Remotely Sensed Spatial Structure as an Indicator of Internal Changes of Vegetation Communities in Desert Landscapes
Abstract
1. Introduction
2. Methods
2.1. Study Area
2.2. Data
2.3. Image Preparation
2.4. Analyses
3. Results and Discussion
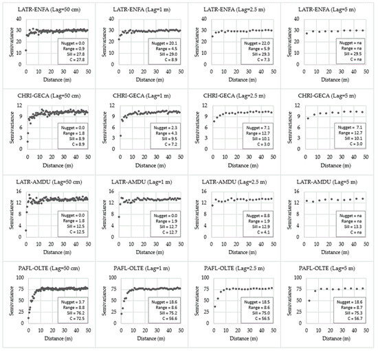
3.1. Variogram Parameters for Vegetation Alliances Across Lags
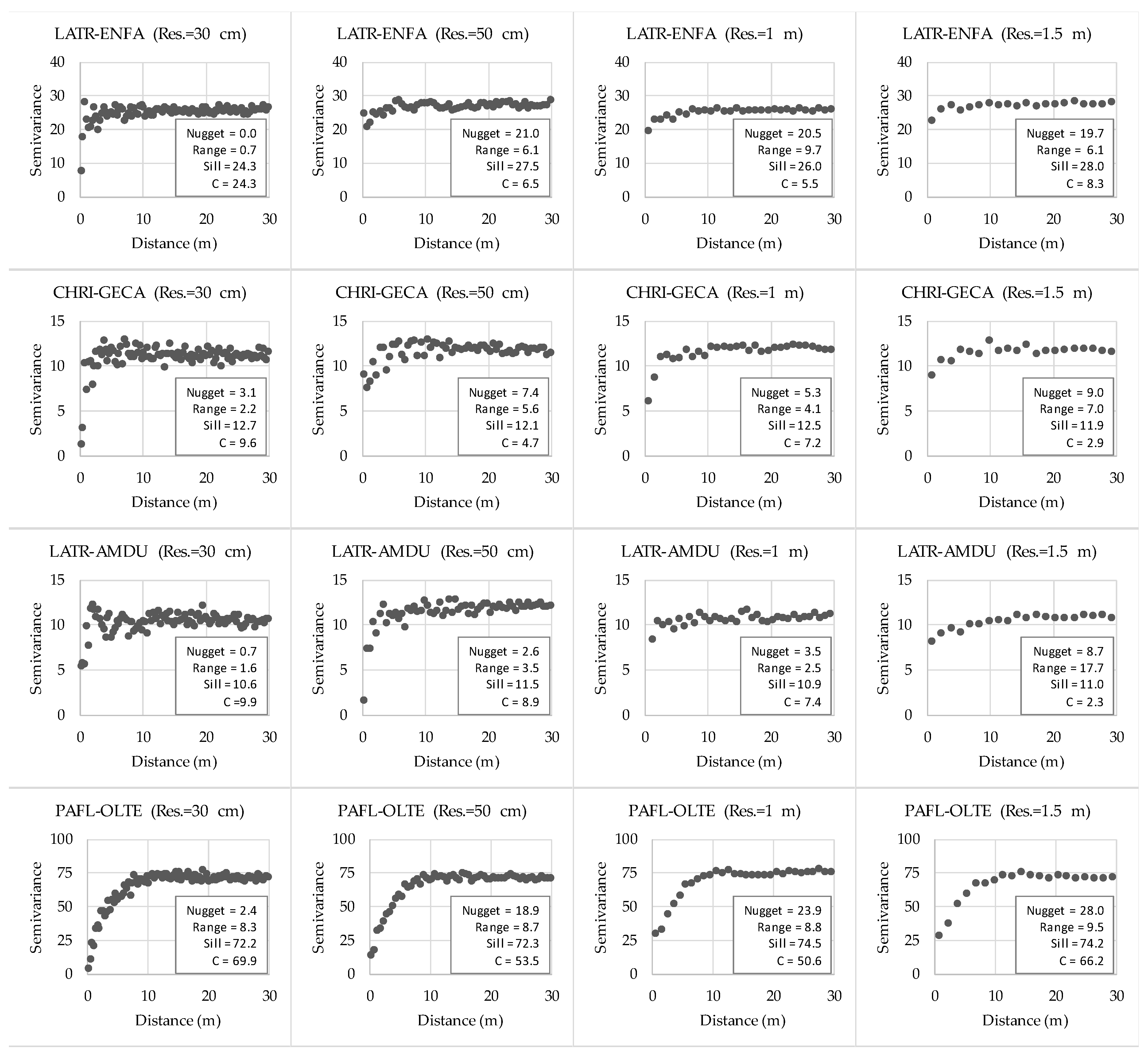
3.2. Variogram Parameters for Vegetation Alliances Across Image Resolutions
3.3. Synthesis
4. Conclusions
- Variogram parameters that are generated from a spectral vegetation index using fine resolution imagery can provide information about unique, intrinsic characteristics of dryland habitats. The sill, range, form, and partial sill of the variogram relate to overall vegetation cover or density, average canopy size, canopy size variation, and spatial structure of plants within a habitat, respectively, which are consistent with published studies [23,27,45].
- Establishing a baseline of variogram parameters for each habitat is an important first step of monitoring because variogram parameters do not indicate absolute values of landscape properties, and they may be similar or indistinguishable between habitat types that have a similar canopy size. Comparing variogram parameters of each habitat against their baselines could indicate internal change within the habitat (e.g., vegetation cover, average canopy size, and canopy size variation). However, understanding the magnitude of changes detectable using variogram parameters requires additional studies.
- For the variogram generated from a spectral vegetation index, the sill may be influenced by vegetation greenness, which could indicate the health of vegetation communities. If we can successfully detect changes in habitat conditions using remote sensing, it could greatly contribute to monitoring of extensive desert lands over time in a financially sustainable manner by substantially reducing field-based monitoring costs. To determine the effectiveness of variograms for monitoring vegetation community health, further studies are warranted.
Supplementary Materials
Author Contributions
Funding
Acknowledgments
Conflicts of Interest
References
- Le Houerou, H.N. Climate change, drought and desertification. J. Arid Environ. 1996, 24, 133–185. [Google Scholar] [CrossRef]
- Oerter, E.; Mills, J.V.; Maurer, G.E.; Lammers, L.N.; Amundson, R. Greenhouse Gas Production and Transport in Desert Soils of the Southwestern United States. Glob. Biogeochem. Cycles 2018, 32, 1703–1717. [Google Scholar] [CrossRef]
- Intergovernmental Panel on Climate Change (IPCC). Climate Change 2013: The Physical Science Basis; Contribution of Working Group I to the Fifth Assessment Report of the IPCC; Stocker, T.F., Qin, D., Plattner, G.-K., Tignor, M., Allen, S.K., Boshung, J., Nauels, A., Xia, Y., Bex, V., Midgley, P.M., Eds.; Cambridge University Press: Cambridge, UK, 2013; 1533p. [Google Scholar] [CrossRef]
- Intergovernmental Panel on Climate Change (IPCC). Summary for policymakers. In Climate Change 2014: Impacts, Adaptation, and Vulnerability. Part A: Global and Sectoral Aspects; Contribution of Working Group II to the Fifth Assessment Report of the IPCC; Field, C.B., Barros, V.R., Dokken, D.J., Mach, K.J., Mastrandrea, M.D., Bilir, T.E., Chatterjee, M., Ebi, K.L., Estrada, Y.O., Genova, R.C., et al., Eds.; Cambridge University Press: Cambridge, UK, 2014; 151p. [Google Scholar] [CrossRef]
- Thomas, J.; El-Sheikh, M.A.; Alfarhan, A.H.; Alatar, A.A.; Sivadasan, M.; Basahi, M.; Al-Obaidm, S.; Rajakrishnan, R. Impact of alien invasive species on habitats and species richness in Saudi Arabia. J. Arid Environ. 2016, 127, 53–65. [Google Scholar] [CrossRef]
- Zhang, R.; Wang, Z.; Han, G.; Schellenberg, M.P.; Wu, Q.; Gu, C. Grazing induced changes in plant diversity is a critical factor controlling grassland productivity in the Desert Steppe, Northern China. Agric. Ecosyst. Environ. 2018, 265, 73–83. [Google Scholar] [CrossRef]
- Rowe, H.I.; Tluczek, M.; Broatch, J.; Gruber, D.; Jones, S.; Langenfeld, D.; McNamara, P.; Weinstein, L. Comparison of trailside degradation across a gradient of trail use in the Sonoran Desert. J. Environ. Manag. 2018, 207, 292–302. [Google Scholar] [CrossRef]
- Amponsah, N.Y.; Troldborg, M.; Kington, B.; Aalders, I.; Hough, R.L. Greenhouse gas emissions from renewable energy sources: A review of lifecycle considerations. Renew. Sustain. Energy Rev. 2014, 39, 461–475. [Google Scholar] [CrossRef]
- Bureau of Land Management (BLM). Approved Resource Management Plan Amendments/Record of Decision (ROD) for Solar Energy Development in Six Southwestern States; U.S. Department of the Interior, BLM: Washington, DC, USA, 2012.
- Barron-Gafford, G.A.; Minor, R.L.; Allen, N.A.; Cronin, A.D.; Borrks, A.E.; Pavao-Zuckerman, M.A. The Photovoltaic Heat Island Effect: Larger solar power plants increase local temperatures. Sci. Rep. 2016, 6, 35070. [Google Scholar] [CrossRef]
- Hernandez, R.R.; Hoffacker, M.K.; Murphy-Mariscal, M.L.; Wu, G.C.; Allen, M.F. Solar energy development impacts on land cover change and protected areas. Proc. Natl. Acad. Sci. USA 2015, 112, 13579–13584. [Google Scholar] [CrossRef]
- BLM. Riverside East Solar Energy Zone Long Term Monitoring Strategy: Final Report; U.S. Department of Interior, BLM: Washington, DC, USA, March 2016.
- Taylor, J.J.; Kachergis, E.J.; Toves, G.R.; Karl, J.W.; Bobo, M.R.; Karl, M.; Millar, S.; Spurrier, C.S. AIM-Monitoring: A Component of the BLM Assessment, Inventory, and Monitoring Strategy; Technical Note 445; U.S. Department of the Interior, Bureau of Land Management, National Operations Center: Denver, CO, USA, 2014.
- Bunce, R.G.H.; Metzger, M.J.; Jongman, R.H.G.; Brandt, J.; De Blust, G.; Elena-Rossello, R.; Groom, G.B.; Halada, L.; Hofer, G.; Howard, D.C.; et al. A standardized procedure for surveillance and monitoring European habitats and provision of spatial data. Landsc. Ecol. 2008, 23, 11–25. [Google Scholar] [CrossRef]
- McCord, S.E.; Buenemann, M.; Karl, J.W.; Browning, D.M.; Hadley, B.C. Integrating remotely sensed imagery and existing multiscale field data to derive rangeland indicators: Application of Bayesian additive regression trees. Rangel. Ecol. Manag. 2017, 70, 644–655. [Google Scholar] [CrossRef]
- Ksiksi, T.S.; El-Keblawy, A.A. Floral diversity in desert ecosystems: Comparing field sampling to image analyses in assessing species cover. BMC Ecol. 2013, 13. [Google Scholar] [CrossRef]
- Duniway, M.C.; Karl, J.W.; Schrader, S.; Baquera, N.; Herrick, J.E. Rangeland and Pasture Monitoring: An Approach to Interpretation of High-Resolution Imagery Focused on Observer Calibration for Repeatability. Environ. Monit. Assess. 2012, 184, 3789–3804. [Google Scholar] [CrossRef]
- Kilpatrick, A.D.; Lewis, M.M.; Ostendorf, B. Rangeland condition monitoring: A new approach using cross-fence comparisons of remotely sensed vegetation. PLoS ONE 2015, 10, e0142742. [Google Scholar] [CrossRef]
- Godinez-Alvarez, H.; Herrick, J.E.; Mattocks, M.; Toledo, D.; Van Zee, J. Comparison of three vegetation monitoring methods; their relative utility for ecological assessment and monitoring. Ecol. Indic. 2009, 9, 1001–1008. [Google Scholar] [CrossRef]
- Ustin, S.L.; Jacquemond, S.; Palacios-Orueta, A.; Li, L.; Whiting, M.L. Remote sensing based assessment of biophysical indicators for land degradation and desertification. In Recent Advances in Remote Sensing and Geoinfomration Processing for Land Degradation Assessment; Roeder, A., Hill, J., Eds.; ISPRS Series: London, UK, 2009; pp. 15–44. [Google Scholar]
- Hamada, Y.; Stow, D.A.; Robert, D.A.; Franklin, J.; Kyriakidis, P.S. Assessing and monitoring semi-arid shrublands using object-based image analysis and multiple endmember spectral mixture analysis. Environ. Monit. Assess. 2013, 185, 3173–3190. [Google Scholar] [CrossRef] [PubMed]
- Frieswyk, C.B.; Johnston, C.A.; Zedler, J.B. Identifying and characterizing dominant plans as an indicator of community condition. J. Great Lakes Res. 2007, 33 (Suppl. 3), 125–135. [Google Scholar] [CrossRef]
- Phinn, S.; Franklin, J.; Hope, A.; Stow, D.; Huenneke, L. Biomass distribution mapping using airborne digital video imagery and spatial statistics in a semi-arid environment. J. Environ. Manag. 1996, 47, 139–164. [Google Scholar] [CrossRef]
- Schlesinger, W.H.; Reynolds, J.F.; Cunningham, G.L.; Huenneke, L.F.; Jarrell, W.J.; Virginia, R.A.; Whitford, W.G. Biological feedbacks in global desertification. Science 1990, 247, 1043–1048. [Google Scholar] [CrossRef]
- Roughgarden, J.; Running, S.W.; Matson, P.A. What does remote sensing do for ecology? Ecology 1991, 72, 1918–1922. [Google Scholar] [CrossRef]
- Ustin, S.L.; Smith, M.O.; Adams, J.B. Remote sensing of ecological processes: A strategy for developing and testing ecological models using spectral mixture analysis. In Scaling Physiological Processes: Leaf to Globe; Ehleringer, J.R., Field, C.B., Eds.; Academic Press: San Diego, CA, USA, 1993; pp. 339–357. [Google Scholar]
- Wallace, C.S.; Watts, J.J.; Yool, S.R. Characterizing the spatial structure of vegetation communities in the Mojave Desert using geostatistical techniques. Comput. Geosci. 2000, 26, 397–410. [Google Scholar] [CrossRef]
- Cressie, N. Statistics of Spatial Data; Wiley: New York, NY, USA, 1993; 900p. [Google Scholar]
- Garrigues, S.; Allard, D.; Baret, F.; Morisette, J. Multivariate quantification of landscape spatial heterogeneity using variogram models. Remote Sens. Environ. 2008, 112, 216–230. [Google Scholar] [CrossRef]
- Guo, H.; Jiapaera, G.; Baoa, A.; Li, X.; Huanga, Y.; Ndayisaba, F.; Menga, F. Effects of the Tarim River’s middle stream water transport dike on the fractional cover of desert riparian vegetation. Ecol. Eng. 2017, 99, 333–342. [Google Scholar] [CrossRef]
- Raynor, E.J.; Griffith, C.D.; Twidwell, D.; Schacht, W.H.; Wonkka, C.L.; Roberts, C.P.; Bielski, C.L.; Debinski, D.M.; Miller, J.R. The emergence of heterogeneity in invasive-dominated grassland: A matter of the scale of detection. Landsc. Ecol. 2018, 33, 2013–2119. [Google Scholar] [CrossRef]
- Hamada, Y.; Grippo, M.A.; Smith, K.P. Long-Term Monitoring of Utility-Scale Energy Development and Application of Remote Sensing Technologies: Summary Report; ANL/EVS-14/12; Argonne National Laboratory: Lemont, IL, USA, 2014. [Google Scholar]
- BLM. Solar Energy Project Information. Available online: https://www.blm.gov/sites/blm.gov/files/energy_renewable_SolarProjectInfo_november%202018%20%282%29_0.xlsx (accessed on 22 June 2019).
- Hamada, Y.; O’Connor, B.L.; Orr, A.B.; Wuthrich, K.K. Mapping ephemeral stream networks in desert environments using very-high-spatial-resolution multispectral remote sensing. J. Arid Environ. 2016, 130, 40–48. [Google Scholar] [CrossRef]
- Reynolds, J.F.; Kemp, P.R.; Ogle, K.; Fernández, R.J. Modifying the Pulse-Reserve’ Paradigm for Deserts of North America: Precipitation Pulses, Soil Water, and Plant Responses. Oecologia 2004, 141, 194–210. [Google Scholar] [CrossRef]
- Western Regional Climate Center. Available online: https://wrcc.dri.edu/cgi-bin/cliMAIN.pl?cablyt+sca (accessed on 31 May 2016).
- California Department of Fish and Wildlife (CDFW). California Desert Vegetation Map and Accuracy Assessment in Support of the Desert Renewable Energy Conservation Plan; CDFW: Sacramento, CA, USA, 2013. [Google Scholar]
- Herrick, J.E.; Van Zee, J.W.; Havstad, K.M.; Burkett, L.M.; Whitford, W.G. Monitoring Manual for Grassland, Shrubland and Savanna Ecosystems, Vol. I: Quick Start; USDA-ARS Jornada Experimental Range: Las Cruces, NM, USA, 2005. [Google Scholar]
- Herrick, J.E.; Van Zee, J.W.; Havstad, K.M.; Burkett, L.M.; Whitford, W.G. Monitoring Manual for Grassland, Shrubland and Savanna Ecosystems, Vol. II: Design, Supplementary Methods for Interpretation; USDA-ARS Jornada Experimental Range: Las Cruces, NM, USA, 2005. [Google Scholar]
- Cody, M.L. Slow-motion population dynamics in Mojave Desert perennial plants. J. Veg. Sci. 2000, 11, 351–358. [Google Scholar] [CrossRef]
- Munson, S.M.; Webb, R.H.; Housman, D.C.; Veblen, K.E.; Nussear, K.E.; Beever, E.A.; Hartney, K.B.; Miriti, M.N.; Phillips, S.L.; Fulton, R.E.; et al. Long-term plant responses to climate are moderated by biophysical attributes in a North American desert. J. Ecol. 2015, 103, 657–668. [Google Scholar] [CrossRef]
- Gitelson, A.A.; Kaufman, Y.J.; Stark, R.; Rundquist, D. Novel algorithms for remote estimation of vegetation fraction. Remote Sens. Environ. 2002, 80, 76–87. [Google Scholar] [CrossRef]
- Wackernagel, H. Multivariate Geostatistics: An Introduction with Applications, 3rd ed.; Springer: Berlin, Germany, 2013; pp. 45–55. [Google Scholar]
- Deutsch, C.V.; Journel, A.G. GSLIB Geostatistical Software Library and User’s Guide, 2nd ed.; Applied Geostatistics Series; Oxford University Press: New York, NY, USA, 1998. [Google Scholar]
- Woodcock, C.E.; Strahler, A.H.; Jupp, D.L. The use of variograms in remote sensing: I. Scene models and simulated images. Remote. Sens. Environ. 1988, 25, 323–348. [Google Scholar] [CrossRef]
- Hamada, Y.; Rollins, K.E. Long-Term Monitoring of Desert Land and Natural Resources and Application of Remote Sensing Technologies: Final Report; ANL/EVS-16/1; Argonne National Laboratory: Lemont, IL, USA, 2016. [Google Scholar]



| Alliance (Acronym) | Visible Atmospherically Resistant Index (VARI) Image | Average Vegetation Cover | Canopy Diameter | |
|---|---|---|---|---|
| Mean | Standard Deviation | |||
| Larrea tridentata–Encelia farinosa (LATR–ENFA) | ![]() | 18% | 1.5 m | 0.8 m |
| Chorizanthe rigida–Geraea canescens (CHRI–GECA) | ![]() | 7% | 2.5 m | 2.2 m |
| Larrea tridentata–Ambrosia dumosa (LATR–AMDU) | ![]() | 3% | 2.3 m | 1.8 m |
| Parkinsonia florida–Olneya tesota (PAFL–OLTE) | ![]() | 20% | 3.9 m | 2.7 m |
| Variogram | Parameter and Definition | Indication |
|---|---|---|
![]() | Form: Nature of spatial variability within the data | Pattern of features in the landscape and variance distribution of landscape features |
| Range: Distance over which data are correlated | Size of dominant features in the landscape | |
| Sill: Total variation in the data | Density of features or background in the landscape | |
| Nugget: Level of random variation in the data | Variation in the landscape NOT explained by distance | |
| Partial sill: Variation associated with spatial structure defined as [Sill]–[Nugget] | Variation in the landscape explained by distance or associated with spatial autocorrelation |
© 2019 by the authors. Licensee MDPI, Basel, Switzerland. This article is an open access article distributed under the terms and conditions of the Creative Commons Attribution (CC BY) license (http://creativecommons.org/licenses/by/4.0/).
Share and Cite
Hamada, Y.; Szoldatits, K.; Grippo, M.; Hartmann, H.M. Remotely Sensed Spatial Structure as an Indicator of Internal Changes of Vegetation Communities in Desert Landscapes. Remote Sens. 2019, 11, 1495. https://doi.org/10.3390/rs11121495
Hamada Y, Szoldatits K, Grippo M, Hartmann HM. Remotely Sensed Spatial Structure as an Indicator of Internal Changes of Vegetation Communities in Desert Landscapes. Remote Sensing. 2019; 11(12):1495. https://doi.org/10.3390/rs11121495
Chicago/Turabian StyleHamada, Yuki, Katherine Szoldatits, Mark Grippo, and Heidi M. Hartmann. 2019. "Remotely Sensed Spatial Structure as an Indicator of Internal Changes of Vegetation Communities in Desert Landscapes" Remote Sensing 11, no. 12: 1495. https://doi.org/10.3390/rs11121495
APA StyleHamada, Y., Szoldatits, K., Grippo, M., & Hartmann, H. M. (2019). Remotely Sensed Spatial Structure as an Indicator of Internal Changes of Vegetation Communities in Desert Landscapes. Remote Sensing, 11(12), 1495. https://doi.org/10.3390/rs11121495





