An Assessment of the Accuracy of MODIS Land Surface Temperature over Egypt Using Ground-Based Measurements
Abstract
1. Introduction
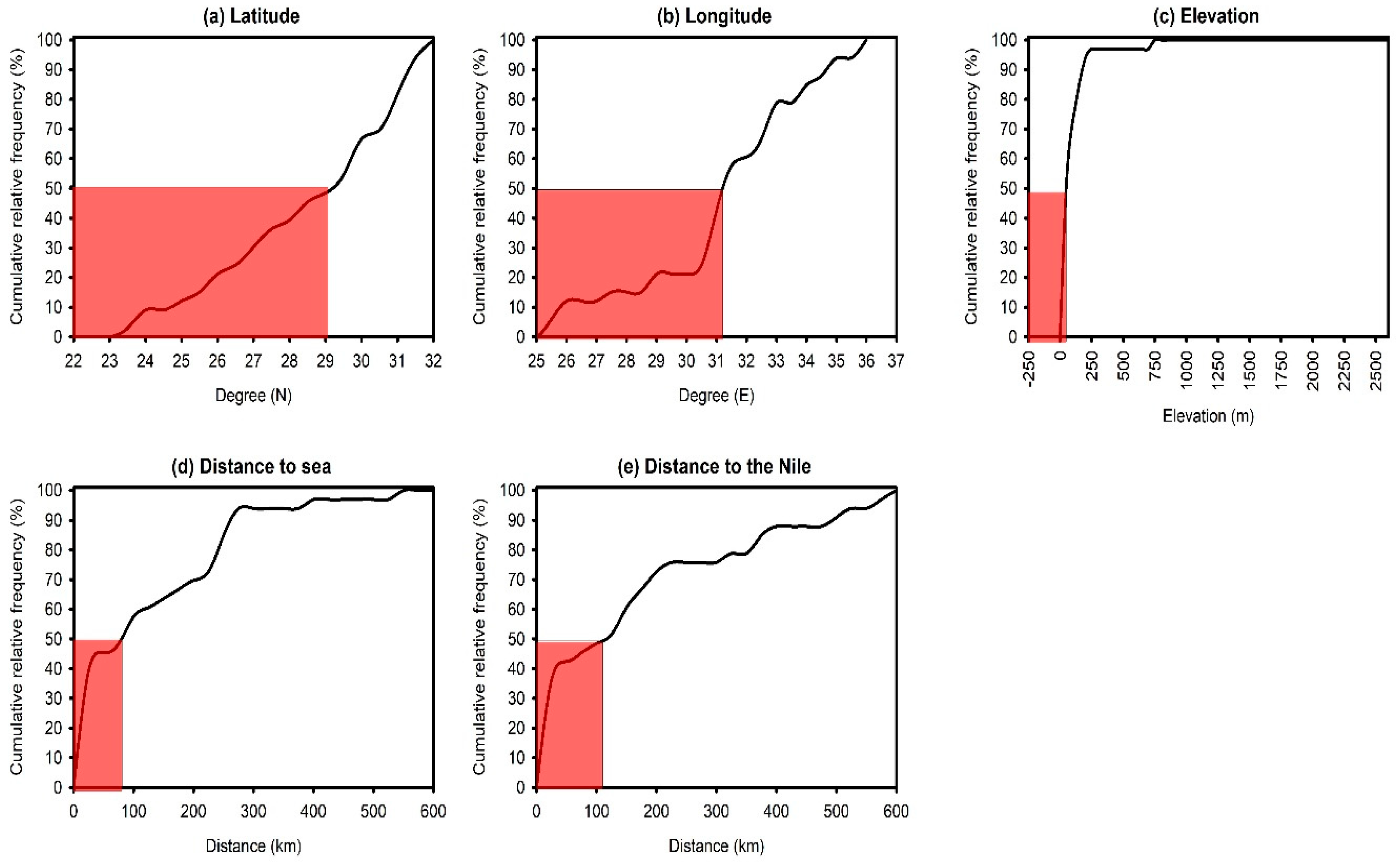
2. Study Area
3. Materials and Methods
3.1. Observational Data
3.2. MODIS LST Data
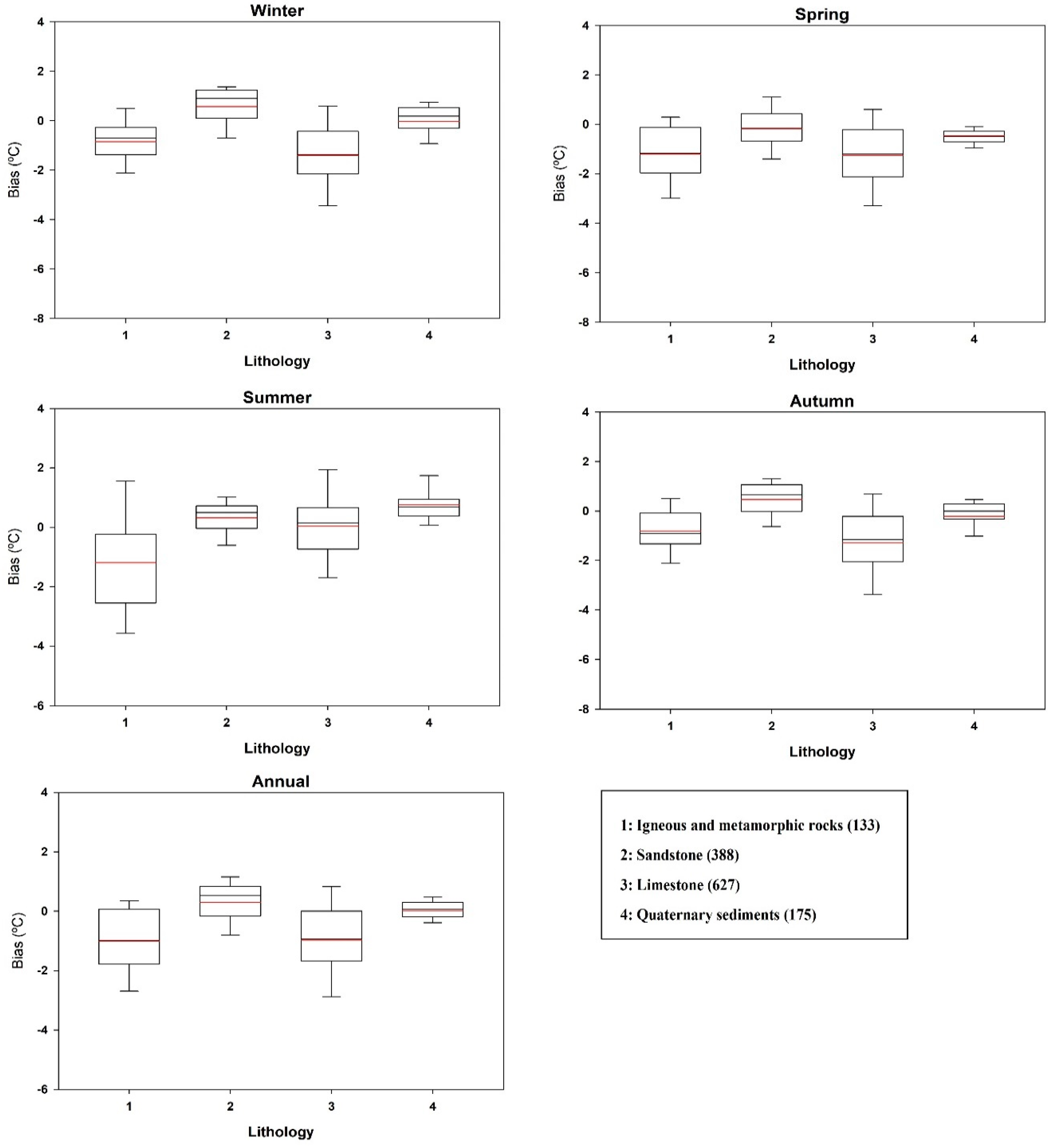
3.3. MODIS LST Performance
4. Results
4.1. Seasonal Cycle of Temperature
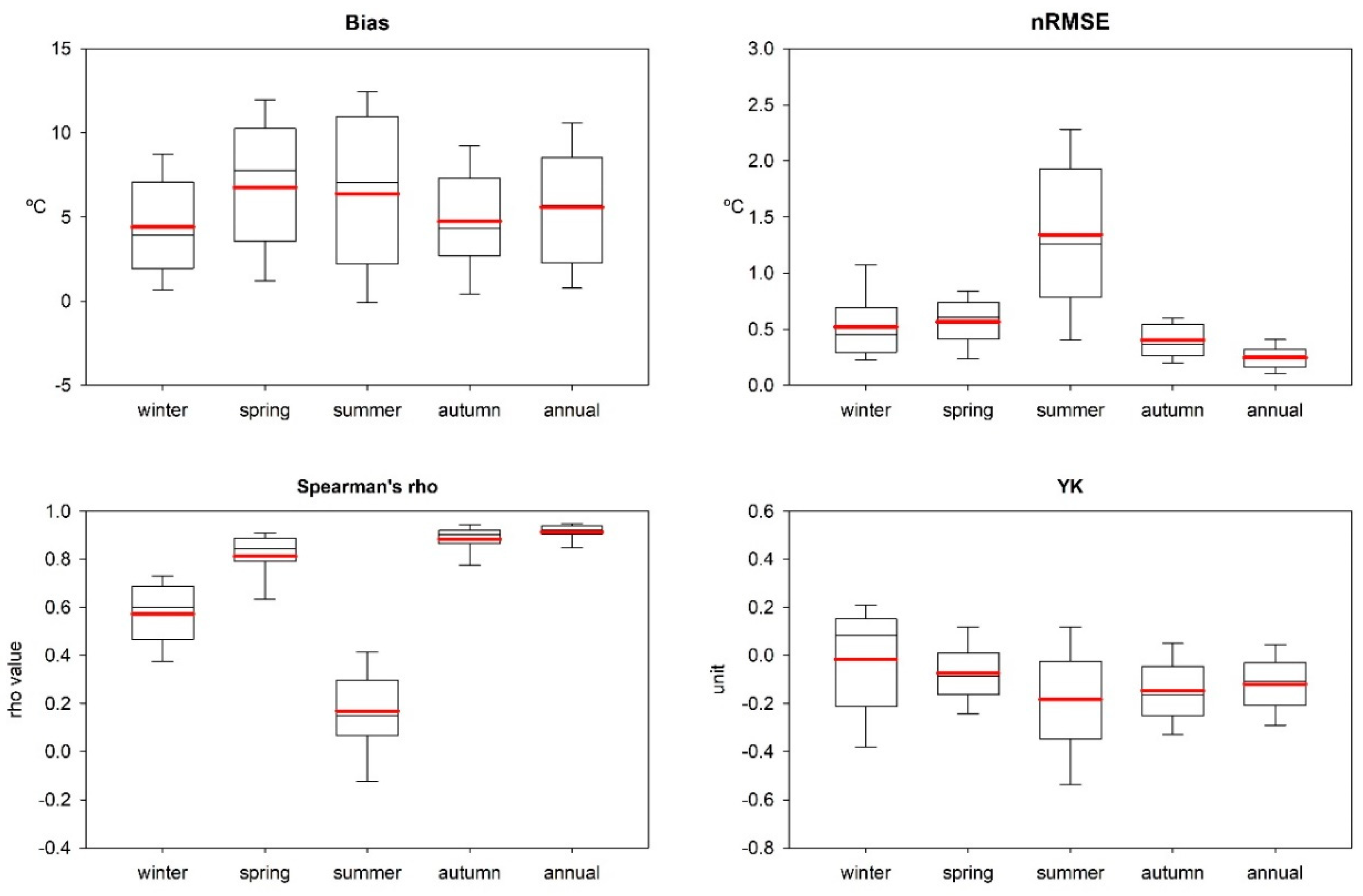
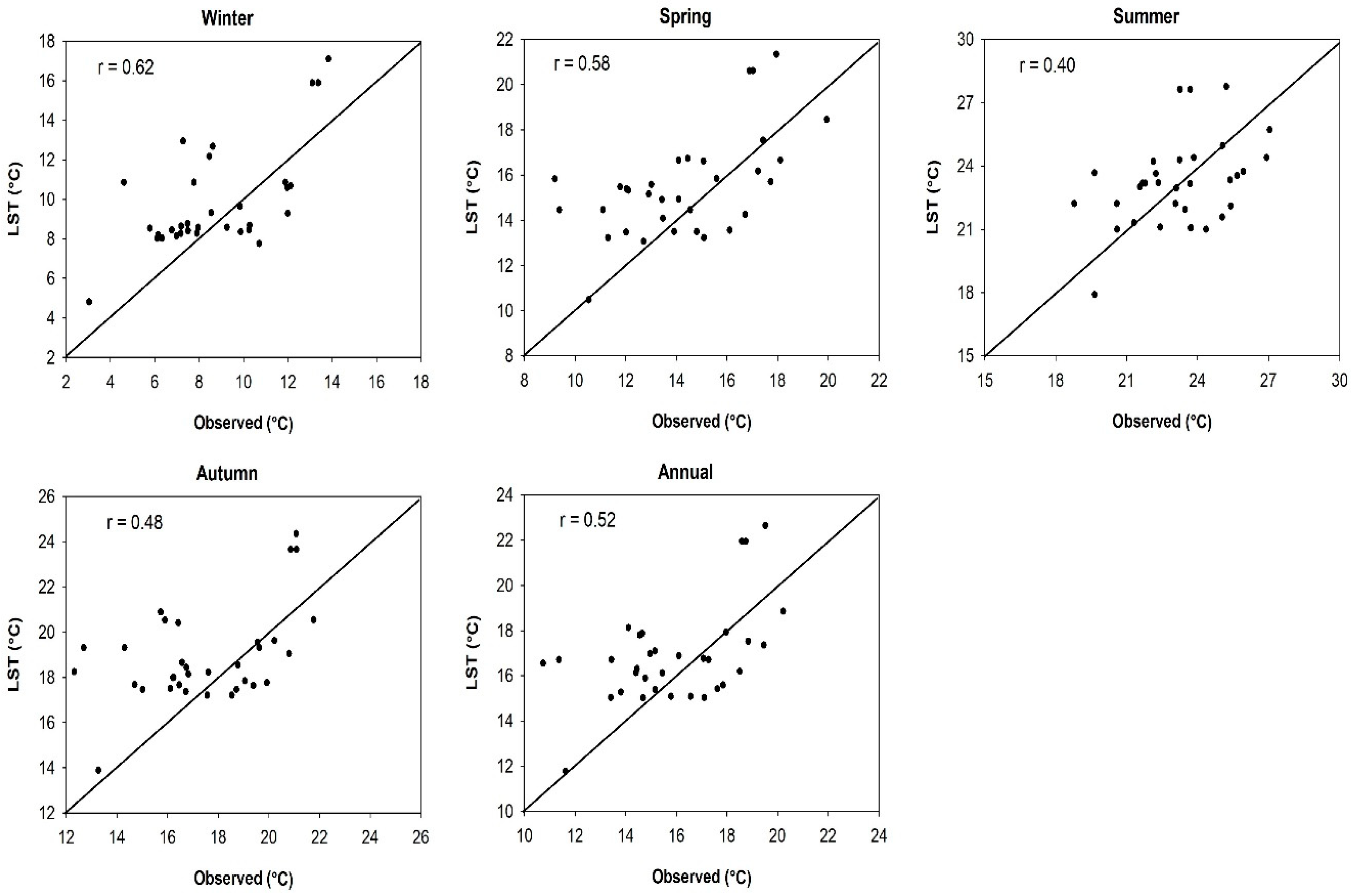
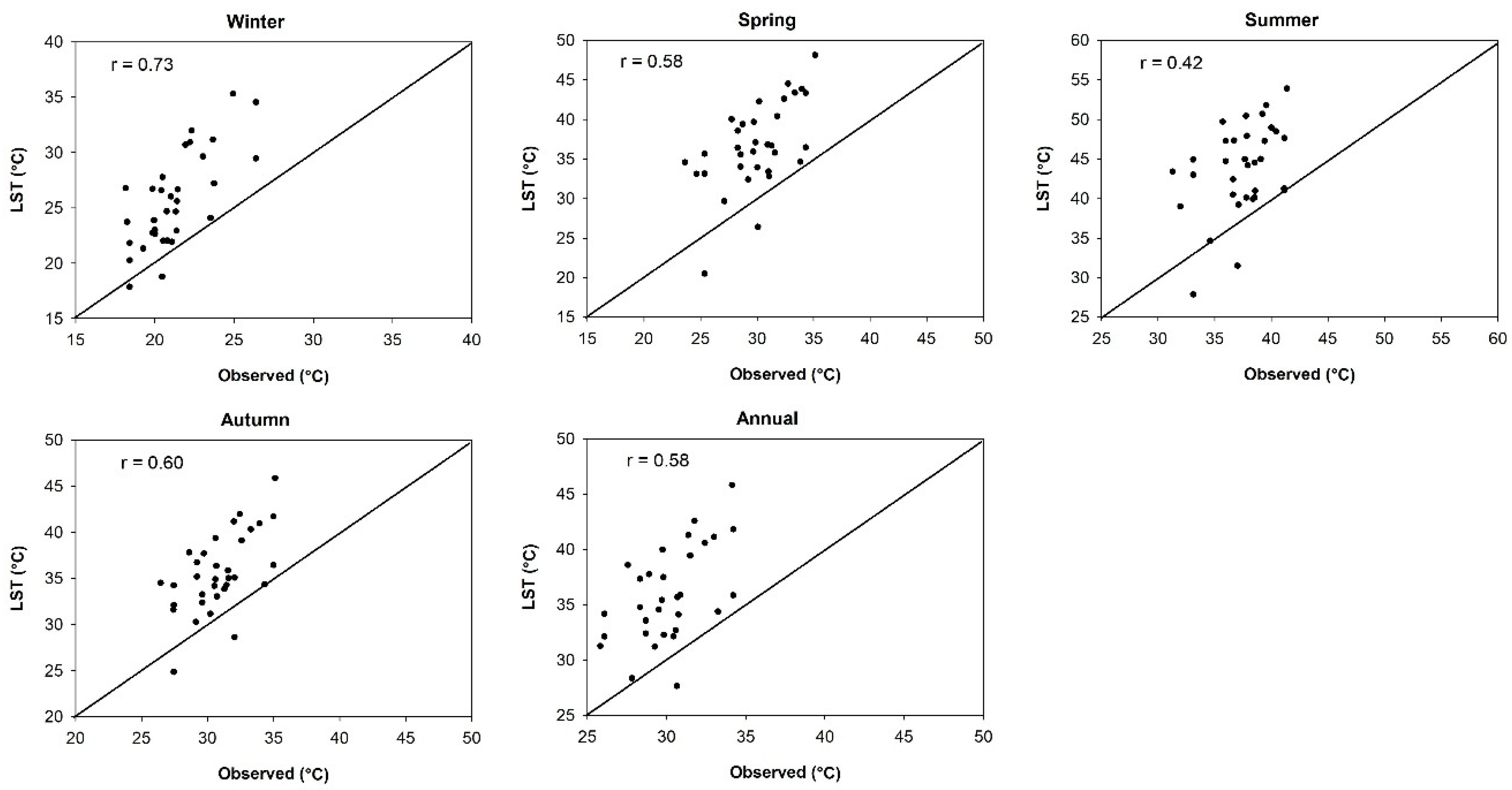
4.2. Validation Outputs
4.3. Climatology of Temperature
4.4. Temperature Anomalies
4.5. Time Series Trend Analysis
5. Discussion
6. Conclusions
Supplementary Materials
Author Contributions
Funding
Acknowledgments
Conflicts of Interest
References
- Fontaine, B.; Janicot, S.; Monerie, P.-A. Recent changes in air temperature, heat waves occurrences, and atmospheric circulation in Northern Africa. J. Geophys. Res. Atmos. 2013, 118, 8536–8552. [Google Scholar] [CrossRef]
- Donat, M.G.; Lowry, A.L.; Alexander, L.V.; O’Gorman, P.A.; Maher, N. More extreme precipitation in the world’s dry and wet regions. Nat. Clim. Chang. 2016, 6, 508. [Google Scholar] [CrossRef]
- Seneviratne, S.I.; Stöckli, R. The Role of Land-Atmosphere Interactions for Climate Variability in Europe. In Climate Variability and Extremes during the Past 100 Years; Brönnimann, S., Luterbacher, J., Ewen, T., Diaz, H.F., Stolarski, R.S., Neu, U., Eds.; Springer: Dordrecht, The Netherlands, 2008; pp. 179–193. [Google Scholar]
- Jin, M.; Dickinson, R.E. Land surface skin temperature climatology: Benefitting from the strengths of satellite observations. Environ. Res. Lett. 2010, 5, 041002. [Google Scholar] [CrossRef]
- Peterson, T.C.; Easterling, D.R.; Karl, T.R.; Groisman, P.; Nicholls, N.; Plummer, N.; Torok, S.; Auer, I.; Boehm, R.; Gullett, D.; et al. Homogeneity adjustments of in situ atmospheric climate data: A review. Int. J. Climatol. 1998, 18, 1493–1517. [Google Scholar] [CrossRef]
- Burke, M.; Dykema, J.; Lobell, D.B.; Miguel, E.S.S. Climate and Civil War: Is the Relationship Robust? NBER Work Pap 16440; National Bureau of Economic Research: Cambridge, MA, USA.
- Smith, D.; Vivekananda, J. Climate Change, Conflict, and Fragility: Getting the Institutions Right. In Climate Change, Human Security and Violent Conflict: Challenges for Societal Stability; Scheffran, J., Brzoska, M., Brauch, H.G., Link, P.M., Schilling, J., Eds.; Springer: Berlin/Heidelberg, Germany, 2012; pp. 77–90. [Google Scholar]
- Link, P.M.; Brücher, T.; Claussen, M.; Link, J.S.A.; Scheffran, J. The Nexus of Climate Change, Land Use, and Conflict: Complex Human–Environment Interactions in Northern Africa. Bull. Am. Meteorol. Soc. 2015, 96, 1561–1564. [Google Scholar] [CrossRef]
- Paeth, H.; Born, K.; Girmes, R.; Podzun, R.; Jacob, D. Regional Climate Change in Tropical and Northern Africa due to Greenhouse Forcing and Land Use Changes. J. Clim. 2009, 22, 114–132. [Google Scholar] [CrossRef]
- Hertig, E.; Seubert, S.; Jacobeit, J. Temperature extremes in the Mediterranean area: Trends in the past and assessments for the future. Nat. Hazards Earth Syst. Sci. 2010, 10, 2039–2050. [Google Scholar] [CrossRef]
- Lelieveld, J.; Hadjinicolaou, P.; Kostopoulou, E.; Giannakopoulos, C.; Pozzer, A.; Tanarhte, M.; Tyrlis, E. Model projected heat extremes and air pollution in the eastern Mediterranean and Middle East in the twenty-first century. Reg. Environ. Chang. 2014, 14, 1937–1949. [Google Scholar] [CrossRef]
- El Kenawy, A.M.; McCabe, M.F. Future projections of synoptic weather types over the Arabian Peninsula during the twenty-first century using an ensemble of CMIP5 models. Theor. Appl. Climatol. 2017, 130, 173–189. [Google Scholar] [CrossRef]
- Hasanean, H.M. Wintertime surface temperature in Egypt in relation to the associated atmospheric circulation. Int. J. Climatol. 2004, 24, 985–999. [Google Scholar] [CrossRef]
- Domroes, M.; El-Tantawi, A. Recent temporal and spatial temperature changes in Egypt. Int. J. Climatol. 2005, 25, 51–63. [Google Scholar] [CrossRef]
- Hasanean, H.M.; Basset, H.A. Variability of summer temperature over Egypt. Int. J. Climatol. 2006, 26, 1619–1634. [Google Scholar] [CrossRef]
- El Kenawy, A.; López-Moreno, J.I.; Vicente-Serrano, S.M.; Abd-Elaal, M. Temperature variability along the Mediterranean Coast and its links to Large Scale Atmospheric Circulations (1957–2006). Bull. Soc. Geogr. d’Egypte 2010, 83, 12–26. [Google Scholar]
- Donat, M.G.; Peterson, T.C.; Brunet, M.; King, A.D.; Almazroui, M.; Kolli, R.K.; Boucherf, D.; Al-Mulla, A.Y.; Nour, A.Y.; Aly, A.A.; et al. Changes in extreme temperature and precipitation in the Arab region: Long-term trends and variability related to ENSO and NAO. Int. J. Climatol. 2014, 34, 581–592. [Google Scholar] [CrossRef]
- El Kenawy, A.M.; Lopez-Moreno, J.I.; McCabe, M.F.; Robaa, S.M.; Domínguez-Castro, F.; Peña-Gallardo, M.; Trigo, R.M.; Hereher, M.E.; Al-Awadhi, T.; Vicente-Serrano, S.M. Daily temperature extremes over Egypt: Spatial patterns, temporal trends, and driving forces. Atmos. Res. 2019, 226, 219–239. [Google Scholar] [CrossRef]
- El Kenawy, A.M.; McCabe, M.F. A multi-decadal assessment of the performance of gauge- and model-based rainfall products over Saudi Arabia: Climatology, anomalies and trends. Int. J. Climatol. 2016, 36, 656–674. [Google Scholar] [CrossRef]
- Rasul, A.; Balzter, H.; Smith, C. Spatial variation of the daytime Surface Urban Cool Island during the dry season in Erbil, Iraqi Kurdistan, from Landsat 8. Urban Clim. 2015, 14, 176–186. [Google Scholar] [CrossRef]
- Justice, C.O.; Townshend, J.R.G.; Vermote, E.F.; Masuoka, E.; Wolfe, R.E.; Saleous, N.; Roy, D.P.; Morisette, J.T. An overview of MODIS Land data processing and product status. Remote Sens. Environ. 2002, 83, 3–15. [Google Scholar] [CrossRef]
- Mildrexler, D.J.; Zhao, M.; Running, S.W. A global comparison between station air temperatures and MODIS land surface temperatures reveals the cooling role of forests. J. Geophys. Res. Biogeosci. 2011, 116. [Google Scholar] [CrossRef]
- Mao, K.B.; Ma, Y.; Tan, X.L.; Shen, X.Y.; Liu, G.; Li, Z.L.; Chen, J.M.; Xia, L. Global surface temperature change analysis based on MODIS data in recent twelve years. Adv. Space Res. 2017, 59, 503–512. [Google Scholar] [CrossRef]
- Eleftheriou, D.; Kiachidis, K.; Kalmintzis, G.; Kalea, A.; Bantasis, C.; Koumadoraki, P.; Spathara, M.E.; Tsolaki, A.; Tzampazidou, M.I.; Gemitzi, A. Determination of annual and seasonal daytime and nighttime trends of MODIS LST over Greece—Climate change implications. Sci. Total Environ. 2018, 616–617, 937–947. [Google Scholar] [CrossRef] [PubMed]
- Khorchani, M.; Vicente-Serrano, S.M.; Azorin-Molina, C.; Garcia, M.; Martin-Hernandez, N.; Peña-Gallardo, M.; el Kenawy, A.; Domínguez-Castro, F. Trends in LST over the peninsular Spain as derived from the AVHRR imagery data. Glob. Planet. Chang. 2018, 166, 75–93. [Google Scholar] [CrossRef]
- Zhang, Y.; Odeh, I.O.A.; Han, C. Bi-temporal characterization of land surface temperature in relation to impervious surface area, NDVI and NDBI, using a sub-pixel image analysis. Int. J. Appl. Earth Obs. Geoinf. 2009, 11, 256–264. [Google Scholar] [CrossRef]
- He, G.; Zhao, Y.; Wang, J.; Wang, Q.; Zhu, Y. Impact of large-scale vegetation restoration project on summer land surface temperature on the Loess Plateau, China. J. Arid Land 2018, 10, 892–904. [Google Scholar] [CrossRef]
- Gomis-Cebolla, J.; Jimenez, J.C.; Sobrino, J.A. LST retrieval algorithm adapted to the Amazon evergreen forests using MODIS data. Remote Sens. Environ. 2018, 204, 401–411. [Google Scholar] [CrossRef]
- Kogan, F.N. Global Drought Watch from Space. Bull. Am. Meteorol. Soc. 1997, 78, 621–636. [Google Scholar] [CrossRef]
- Karnieli, A.; Agam, N.; Pinker, R.T.; Anderson, M.; Imhoff, M.L.; Gutman, G.G.; Panov, N.; Goldberg, A. Use of NDVI and Land Surface Temperature for Drought Assessment: Merits and Limitations. J. Clim. 2010, 23, 618–633. [Google Scholar] [CrossRef]
- AghaKouchak, A.; Farahmand, A.; Melton, F.S.; Teixeira, J.; Anderson, M.C.; Wardlow, B.D.; Hain, C. Remote sensing of drought: Progress, challenges and opportunities. Rev. Geophys. 2015, 53, 452–480. [Google Scholar] [CrossRef]
- Quintano, C.; Fernández-Manso, A.; Calvo, L.; Marcos, E.; Valbuena, L. Land surface temperature as potential indicator of burn severity in forest Mediterranean ecosystems. Int. J. Appl. Earth Obs. Geoinf. 2015, 36, 1–12. [Google Scholar] [CrossRef]
- Quintano, C.; Fernandez-Manso, A.; Roberts, D.A. Burn severity mapping from Landsat MESMA fraction images and Land Surface Temperature. Remote Sens. Environ. 2017, 190, 83–95. [Google Scholar] [CrossRef]
- Peng, S.-S.; Piao, S.; Zeng, Z.; Ciais, P.; Zhou, L.; Li, L.Z.X.; Myneni, R.B.; Yin, Y.; Zeng, H. Afforestation in China cools local land surface temperature. Proc. Natl. Acad. Sci. USA 2014, 111, 2915–2919. [Google Scholar] [CrossRef] [PubMed]
- Fu, P.; Weng, Q. A time series analysis of urbanization induced land use and land cover change and its impact on land surface temperature with Landsat imagery. Remote Sens. Environ. 2016, 175, 205–214. [Google Scholar] [CrossRef]
- Zhang, Y.; Balzter, H.; Liu, B.; Chen, Y. Analyzing the Impacts of Urbanization and Seasonal Variation on Land Surface Temperature Based on Subpixel Fractional Covers Using Landsat Images. IEEE J. Sel. Top. Appl. Earth Obs. Remote Sens. 2017, 10, 1344–1356. [Google Scholar] [CrossRef]
- Amiri, R.; Weng, Q.; Alimohammadi, A.; Alavipanah, S.K. Spatial–temporal dynamics of land surface temperature in relation to fractional vegetation cover and land use/cover in the Tabriz urban area, Iran. Remote Sens. Environ. 2009, 113, 2606–2617. [Google Scholar] [CrossRef]
- Jafari, R.; Hasheminasab, S. Assessing the effects of dam building on land degradation in central Iran with Landsat LST and LULC time series. Environ. Monit. Assess. 2017, 189, 74. [Google Scholar] [CrossRef]
- Rhee, J.; Im, J.; Carbone, G.J. Monitoring agricultural drought for arid and humid regions using multi-sensor remote sensing data. Remote Sens. Environ. 2010, 114, 2875–2887. [Google Scholar] [CrossRef]
- Yi, Y.; Yang, D.; Chen, D.; Huang, J. Retrieving crop physiological parameters and assessing water deficiency using MODIS data during the winter wheat growing period. Can. J. Remote Sens. 2007, 33, 189–202. [Google Scholar] [CrossRef]
- Albright, T.P.; Pidgeon, A.M.; Rittenhouse, C.D.; Clayton, M.K.; Flather, C.H.; Culbert, P.D.; Radeloff, V. Heat waves measured with MODIS land surface temperature data predict changes in avian community structure. Remote Sens. Environ. 2011, 115, 245–254. [Google Scholar] [CrossRef]
- Orimoloye, I.R.; Mazinyo, S.P.; Nel, W.; Kalumba, A.M. Spatiotemporal monitoring of land surface temperature and estimated radiation using remote sensing: Human health implications for East London, South Africa. Environ. Earth Sci. 2018, 77, 77. [Google Scholar] [CrossRef]
- Jish Prakash, P.; Stenchikov, G.; Kalenderski, S.; Osipov, S.; Bangalath, H. The impact of dust storms on the Arabian Peninsula and the Red Sea. Atmos. Chem. Phys. 2015, 15, 199–222. [Google Scholar] [CrossRef]
- Almazroui, M. Calibration of TRMM rainfall climatology over Saudi Arabia during 1998–2009. Atmos. Res. 2011, 99, 400–414. [Google Scholar] [CrossRef]
- El Kenawy, A.M.; Lopez-Moreno, J.I.; McCabe, M.F.; Vicente-Serrano, S.M. Evaluation of the TMPA-3B42 precipitation product using a high-density rain gauge network over complex terrain in northeastern Iberia. Glob. Planet. Chang. 2015, 133, 188–200. [Google Scholar] [CrossRef]
- Sun, L.; Mi, X.; Wei, J.; Wang, J.; Tian, X.; Yu, H.; Gan, P. A cloud detection algorithm-generating method for remote sensing data at visible to short-wave infrared wavelengths. ISPRS J. Photogramm. Remote Sens. 2017, 124, 70–88. [Google Scholar] [CrossRef]
- Tzallas, V.; Hatzianastassiou, N.; Benas, N.; Meirink, J.F.; Matsoukas, C.; Stackhouse, P.; Vardavas, I. Evaluation of CLARA-A2 and ISCCP-H Cloud Cover Climate Data Records over Europe with ECA & D Ground-Based Measurements. Remote Sens. 2019, 11, 212. [Google Scholar]
- Peng, J.; Loew, A.; Merlin, O.; Verhoest, N.E.C. A review of spatial downscaling of satellite remotely sensed soil moisture. Rev. Geophys. 2017, 55, 341–366. [Google Scholar] [CrossRef]
- Fontanet, M.; Fernàndez-Garcia, D.; Ferrer, F. The value of satellite remote sensing soil moisture data and the DISPATCH algorithm in irrigation fields. Hydrol. Earth Syst. Sci. 2018, 22, 5889–5900. [Google Scholar] [CrossRef]
- Zhang, Y.; Yan, S.; Lu, Y. Snow Cover Monitoring Using MODIS Data in Liaoning Province, Northeastern China. Remote Sens. 2010, 2, 777–793. [Google Scholar] [CrossRef]
- Naderpour, R.; Schwank, M. Snow Wetness Retrieved from L-Band Radiometry. Remote Sens. 2018, 10, 359. [Google Scholar] [CrossRef]
- El Shazly, E.M. The Geology of the Egyptian Region. In The Ocean Basins and Margins: Volume 4A the Eastern Mediterranean; Nairn, A.E.M., Kanes, W.H., Stehli, F.G., Eds.; Springer: Boston, MA, USA, 1977; pp. 379–444. [Google Scholar]
- Stanley, D.J.; Warne, A.G. Nile Delta: Recent Geological Evolution and Human Impact. Science 1993, 260, 628–634. [Google Scholar] [CrossRef]
- Peel, M.C.; Finlayson, B.L.; McMahon, T.A. Updated world map of the Köppen-Geiger climate classification. Hydrol. Earth Syst. Sci. 2007, 11, 1633–1644. [Google Scholar] [CrossRef]
- El-Shirbeny, M.; Ali, A.; Saleh, N. Crop Water Requirements in Egypt Using Remote Sensing Techniques. J. Agric. Chem. Environ. 2014, 3, 57–65. [Google Scholar] [CrossRef]
- Kimura, R.; Kato, H.; Iwasaki, E. Cultivation Features Using Meteorological and Satellite Data from 2001 to 2010 in Dakhla Oasis, Egypt. J. Water Resour. Prot. 2015, 7, 209–218. [Google Scholar] [CrossRef][Green Version]
- Wan, Z.; Wang, P.; Li, X. Using MODIS Land Surface Temperature and Normalized Difference Vegetation Index products for monitoring drought in the southern Great Plains, USA. Int. J. Remote Sens. 2004, 25, 61–72. [Google Scholar] [CrossRef]
- Hereher, M.E. Recent trends of temperature and precipitation proxies in Saudi Arabia: Implications for climate change. Arab. J. Geosci. 2016, 9, 575. [Google Scholar] [CrossRef]
- Hereher, M.E. Time series trends of land surface temperatures in Egypt: A signal for global warming. Environ. Earth Sci. 2016, 75, 1218. [Google Scholar] [CrossRef]
- Hereher, M.E. Estimation of monthly surface air temperatures from MODIS LST time series data: Application to the deserts in the Sultanate of Oman. Environ. Monit. Assess. 2019, 191, 592. [Google Scholar] [CrossRef]
- Hereher, M.E. Effects of land use/cover change on regional land surface temperatures: Severe warming from drying Toshka lakes, the Western Desert of Egypt. Nat. Hazards 2017, 88, 1789–1803. [Google Scholar] [CrossRef]
- Deng, Y.; Wang, S.; Bai, X.; Tian, Y.; Wu, L.; Xiao, J.; Chen, F.; Qian, Q. Relationship among land surface temperature and LUCC, NDVI in typical karst area. Sci. Rep. 2018, 8, 641. [Google Scholar] [CrossRef]
- Li, Z.-L.; Tang, B.-H.; Wu, H.; Ren, H.; Yan, G.; Wan, Z.; Trigo, I.F.; Sobrino, J.A. Satellite-derived land surface temperature: Current status and perspectives. Remote Sens. Environ. 2013, 131, 14–37. [Google Scholar] [CrossRef]
- Becker, F.; Li, Z.-L. Towards a local split window method over land surfaces. Int. J. Remote Sens. 1990, 11, 369–393. [Google Scholar] [CrossRef]
- Wan, Z.; Li, Z. A physics-based algorithm for retrieving land-surface emissivity and temperature from EOS/MODIS data. IEEE Trans. Geosci. Remote Sens. 1997, 35, 980–996. [Google Scholar]
- Snyder, W.C.; Wan, Z.; Zhang, Y.; Feng, Y.Z. Classification-based emissivity for land surface temperature measurement from space. Int. J. Remote Sens. 1998, 19, 2753–2774. [Google Scholar] [CrossRef]
- Wan, Z.; Dozier, J. A generalized split-window algorithm for retrieving land-surface temperature from space. IEEE Trans. Geosci. Remote Sens. 1996, 34, 892–905. [Google Scholar]
- Qin, Z.; Karnieli, A.; Berliner, P. A mono-window algorithm for retrieving land surface temperature from Landsat TM data and its application to the Israel-Egypt border region. Int. J. Remote Sens. 2001, 22, 3719–3746. [Google Scholar] [CrossRef]
- Li, X.; Zhou, Y.; Asrar, G.R.; Zhu, Z. Creating a seamless 1km resolution daily land surface temperature dataset for urban and surrounding areas in the conterminous United States. Remote Sens. Environ. 2018, 206, 84–97. [Google Scholar] [CrossRef]
- Ferro, C.A.; Hannachi, A.; Stephenson, D.B. Simple Nonparametric Techniques for Exploring Changing Probability Distributions of Weather. J. Clim. 2005, 18, 4344–4354. [Google Scholar] [CrossRef]
- Hamed, K.H.; Ramachandra Rao, A. A modified Mann-Kendall trend test for autocorrelated data. J. Hydrol. 1998, 204, 182–196. [Google Scholar] [CrossRef]
- Luintel, N.; Ma, W.; Ma, Y.; Wang, B.; Subba, S. Spatial and temporal variation of daytime and nighttime MODIS land surface temperature across Nepal. Atmos. Ocean. Sci. Lett. 2019, 12, 305–312. [Google Scholar] [CrossRef]
- Vancutsem, C.; Ceccato, P.; Dinku, T.; Connor, S.J. Evaluation of MODIS land surface temperature data to estimate air temperature in different ecosystems over Africa. Remote Sens. Environ. 2010, 114, 449–465. [Google Scholar] [CrossRef]
- Benali, A.; Carvalho, A.C.; Nunes, J.P.; Carvalhais, N.; Santos, A. Estimating air surface temperature in Portugal using MODIS LST data. Remote Sens. Environ. 2012, 124, 108–121. [Google Scholar] [CrossRef]
- El Kenawy, A.M.; McCabe, M.F.; Vicente-Serrano, S.M.; Robaa, S.M.; Lopez-Moreno, J.I. Recent changes in continentality and aridity conditions over the Middle East and North Africa region, and their association with circulation patterns. Clim. Res. 2016, 69, 25–43. [Google Scholar] [CrossRef]
- Cho, J.; Oki, T.; Yeh, P.J.F.; Kim, W.; Kanae, S.; Otsuki, K. On the relationship between the Bowen ratio and the near-surface air temperature. Theor. Appl. Climatol. 2011, 108, 135–145. [Google Scholar] [CrossRef]
- Abu El-Liel, I.; Soliman, N.; Bekhiet, M.; Elhebiry, M.S. Lithological mapping in the eastern desert of Egypt, Wadi Um Gheig area, using LANDSAT enhanced thematic mapper (ETM+). Al Azhar Bull. Sci. 2014, 25, 1–8. [Google Scholar] [CrossRef]
- Dirmeyer, P.A.; Shukla, J. The effect on regional and global climate of expansion of the world’s deserts. Q. J. R. Meteorol. Soc. 1996, 122, 451–482. [Google Scholar] [CrossRef]
- Zeng, N.; Neelin, J.D.; Lau, K.-M.; Tucker, C.J. Enhancement of Interdecadal Climate Variability in the Sahel by Vegetation Interaction. Science 1999, 286, 1537–1540. [Google Scholar] [CrossRef]
- Marland, G.; Pielke, R.A.; Apps, M.; Avissar, R.; Betts, R.A.; Davis, K.J.; Frumhoff, P.C.; Jackson, S.T.; Joyce, L.A.; Kauppi, P.; et al. The climatic impacts of land surface change and carbon management, and the implications for climate-change mitigation policy. Clim. Policy 2003, 3, 149–157. [Google Scholar] [CrossRef]
- Mu, Q.; Jones, L.A.; Kimball, J.S.; McDonald, K.C.; Running, S.W. Satellite assessment of land surface evapotranspiration for the Pan-Arctic domain. Water Resour. Res. 2009, 45, W09420. [Google Scholar] [CrossRef]
- Yuan, F.; Bauer, M.E. Comparison of impervious surface area and normalized difference vegetation index as indicators of surface urban heat island effects in Landsat imagery. Remote Sens. Environ. 2007, 106, 375–386. [Google Scholar] [CrossRef]
- Zeng, N.; Yoon, J. Expansion of the world’s deserts due to vegetation-albedo feedback under global warming. Geophys. Res. Lett. 2009, 36. [Google Scholar] [CrossRef]
- Dai, A.; Genio, A.D.D.; Fung, I.Y. Clouds, precipitation and temperature range. Nature 1997, 386, 665–666. [Google Scholar] [CrossRef]
- Hoerling, M.; Eischeid, J.; Perlwitz, J.; Quan, X.; Zhang, T.; Pegion, P. On the increased frequency of mediterraneanMediterranean drought. J. Clim. 2012, 25, 2146–2161. [Google Scholar] [CrossRef]
- L’Heureux, M.L.; Collins, D.C.; Hu, Z.-Z. Linear trends in sea surface temperature of the tropical Pacific Ocean and implications for the El Niño-Southern Oscillation. Clim. Dyn. 2013, 40, 1223–1236. [Google Scholar] [CrossRef]
- Noori, R.; Tian, F.; Berndtsson, R.; Abbasi, M.R.; Naseh, M.V.; Modabberi, A.; Soltani, A.; Kløve, B. Recent and future trends in sea surface temperature across the Persian Gulf and Gulf of Oman. PLoS ONE 2019, 14, e0212790. [Google Scholar] [CrossRef] [PubMed]
- Shaltout, M. Recent sea surface temperature trends and future scenarios for the Red Sea. Oceanologia 2019, 61, 484–504. [Google Scholar] [CrossRef]
- Nashwan, M.S.; Shahid, S.; Abd Rahim, N. Unidirectional trends in annual and seasonal climate and extremes in Egypt. Theor. Appl. Climatol. 2019, 136, 457–473. [Google Scholar] [CrossRef]
- Wan, Z.; Li, Z.L. Radiance-based validation of the V5 MODIS land-surface temperature product. Int. J. Remote Sens. 2008, 29, 5373–5395. [Google Scholar] [CrossRef]
















| Station | Latitude (°N) | Longitude (°E) | Altitude (Meters) |
|---|---|---|---|
| Abu Swair | 30.6 | 32.0 | 26 |
| Alexandria | 31.2 | 30.0 | 3 |
| Assiut | 27.2 | 31.1 | 50 |
| Aswan | 24.0 | 32.8 | 172 |
| Baharia | 28.3 | 28.9 | 146 |
| Baltim | 31.5 | 31.1 | 2 |
| Cairo | 30.1 | 31.4 | 16 |
| Dakhla | 25.5 | 29.0 | 101 |
| Damanhour | 31.1 | 30.5 | 1 |
| Edfou | 25.0 | 32.8 | 84 |
| El Khatatba | 30.3 | 30.9 | 14 |
| Fayoum | 29.3 | 30.9 | 16 |
| Habatah | 31.1 | 26.0 | 211 |
| Helwan | 29.7 | 31.2 | 49 |
| Hurghada | 27.2 | 33.7 | 14 |
| Kharga | 25.4 | 30.5 | 87 |
| Kossier | 26.1 | 34.3 | 25 |
| Luxor | 25.7 | 32.7 | 84 |
| Mallawi | 27.7 | 30.8 | 46 |
| Matrouh | 31.3 | 27.2 | 30 |
| Minya | 28.1 | 30.7 | 139 |
| Nuwaibaa | 29.0 | 34.7 | 222 |
| Ras Benas | 24.0 | 35.5 | 2 |
| Ras El Nakab | 29.6 | 34.8 | 633 |
| Ras Sedr | 29.6 | 32.7 | 16 |
| Safagah | 26.8 | 34.0 | 189 |
| Salloum | 31.5 | 25.2 | 1 |
| Shelateen | 23.1 | 35.6 | 10 |
| Sidi Barrani | 31.5 | 25.9 | 90 |
| Siwa | 29.2 | 25.5 | -19 |
| Sohag | 26.6 | 31.7 | 62 |
| Suez | 29.9 | 32.5 | 27 |
| Tahrir | 30.7 | 30.7 | 12 |
| Tanta | 30.8 | 31.0 | 15 |
| Statistic | Winter | Spring | Summer | Fall | Annual | |
|---|---|---|---|---|---|---|
| LST/Tmin | Mann–Whitney U | 407.0 | 382.5 | 464.0 | 178.5 | 502.5 |
| Wilcoxon W | 968.0 | 943.5 | 1025.0 | 739.5 | 1063.5 | |
| Z | −1.76 | −2.08 | −1.03 | −4.69 | −0.54 | |
| Significance level | 0.08 | 0.06 | 0.30 | 0.00 | 0.59 | |
| LST/Tmax | Mann–Whitney U | 313.000 | 328.000 | 61.500 | 21.000 | 375.500 |
| Wilcoxon W | 874.000 | 889.000 | 622.500 | 582.000 | 936.500 | |
| Z | −2.969 | −2.778 | −6.195 | −6.714 | −2.169 | |
| Significance level | 0.00 | 0.01 | 0.00 | 0.00 | 0.03 |
| Cloud Cover | Solar Radiation | |
|---|---|---|
| Winter | −1.79 | 2.24 |
| Spring | −0.85 | 0.12 |
| Summer | 0.53 | −0.70 |
| Autumn | −0.08 | 0.39 |
| Annual | −0.97 | 1.04 |
© 2019 by the authors. Licensee MDPI, Basel, Switzerland. This article is an open access article distributed under the terms and conditions of the Creative Commons Attribution (CC BY) license (http://creativecommons.org/licenses/by/4.0/).
Share and Cite
El Kenawy, A.M.; Hereher, M.E.; Robaa, S.M. An Assessment of the Accuracy of MODIS Land Surface Temperature over Egypt Using Ground-Based Measurements. Remote Sens. 2019, 11, 2369. https://doi.org/10.3390/rs11202369
El Kenawy AM, Hereher ME, Robaa SM. An Assessment of the Accuracy of MODIS Land Surface Temperature over Egypt Using Ground-Based Measurements. Remote Sensing. 2019; 11(20):2369. https://doi.org/10.3390/rs11202369
Chicago/Turabian StyleEl Kenawy, Ahmed M., Mohamed E. Hereher, and Sayed M. Robaa. 2019. "An Assessment of the Accuracy of MODIS Land Surface Temperature over Egypt Using Ground-Based Measurements" Remote Sensing 11, no. 20: 2369. https://doi.org/10.3390/rs11202369
APA StyleEl Kenawy, A. M., Hereher, M. E., & Robaa, S. M. (2019). An Assessment of the Accuracy of MODIS Land Surface Temperature over Egypt Using Ground-Based Measurements. Remote Sensing, 11(20), 2369. https://doi.org/10.3390/rs11202369

