; Huffman, T.; Shang, J.; Qian, B.; Dong, T.; Zhang, Y.; Jing, Q. Estimation of crop yield in regions with mixed crops using different cropland masks and time-series modis data. In Proceedings of the 2016 IEEE International Geoscience and Remote Sensing Symposium (IGARSS), Beijing, China, 10–15 July 2016; IEEE: Beijing, China, 2016; pp. 7161–7163. [Google Scholar]
- Massey, R.; Sankey, T.T.; Yadav, K.; Congalton, R.G.; Tilton, J.C. Integrating cloud-based workflows in continental-scale cropland extent classification. Remote Sens. Environ. 2018, 219, 162–179. [Google Scholar] [CrossRef]
- Zhang, Y.; Chipanshi, A.; Daneshfar, B.; Koiter, L.; Champagne, C.; Davidson, A.; Reichert, G.; Bedard, F. Effect of using crop specific masks on earth observation based crop yield forecasting across Canada. Remote Sens. Appl. Soc. Environ. 2019, 13, 121–137. [Google Scholar] [CrossRef]
- Huang, B.; Song, H. Spatiotemporal reflectance fusion via sparse representation. IEEE Trans. Geosci. Remote Sens. 2012, 50, 3707–3716. [Google Scholar] [CrossRef]
- Inoue, Y.; Penuelas, J.; Miyata, A.; Mano, M. Normalized difference spectral indices for estimating photosynthetic efficiency and capacity at a canopy scale derived from hyperspectral and CO2 flux measurements in rice. Remote Sens. Environ. 2008, 112, 156–172. [Google Scholar] [CrossRef]
- Li, Z.; Yu, G.; Xiao, X.; Li, Y.; Zhao, X.; Ren, C.; Zhang, L.; Fu, Y. Modeling gross primary production of alpine ecosystems in the tibetan plateau using modis images and climate data. Remote Sens. Environ. 2007, 107, 510–519. [Google Scholar] [CrossRef]
- Gobron, N.; Pinty, B.; Verstraete, M.; Govaerts, Y. The meris global vegetation index (MGVI): Description and preliminary application. Int. J. Remote Sens. 1999, 20, 1917–1927. [Google Scholar] [CrossRef]
- Huete, A.; Didan, K.; Miura, T.; Rodriguez, E.P.; Gao, X.; Ferreira, L.G. Overview of the radiometric and biophysical performance of the modis vegetation indices. Remote Sens. Environ. 2002, 83, 195–213. [Google Scholar] [CrossRef]
- Latifovic, R.; Trishchenko, A.P.; Chen, J.; Park, W.B.; Khlopenkov, K.V.; Fernandes, R.; Pouliot, D.; Ungureanu, C.; Luo, Y.; Wang, S.; et al. Generating historical AVHRR 1 km baseline satellite data records over canada suitable for climate change studies. Can. J. Remote Sens. 2005, 31, 324–348. [Google Scholar] [CrossRef]
- Wolters, E.; Swinnen, E.; Toté, C.; Sterckx, S. Spot-VGT Collection 3 Products User Manual, v1.2; Flemish Institute for Technological Research (VITO): Antwerp, Belgium, 2018. [Google Scholar]
- Hochheim, K.P.; Barber, D.G. Spring wheat yield estimation for western canada using NOAA NDVI data. Can. J. Remote Sens. 1998, 24, 17–27. [Google Scholar] [CrossRef]











| r_EVI2 | r_Year | Yield (t/ha) | RMSE | MRAE (%) | F | n | ||||||||
|---|---|---|---|---|---|---|---|---|---|---|---|---|---|---|
| Winter wheat, SM | South | −0.069 | 12.135 | 1.060 | 0.094 | 0.013 | 0.59 | 0.31 | 5.086 | 0.574 | 0.54 | 9.0 | 79 | 139 |
| West | 1.675 | 8.042 | 1.070 | 0.079 | 0.012 | 0.42 | 0.33 | 5.054 | 0.564 | 0.37 | 9.2 | 40 | 140 | |
| Central | 3.567 | 0.909 | 1.745 | 0.062 | 0.021 | 0.03 | 0.32 | 4.346 | 0.721 | 0.10 | 12.1 | 5 | 83 | |
| All | 4.904 | 0.607 | 0.47 | 9.8 | 362 | |||||||||
| Winter wheat, GM | South | 0.966 | 6.937 | 1.020 | 0.055 | 0.015 | 0.51 | 0.32 | 5.095 | 0.695 | 0.33 | 11.3 | 33 | 140 |
| West | 2.217 | 4.861 | 0.880 | 0.054 | 0.013 | 0.42 | 0.33 | 5.054 | 0.606 | 0.27 | 9.8 | 25 | 140 | |
| Central | 4.593 | −1.611 | 1.539 | 0.065 | 0.021 | −0.06 | 0.31 | 4.341 | 0.722 | 0.11 | 12.5 | 5 | 82 | |
| All | 4.904 | 0.668 | 0.36 | 11.0 | 362 | |||||||||
| Corn, SM | South | −1.245 | 16.019 | 1.491 | 0.164 | 0.016 | 0.57 | 0.55 | 9.600 | 0.738 | 0.62 | 6.4 | 113 | 140 |
| West | 0.184 | 12.190 | 1.304 | 0.163 | 0.017 | 0.52 | 0.55 | 8.643 | 0.782 | 0.57 | 7.5 | 91 | 140 | |
| Central | 1.042 | 10.525 | 1.849 | 0.150 | 0.026 | 0.53 | 0.53 | 8.174 | 0.870 | 0.50 | 8.9 | 37 | 78 | |
| All | 8.915 | 0.786 | 0.65 | 7.3 | 358 | |||||||||
| Corn, GM | South | 1.699 | 12.253 | 1.108 | 0.142 | 0.016 | 0.64 | 0.55 | 9.600 | 0.728 | 0.63 | 6.4 | 118 | 140 |
| West | 2.697 | 9.204 | 1.108 | 0.166 | 0.017 | 0.47 | 0.55 | 8.643 | 0.817 | 0.53 | 7.8 | 78 | 140 | |
| Central | 2.960 | 8.817 | 1.870 | 0.125 | 0.028 | 0.49 | 0.47 | 8.172 | 0.962 | 0.39 | 10.2 | 26 | 83 | |
| All | 8.904 | 0.820 | 0.62 | 7.8 | 363 | |||||||||
| Soybean, SM | South | −1.720 | 6.944 | 0.617 | 0.057 | 0.007 | 0.61 | 0.48 | 2.880 | 0.305 | 0.60 | 9.3 | 103 | 140 |
| West | −1.519 | 6.437 | 0.488 | 0.056 | 0.006 | 0.66 | 0.45 | 2.722 | 0.293 | 0.65 | 9.5 | 127 | 140 | |
| Central | −0.329 | 4.321 | 0.682 | 0.046 | 0.010 | 0.58 | 0.46 | 2.478 | 0.321 | 0.49 | 10.8 | 35 | 78 | |
| All | 2.730 | 0.304 | 0.64 | 9.7 | 358 | |||||||||
| Soybean, GM | South | −0.254 | 4.962 | 0.485 | 0.049 | 0.007 | 0.64 | 0.48 | 2.880 | 0.319 | 0.57 | 10.0 | 89 | 140 |
| West | −0.203 | 4.881 | 0.430 | 0.058 | 0.007 | 0.61 | 0.45 | 2.722 | 0.317 | 0.59 | 10.6 | 98 | 140 | |
| Central | 0.413 | 3.696 | 0.665 | 0.037 | 0.010 | 0.56 | 0.43 | 2.477 | 0.339 | 0.41 | 11.9 | 28 | 82 | |
| All | 2.727 | 0.323 | 0.59 | 10.7 | 362 |
© 2019 by Crown Copyright. Licensee MDPI, Basel, Switzerland. This article is an open access article distributed under the terms and conditions of the Creative Commons Attribution (CC BY) license (http://creativecommons.org/licenses/by/4.0/).
Share and Cite
Liu, J.; Shang, J.; Qian, B.; Huffman, T.; Zhang, Y.; Dong, T.; Jing, Q.; Martin, T. Crop Yield Estimation Using Time-Series MODIS Data and the Effects of Cropland Masks in Ontario, Canada. Remote Sens. 2019, 11, 2419. https://doi.org/10.3390/rs11202419
Liu J, Shang J, Qian B, Huffman T, Zhang Y, Dong T, Jing Q, Martin T. Crop Yield Estimation Using Time-Series MODIS Data and the Effects of Cropland Masks in Ontario, Canada. Remote Sensing. 2019; 11(20):2419. https://doi.org/10.3390/rs11202419
Chicago/Turabian StyleLiu, Jiangui, Jiali Shang, Budong Qian, Ted Huffman, Yinsuo Zhang, Taifeng Dong, Qi Jing, and Tim Martin. 2019. "Crop Yield Estimation Using Time-Series MODIS Data and the Effects of Cropland Masks in Ontario, Canada" Remote Sensing 11, no. 20: 2419. https://doi.org/10.3390/rs11202419
APA StyleLiu, J., Shang, J., Qian, B., Huffman, T., Zhang, Y., Dong, T., Jing, Q., & Martin, T. (2019). Crop Yield Estimation Using Time-Series MODIS Data and the Effects of Cropland Masks in Ontario, Canada. Remote Sensing, 11(20), 2419. https://doi.org/10.3390/rs11202419
