Land Cover Change Detection Using Multiple Shape Parameters of Spectral and NDVI Curves
Abstract
1. Introduction
2. Methodology
2.1. Change Magnitudes From the Spectrum and the NDVI Curve
2.1.1. Shape Parameters of NDVI Temporal Curve
2.1.2. Spectral and Temporal Difference Calculation
2.2. Integration of Spectral–Temporal Change Magnitudes
2.2.1. Magnitude Normalization
2.2.2. Integrating Spectral–Temporal Change Magnitude
2.3. Change Region Discrimination by Automated Thresholding
3. Experiments
3.1. Study Area, Data Preprocessing, and Algorithm Implementation
3.2. Results
3.2.1. Change Magnitudes in the Ground Truth Points
3.2.2. Change Magnitude Images
3.2.3. Change Regions
3.2.4. Accuracy Assessment
4. Discussion
4.1. The Influence of Different Order p on Change Magnitudes and Accuracy
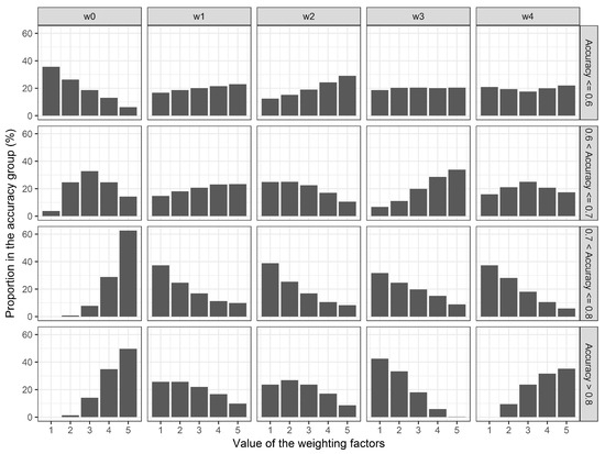
4.2. The Functions of the Weighting Factor w in the Integration
4.3. Change Detection with a Single Shape Parameter
4.4. The Contributions of Shape Parameter to Land Cover Conversions
4.5. The Applicability of Data Quality for Landsat Images and NDVI Time Series
5. Conclusions
Author Contributions
Funding
Acknowledgments
Conflicts of Interest
References
- Cihlar, J. Land cover mapping of large areas from satellites status and research priorities. Int. J. Remote Sens. 2000, 21, 1093–1114. [Google Scholar] [CrossRef]
- Friedl, M.A.; McIver, D.K.; Hodges, J.C.F.; Zhang, X.Y.; Muchoney, D.; Strahler, A.H.; Woodcock, C.E.; Gopal, S.; Schneider, A.; Cooper, A.; et al. Global land cover mapping from modis: Algorithms and early results. Remote Sens. Environ. 2002, 83, 287–302. [Google Scholar] [CrossRef]
- Hansen, M.C.; Potapov, P.V.; Moore, R.; Hancher, M.; Turubanova, S.A.; Tyukavina, A.; Thau, D.; Stehman, S.V.; Goetz, S.J.; Loveland, T.R.; et al. High-resolution global maps of 21st-century forest cover change. Science 2013, 342, 850–853. [Google Scholar] [CrossRef] [PubMed]
- Lu, D.; Mausel, P.; Brondízio, E.; Moran, E. Change detection techniques. Int. J. Remote Sens. 2004, 25, 2365–2401. [Google Scholar] [CrossRef]
- Singh, A. Digital change detection techniques using remotely-sensed data. Int. J. Remote Sens. 1989, 10, 989–1003. [Google Scholar] [CrossRef]
- Hansen, M.C.; Loveland, T.R. A review of large area monitoring of land cover change using landsat data. Remote Sens. Environ. 2012, 122, 66–74. [Google Scholar] [CrossRef]
- Coppin, P.; Jonckheere, I.; Nackaerts, K.; Muys, B.; Lambin, E. Digital change detection methods in ecosystem monitoring: A review. Int. J. Remote Sens. 2004, 25, 1565–1596. [Google Scholar] [CrossRef]
- Mas, J.-F. Monitoring land-cover changes: A comparison of change detection techniques. Int. J. Remote Sens. 1999, 20, 139–152. [Google Scholar] [CrossRef]
- Xing, H.; Chen, J.; Wu, H.; Zhang, J.; Li, S.; Liu, B. A service relation model for web-based land cover change detection. ISPRS J. Photogram. Remote Sens. 2017, 132, 20–32. [Google Scholar] [CrossRef]
- Thonfeld, F.; Feilhauer, H.; Braun, M.; Menz, G. Robust change vector analysis (RCVA) for multi-sensor very high resolution optical satellite data. Int. J. Appl. Earth Observ. Geoinf. 2016, 50, 131–140. [Google Scholar] [CrossRef]
- Mouat, D.A.; Mahin, G.G.; Lancaster, J. Remote sensing techniques in the analysis of change detection. Geocarto Int. 1993, 8, 39–50. [Google Scholar] [CrossRef]
- Coppin, P.R.; Bauer, M.E. Digital change detection in forest ecosystems with remote sensing imagery. Remote Sens. Rev. 1996, 13, 207–234. [Google Scholar] [CrossRef]
- Malila, W.A. Change vector analysis an approach for detecting forest changes with landsat. In LARS Symposia; Purdue University: West Lafayette, IN, USA, 1980; p. 385. [Google Scholar]
- Chen, J.; Gong, P.; He, C.; Pu, R.; Shi, P. Land-use /land-cover change detection using improved change-vector analysis. Photogram. Eng. Remote Sens. 2003, 69, 369–379. [Google Scholar] [CrossRef]
- Bovolo, F.; Bruzzone, L. A theoretical framework for unsupervised change detection based on change vector analysis in the polar domain. IEEE Trans. Geosci. Remote Sens. 2006, 45, 218–236. [Google Scholar] [CrossRef]
- Yuhas, R.H.; Goetz, A.F.H.; Boardman, J.W. Discrimination among semi-arid landscape endmembers using the spectral angle mapper (SAM) algorithm. In JPL, Summaries of the Third Annual JPL Airborne Geoscience Workshop; NASA: Washington, DC, USA, 1992; Volume 1, pp. 147–149. [Google Scholar]
- Kruse, F.A.; Lefkoff, A.B.; Boardman, J.W.; Heidebrecht, K.B.; Shapiro, A.T.; Barloon, P.J.; Goetz, A.F.H. The spectral image processing system (SIPS)-interactive visualization and analysis of imaging spectrometer data. Remote Sens. Environ. 1993, 44, 145–163. [Google Scholar] [CrossRef]
- Chen, J.; Lu, M.; Chen, X.; Chen, J.; Chen, L. A spectral gradient difference based approach for land cover change detection. ISPRS J. Photogram. Remote Sens. 2013, 85, 1–12. [Google Scholar] [CrossRef]
- Jonsson, P.; Eklundh, L. Timesat—A program for analyzing time-series of satellite sensor data. Comput. Geosci. 2004, 30, 833–845. [Google Scholar] [CrossRef]
- Bradley, B.A.; Jacob, R.W.; Hermance, J.F.; Mustard, J.F. A curve fitting procedure to derive inter-annual phenologies from time series of noisy satellite NDVI data. Remote Sens. Environ. 2007, 106, 137–145. [Google Scholar] [CrossRef]
- Jakubauskas, M.E.; Legates, D.R.; Kastens, J.H. Crop identification using harmonic analysis of time-series avhrr NDVI data. Comput. Electron. Agric. 2002, 37, 127–139. [Google Scholar] [CrossRef]
- Buyantuyev, A.; Wu, J. Urbanization diversifies land surface phenology in arid environments: Interactions among vegetation, climatic variation, and land use pattern in the Phoenix metropolitan region, USA. Landsc. Urban Plan. 2012, 105, 149–159. [Google Scholar] [CrossRef]
- Tucker, C.J.; Justice, C.O.; Prince, S.D. Monitoring the grasslands of the sahel 1984–1985. Int. J. Remote Sens. 1986, 7, 1571–1581. [Google Scholar] [CrossRef]
- Shimabukuro, Y.E.; Holben, B.N.; Tucker, C.J. Fraction images derived from noaa avhrr data for studying the deforestation in the brazilian amazon. Int. J. Remote Sens. 1994, 15, 517–520. [Google Scholar] [CrossRef]
- Lunetta, R.S.; Knight, J.F.; Ediriwickrema, J.; Lyon, J.G.; Worthy, L.D. Land-cover change detection using multi-temporal modis NDVI data. Remote Sens. Environ. 2006, 105, 142–154. [Google Scholar] [CrossRef]
- Klein, I.; Gessner, U.; Kuenzer, C. Regional land cover mapping and change detection in central Asia using modis time-series. Appl. Geogr. 2012, 35, 219–234. [Google Scholar] [CrossRef]
- Chen, X.; Yang, D.; Chen, J.; Cao, X. An improved automated land cover updating approach by integrating with downscaled NDVI time series data. Remote Sens. Lett. 2015, 6, 29–38. [Google Scholar] [CrossRef]
- Lu, M.; Chen, J.; Tang, H.; Rao, Y.; Yang, P.; Wu, W. Land cover change detection by integrating object-based data blending model of landsat and modis. Remote Sens. Environ. 2016, 184, 374–386. [Google Scholar] [CrossRef]
- Reed, B.C.; Brown, J.F.; VanderZee, D.; Loveland, T.R.; Merchant, J.W.; Ohlen, D.O. Measuring phenological variability from satellite imagery. J. Vegetat. Sci. 1994, 5, 703–714. [Google Scholar] [CrossRef]
- Sakamoto, T.; Yokozawa, M.; Toritani, H.; Shibayama, M.; Ishitsuka, N.; Ohno, H. A crop phenology detection method using time-series modis data. Remote Sens. Environ. 2005, 96, 366–374. [Google Scholar] [CrossRef]
- Bachu, R.G.; Kopparthi, S.; Adapa, B.; Barkana, B.D. Voiced/Unvoiced Decision for Speech Signals Based on Zero-Crossing Rate and Energy; Springer: Dordrecht, The Netherlands, 2010; pp. 279–282. [Google Scholar]
- Inbar, G.F.; Allin, J.; Paiss, O.; Kranz, H. Monitoring surface emg spectral changes by the zero crossing rate. Med. Biol. Eng. Comput. 1986, 24, 10–18. [Google Scholar] [CrossRef] [PubMed]
- Zierhofer, C. A nonrecursive approach for zero crossing based spectral analysis. IEEE Sign. Process. Lett. 2017, 24, 1054–1057. [Google Scholar] [CrossRef]
- Im, J.; Jensen, J. A change detection model based on neighborhood correlation image analysis and decision tree classification. Remote Sens. Environ. 2005, 99, 326–340. [Google Scholar] [CrossRef]
- Rosenfeld, A.; Torre, P.D.L. Histogram concavity analysis as an aid in threshold selection. IEEE Trans. Syst. Man Cybern. 1983, 2, 231–235. [Google Scholar] [CrossRef]
- Liu, B.; Chen, J.; Xing, H.; Wu, H.; Zhang, J. A spiral-based construction of adjacent pixel sets for linear spectral unmixing. Acta Geodaetica Cartogr. Sin. 2017, 46, 1841–1849. [Google Scholar]
- Busetto, L.; Meroni, M.; Colombo, R. Combining medium and coarse spatial resolution satellite data to improve the estimation of sub-pixel NDVI time series. Remote Sens. Environ. 2008, 112, 118–131. [Google Scholar] [CrossRef]
- Zurita-Milla, R.; Clevers, J.; Schaepman, M.E. Unmixing-based landsat tm and meris fr data fusion. IEEE Geosci. Remote Sens. Lett. 2008, 5, 453–457. [Google Scholar] [CrossRef]
- Wu, M.; Huang, W.; Niu, Z.; Wang, C. Generating daily synthetic landsat imagery by combining landsat and modis data. Sensors 2015, 15, 24002–24025. [Google Scholar] [CrossRef] [PubMed]
- Morisette, J.T.; Khorram, S. Accuracy assessment curves for satellite-based change detection. Photogram. Eng. Remote Sens. 2000, 66, 875–880. [Google Scholar]
- Canty, M.J.; Nielsen, A.A. Automatic radiometric normalization of multitemporal satellite imagery with the iteratively re-weighted mad transformation. Remote Sens. Environ. 2008, 112, 1025–1036. [Google Scholar] [CrossRef]
- Chance, C.M.; Hermosilla, T.; Coops, N.C.; Wulder, M.A.; White, J.C. Effect of topographic correction on forest change detection using spectral trend analysis of landsat pixel-based composites. Int. J. Appl. Earth Observ. Geoinf. 2016, 44, 186–194. [Google Scholar] [CrossRef]
- Song, C.; Woodcock, C.; Seto, K.; Lenney, M.; Macomber, S. Classification and change detection using landsat tm data: When and how to correct atmospheric effects? Remote Sens. Environ. 2001, 75, 230–244. [Google Scholar] [CrossRef]












| STD | Mean | Median | |||||||
|---|---|---|---|---|---|---|---|---|---|
| C | UC | (C-UC)/F % | (C-UC)/STD | C | UC | (C-UC)/F % | (C-UC)/STD | ||
| CVA | 734.45 | 1493.29 | 721.45 | 7.72 | 1.05 | 1331 | 548 | 7.83 | 1.07 |
| IR | 164.52 | 218.72 | 72.19 | 1.465 | 0.90 | 145 | 70 | 0.75 | 0.456 |
| SGD | 660.60 | 1555.31 | 1146.53 | 4.09 | 0.62 | 1491 | 908 | 5.83 | 0.88 |
| Dcanb | 2312.86 | 3253.42 | 1461.63 | 17.92 | 0.77 | 1899 | 1160 | 7.39 | 0.32 |
| NDVI-GD | 932.00 | 2663.37 | 2453.27 | 2.10 | 0.23 | 2579 | 2352 | 2.27 | 0.24 |
| MSP | 2114.98 | 4950.40 | 1724.80 | 32.26 | 1.53 | 4984 | 1540 | 34.44 | 1.63 |
| Reference Points | ||||
|---|---|---|---|---|
| Changed Pixels | Unchanged Pixels | Sum | Commission Error | |
| Changed pixels | 1700 | 135 | 1835 | 7.36% |
| Unchanged pixels | 400 | 2388 | 2788 | 14.35% |
| Sum | 2100 | 2523 | 4623 | |
| Omission error | 19.05% | 5.35% | ||
| Overall accuracy = 88.427%, Kappa coefficient = 0.764 | ||||
| IR | CVA | SGD | NDVI-GD | Dcanb | MSP | |
|---|---|---|---|---|---|---|
| Thresholds | 14.554 | 3453.885 | 4720.222 | 25,820.027 | 21.947 | 0.985 |
| Overall accuracy (%) | 63.662 | 73.3293 | 68.938 | 55.894 | 60.208 | 88.427 |
| Kappa coefficient | −0.011 | 0.476 | 0.392 | 0.369 | 0.012 | 0.764 |
© 2018 by the authors. Licensee MDPI, Basel, Switzerland. This article is an open access article distributed under the terms and conditions of the Creative Commons Attribution (CC BY) license (http://creativecommons.org/licenses/by/4.0/).
Share and Cite
Liu, B.; Chen, J.; Chen, J.; Zhang, W. Land Cover Change Detection Using Multiple Shape Parameters of Spectral and NDVI Curves. Remote Sens. 2018, 10, 1251. https://doi.org/10.3390/rs10081251
Liu B, Chen J, Chen J, Zhang W. Land Cover Change Detection Using Multiple Shape Parameters of Spectral and NDVI Curves. Remote Sensing. 2018; 10(8):1251. https://doi.org/10.3390/rs10081251
Chicago/Turabian StyleLiu, Boyu, Jun Chen, Jiage Chen, and Weiwei Zhang. 2018. "Land Cover Change Detection Using Multiple Shape Parameters of Spectral and NDVI Curves" Remote Sensing 10, no. 8: 1251. https://doi.org/10.3390/rs10081251
APA StyleLiu, B., Chen, J., Chen, J., & Zhang, W. (2018). Land Cover Change Detection Using Multiple Shape Parameters of Spectral and NDVI Curves. Remote Sensing, 10(8), 1251. https://doi.org/10.3390/rs10081251

