SfM-Based Method to Assess Gorgonian Forests (Paramuricea clavata (Cnidaria, Octocorallia))
Abstract
1. Introduction
2. Materials and Methods
2.1. Study Site
2.2. Data Collection
2.2.1. Pilot Study on Gorgonian Population Structure
2.2.2. Underwater Imagery Collection
2.2.3. Gorgonian Colony Density and Morphometry Measurement
2.2.4. Relationship between Planar Surface Area and Weight
2.3. Image Processing
2.4. Data Analysis
2.4.1. SfM Estimation of Gorgonian Density Colony and Morphometry
2.4.2. Dried Colonies Analysis
2.5. Validation
3. Results
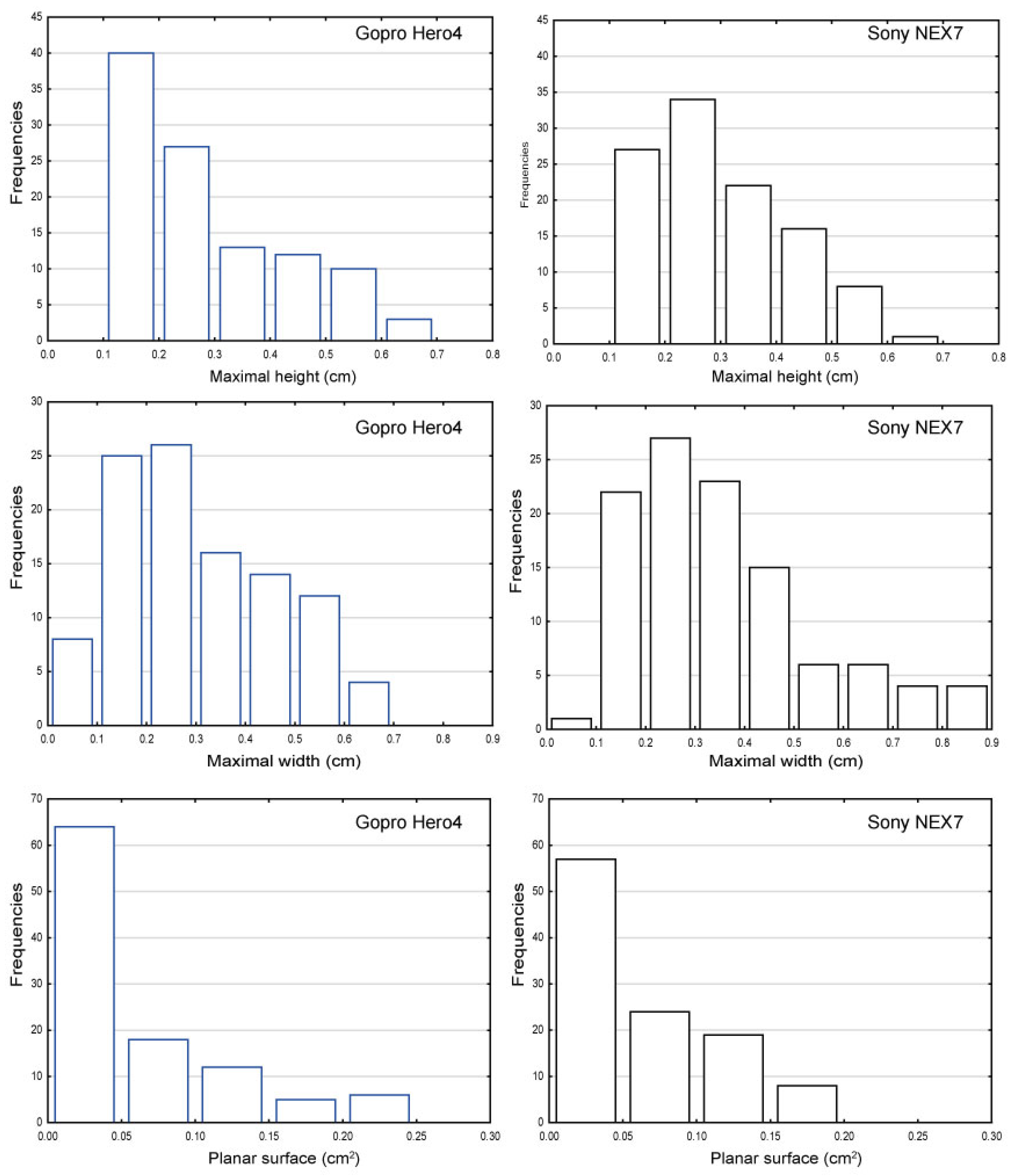
3.1. SfM-Population Structure Estimates and Validation
3.2. SfM-Biomass Estimation and Validation
4. Discussion
4.1. Estimated Metrics of P. clavata
4.2. Domain of Application
5. Conclusions
Supplementary Materials
Author Contributions
Funding
Acknowledgments
Conflicts of Interest
References
- Sánchez, J.A. Diversity and evolution of octocoral animal forests at both sides of tropical America. In Marine Animal Forests: The Ecology of Benthic Biodiversity Hotspots; Springer International Publishing: Cham, Switzerland, 2015; pp. 1–33. [Google Scholar]
- Ballesteros, E. Mediterranean coralligenous assemblages: A synthesis of present knowledge. Oceanogr. Mar. Biol. Annu. Rev. 2006, 44, 123–195. [Google Scholar]
- Rossi, S. The destruction of the ‘animal forests’ in the oceans: towards an over-simplification of the benthic ecosystems. Ocean Coast. Manag. 2013, 84, 77–85. [Google Scholar] [CrossRef]
- Gori, A.; Bavestrello, G.; Grinyó, J.; Dominguez-Carrió, C.; Ambroso, S.; Bo, M. Animal Forests in Deep Coastal Bottoms and Continental Shelf of the Mediterranean Sea. In Marine Animal Forests: The Ecology of Benthic Biodiversity Hotspots; Springer International Publishing: Cham, Switzerland, 2017; pp. 1–27. [Google Scholar]
- Valisano, L.; Notari, F.; Mori, M.; Cerrano, C. Temporal variability of sedimentation rates and mobile fauna inside and outside a gorgonian garden. Mar. Ecol. 2016, 37, 1303–1314. [Google Scholar] [CrossRef]
- Ponti, M.; Grech, D.; Mori, M.; Perlini, R.A.; Ventra, V.; Panzalis, P.A.; Cerrano, C. The role of gorgonians on the diversity of vagile benthic fauna in Mediterranean rocky habitats. Mar. Biol. 2016, 163, 1–14. [Google Scholar] [CrossRef]
- Mistri, M.; Ceccherelli, V.U. Growth and secondary production of the Mediterranean gorgonian Paramuricea clavata. Mar. Ecol. Prog. Ser. 1994, 103, 291–296. [Google Scholar] [CrossRef]
- Grigg, R.W. Orientation and growth form of sea fans. Limnol. Oceanogr. 1972, 17, 185–192. [Google Scholar] [CrossRef]
- Gili, J.M.; Coma, R. Benthic suspension feeders: Their paramount role in littoral marine food webs. Trends Ecol. Evolut. 1998, 13, 316–321. [Google Scholar] [CrossRef]
- Previati, M.; Scinto, A.; Cerrano, C.; Osinga, R. Oxygen consumption in Mediterranean octocorals under different temperatures. J. Exp. Mar. Biol. Ecol. 2010, 390, 39–48. [Google Scholar] [CrossRef]
- Vezzulli, L.; Colwell, R.R.; Pruzzo, C. Ocean warming and spread of pathogenic vibrios in the aquatic environment. Microb. Ecol. 2013, 65, 817–825. [Google Scholar] [CrossRef] [PubMed]
- Linares, C.; Coma, R.; Mariani, S.; Díaz, D.; Hereu, B.; Zabala, M. Early life history of the Mediterranean gorgonian Paramuricea clavata: Implications for population dynamics. Invert. Biol. 2008, 127, 1–11. [Google Scholar] [CrossRef]
- Cerrano, C.; Bavestrello, G.; Bianchi, C.N.; Cattaneo-Vietti, R.; Bava, S.; Morganti, C.; Morri, C.; Picco, P.; Sara, G.; Schiaparelli, S.; et al. A catastrophic mass-mortality episode of gorgonians and other organisms in the Ligurian Sea (North-western Mediterranean), summer 1999. Ecol. Lett. 2000, 3, 284–293. [Google Scholar] [CrossRef]
- Linares, C.; Coma, R.; Zabala, M. Restoration of threatened red gorgonian populations: An experimental and modelling approach. Biol. Conserv. 2008, 141, 427–437. [Google Scholar] [CrossRef]
- Cerrano, C.; Bavestrello, G. Medium-term effects of die-off of rocky benthos in the Ligurian Sea. What can we learn from gorgonians? Chem. Ecol. 2008, 24, 73–82. [Google Scholar] [CrossRef]
- Cerrano, C.; Bavestrello, G. Mass mortalities and extinctions. In Marine Hard Bottom Communities; Springer: Berlin/Heidelberg, Germany, 2009; pp. 295–307. [Google Scholar]
- Garrabou, J.; Coma, R.; Bensoussan, N.; Bally, M.; Chevaldonné, P.; Cigliano, M.; Diaz, D.; Harmelin, J.G.; Gambi, M.; Kersting, D.; et al. Mass mortality in Northwestern Mediterranean rocky benthic communities: effects of the 2003 heat wave. Glob. Chang. Biol. 2009, 15, 1090–1103. [Google Scholar] [CrossRef]
- Vezzulli, L.; Previati, M.; Pruzzo, C.; Marchese, A.; Bourne, D.G.; Cerrano, C. Vibrio infections triggering mass mortality events in a warming Mediterranean Sea. Environ. Microbiol. 2010, 12, 2007–2019. [Google Scholar] [CrossRef] [PubMed]
- Huete-Stauffer, C.; Vielmini, I.; Palma, M.; Navone, A.; Panzalis, P.; Vezzulli, L.; Misic, C.; Cerrano, C. Paramuricea clavata (Anthozoa, Octocorallia) loss in the Marine Protected Area of Tavolara (Sardinia, Italy) due to a mass mortality event. Mar. Ecol. 2011, 32, 107–116. [Google Scholar] [CrossRef]
- Santangelo, G.; Cupido, R.; Cocito, S.; Bramanti, L.; Priori, C.; Erra, F.; Iannelli, M. Effects of increased mortality on gorgonian corals (Cnidaria, Octocorallia): different demographic features may lead affected populations to unexpected recovery and new equilibrium points. Hydrobiologia 2015, 759, 171–187. [Google Scholar] [CrossRef]
- Mokhtar-jamaï, K.; Pascual, M.; Ledoux, J.B.; Coma, R.; Féral, J.P.; Garrabou, J.; Aurelle, D. From global to local genetic structuring in the red gorgonian Paramuricea clavata: The interplay between oceanographic conditions and limited larval dispersal. Mol. Ecol. 2011, 20, 3291–3305. [Google Scholar] [CrossRef] [PubMed]
- Coma, R.; Zabala, M.; Gili, J.M. Sexual reproductive effort in the Mediterranean gorgonian Paramuricea clavata. Mar. Ecol. Prog. Ser. 1995, 117, 185–192. [Google Scholar] [CrossRef]
- Coma, R.; Ribes, M.; Zabala, M.; Gili, J.M. Growth in a modular colonial marine invertebrate. Estuar. Coast. Shelf Sci. 1998, 47, 459–470. [Google Scholar] [CrossRef]
- Cerrano, C.; Arillo, A.; Azzini, F.; Calcinai, B.; Castellano, L.; Muti, C.; Valisano, L.; Zega, G.; Bavestrello, G. Gorgonian population recovery after a mass mortality event. Aquat. Conserv. Mar. Freshw. Ecosyst. 2005, 15, 147–157. [Google Scholar] [CrossRef]
- Mistri, M. Gross morphometric relationships and growth in the Mediterranean gorgonian Paramuricea clavata. Ital. J. Zool. 1995, 62, 5–8. [Google Scholar]
- Weinbauer, M.G.; Velimirov, B. Biomass and secondary production of the temperate gorgonian coral Eunicella cavolini (Coelenterata: Octocorallia). Mar. Ecol. Prog. Ser. 1995, 121, 211–216. [Google Scholar] [CrossRef]
- Deter, J.; Descamp, P.; Ballesta, L.; Boissery, P.; Holon, F. A preliminary study toward an index based on coralligenous assemblages for the ecological status assessment of Mediterranean French coastal waters. Ecol. Indic. 2012, 20, 345–352. [Google Scholar] [CrossRef]
- Figueira, W.; Ferrari, R.; Weatherby, E.; Porter, A.; Hawes, S.; Byrne, M. Accuracy and Precision of Habitat Structural Complexity Metrics Derived from Underwater Photogrammetry. Remote Sens. 2015, 7, 16883–16900. [Google Scholar] [CrossRef]
- Ferrari, R.; Figueira, W.F.; Pratchett, M.S.; Boube, T.; Adam, A.; Kobelkowsky-Vidrio, T.; Doo, S.S.; Atwood, T.B.; Byrne, M. 3D photogrammetry quantifies growth and external erosion of individual coral colonies and skeletons. Sci. Rep. 2017, 7, 16737. [Google Scholar] [CrossRef] [PubMed]
- Palma, M.; Rivas Casado, M.; Pantaleo, U.; Cerrano, C. High Resolution Orthomosaics of African Coral Reefs: A Tool for Wide-Scale Benthic Monitoring. Remote Sens. 2017, 9, 705. [Google Scholar] [CrossRef]
- James, M.; Robson, S. Straightforward reconstruction of 3D surfaces and topography with a camera: Accuracy and geoscience application. J. Geophys. Res. Earth Surf. 2012, 117. [Google Scholar] [CrossRef]
- Wallace, L.; Lucieer, A.; Malenovskỳ, Z.; Turner, D.; Vopěnka, P. Assessment of forest structure using two UAV techniques: A comparison of airborne laser scanning and structure from motion (SfM) point clouds. Forests 2016, 7, 62. [Google Scholar] [CrossRef]
- Raoult, V.; Reid-Anderson, S.; Ferri, A.; Williamson, J.E. How reliable is Structure from Motion (SfM) over time and between observers? A case study using coral reef bommies. Remote Sens. 2017, 9, 740. [Google Scholar] [CrossRef]
- Bryson, M.; Ferrari, R.; Figueira, W.; Pizarro, O.; Madin, J.; Williams, S.; Byrne, M. Characterization of measurement errors using structure-from-motion and photogrammetry to measure marine habitat structural complexity. Ecol. Evolut. 2017, 7, 5669–5681. [Google Scholar] [CrossRef] [PubMed]
- Royer, J.P.; Nawaf, M.M.; Merad, D.; Saccone, M.; Bianchimani, O.; Garrabou, J.; Ledoux, J.B.; Lopez-Sanz, A.; Drap, P. Photogrammetric Surveys and Geometric Processes to Analyse and Monitor Red Coral Colonies. J. Mar. Sci. Eng. 2018, 6, 42. [Google Scholar] [CrossRef]
- Huete-Stauffer, C.; Previati, M.; Scinto, A.; Palma, M.; Pantaleo, U.; Cappanera, V.; Cerrano, C.; Imperia, C.E.A.; Portofino, M. Long-Term Monitoring in a Multi-Stresses Paramuricea clavata Population. Rapp. Comm. int. Mer Médit. 2013, 40, 654. [Google Scholar]
- Atlante Degli Habitat Marini Sc. 1:10000-2009. Available online: http://geoservizi.regione.liguria.it/geoserver/M1277/wms?version=1.3.0&request=getcapabilities (accessed on 30 May 2018).
- Pergent, G. Proposal for the definition of standard methods for inventorying and monitoring coralligenous and maerl populations. In UNEP-MAP, RAC/SPA Report UNEP (DEPI)/MED WG; United Nations Environment Programme Mediterranean Action Plan Regional Activity Centre for Specially Protected Areas (RAC/SPA): Cedex, Tunis, 2011; Volume 362, p. 20. [Google Scholar]
- Lepareur, F. Évaluation de l’état de conservation des habitats naturels marins à l’échelle d’un site Natura 2000. Guide Méthodol. Rapp. SPN 2011, 3, 9. [Google Scholar]
- Mitchell, N.D.; Dardeau, M.R.; Schroeder, W.W.; Benke, A.C. Secondary production of gorgonian corals in the northern Gulf of Mexico. Mar. Ecol. Prog. Ser. 1992, 87, 275–281. [Google Scholar] [CrossRef]
- Zuiderveld, K. Contrast limited adaptive histogram equalization. Graph. Gems 1994, 474–485. [Google Scholar] [CrossRef]
- Girardeau-Montaut, D. CloudCompare, Version 2.6.0 (GPL Software). 2014. Available online: http://www.cloudcompare.org/release/notes/20141026/ (accessed on 21 July 2018).
- Lague, D.; Brodu, N.; Leroux, J. Accurate 3D comparison of complex topography with terrestrial laser scanner: Application to the Rangitikei canyon (NZ). ISPRS J. Photogramm. Remote Sens. 2013, 82, 10–26. [Google Scholar] [CrossRef]
- Kazhdan, M.; Hoppe, H. Screened poisson surface reconstruction. ACM Trans. Graph. (TOG) 2013, 32, 29. [Google Scholar] [CrossRef]
- Brodu, N.; Lague, D. 3D Point Cloud Classification of Complex Natural Scenes Using a Multi-Scale Dimensionality Criterion: Applications in Geomorphology; EGU General Assembly: Vienna, Austria, 2012; Volume 14, p. 4368. [Google Scholar]
- Cignoni, P.; Callieri, M.; Corsini, M.; Dellepiane, M.; Ganovelli, F.; Ranzuglia, G. MeshLab: An Open-Source Mesh Processing Tool. In Eurographics Italian Chapter Conference; Scarano, V., Chiara, R.D., Erra, U., Eds.; The Eurographics Association: Salerno, Italy, 2008. [Google Scholar]
- Dewez, T.J.B.; Girardeau-Montaut, D.; Allanic, C.; Rohmer, J. Facets: A CloudCompare plugin to extract geological planes from unstructured 3d point clouds. ISPRS Int. Arch. Photogramm. Remote Sens. Spat. Inf. Sci. 2016, XLI-B5, 799–804. [Google Scholar] [CrossRef]
- Schneider, C.A.; Rasband, W.S.; Eliceiri, K.W. NIH Image to ImageJ: 25 years of image analysis. Nat. Methods 2012, 9, 671–675. [Google Scholar] [CrossRef] [PubMed]
- Linares, C.; Coma, R.; Garrabou, J.; Díaz, D.; Zabala, M. Size distribution, density and disturbance in two Mediterranean gorgonians: Paramuricea clavata and Eunicella singularis. J. Appl. Ecol. 2008, 45, 688–699. [Google Scholar] [CrossRef]
- Bramanti, L.; Benedetti, M.C.; Cupido, R.; Cocito, S.; Priori, C.; Erra, F.; Iannelli, M.; Santangelo, G. Demography of Animal Forests: The Example of Mediterranean Gorgonians. In Marine Animal Forests: The Ecology of Benthic Biodiversity Hotspots; Rossi, S., Bramanti, L., Gori, A., Orejas Saco del Valle, C., Eds.; Springer: Cham, Switzerland, 2015; pp. 1–20. [Google Scholar]
- Milazzo, M.; Chemello, R.; Badalamenti, F.; Camarda, R.; Riggio, S. The impact of human recreational activities in marine protected areas: What lessons should be learnt in the Mediterranean sea? Mar. Ecol. 2002, 23, 280–290. [Google Scholar] [CrossRef]
- Rossi, S.; Gili, J.M.; Garrofé, X. Net negative growth detected in a population Leptogorgia sarmentosa: Quantifying the biomass loss in a benthic soft bottom-gravel gorgonian. Mar. Biol. 2011, 158, 1631–1643. [Google Scholar] [CrossRef]
- Pavoni, G.; Palma, M.; Callieri, M.; Dellepiane, M.; Scopigno, R.; Cerrano, C. Quasi-Orthorectified projection for the measurement of Red Gorgonian colonies. ISPRS Ann. Photogramm. Remote Sens. Spat. Inf. Sci. 2018, XLII-2, 853–860. [Google Scholar] [CrossRef]
- European Commission. Communication from the Commission to the Council, the European Parliament, the European Economic and Social Committee and the Committee of Regions COM(2006)421 and the Committee of the Regions; European Partnership: Brussels, Belgium, 2011. [Google Scholar]
- Franzese, P.P.; Buonocore, E.; Paoli, C.; Massa, F.; Stefano, D.; Fanciulli, G.; Miccio, A.; Mollica, E.; Navone, A.; Russo, G.F.; et al. Environmental accounting in marine protected areas: The EAMPA project. J. Environ. Account. Manag. 2015, 3, 324–332. [Google Scholar] [CrossRef]
- Coma, R.; Ribes, M.; Serrano, E.; Jiménez, E.; Salat, J.; Pascual, J. Global warming-enhanced stratification and mass mortality events in the Mediterranean. Proc. Natl. Acad. Sci. USA 2009, 106, 6176–6181. [Google Scholar] [CrossRef] [PubMed]
- Cerrano, C.; Danovaro, R.; Gambi, C.; Pusceddu, A.; Riva, A.; Schiaparelli, S. Gold coral (Savalia savaglia) and gorgonian forests enhance benthic biodiversity and ecosystem functioning in the mesophotic zone. Biodivers. Conserv. 2010, 19, 153–167. [Google Scholar] [CrossRef]
- White, M.; Wolff, G.A.; Lundälv, T.; Guihen, D.; Kiriakoulakis, K.; Lavaleye, M.; Duineveld, G. Cold-water coral ecosystem (Tisler Reef, Norwegian Shelf) may be a hotspot for carbon cycling. Mar. Ecol. Prog. Ser. 2012, 465, 11–23. [Google Scholar] [CrossRef]
- Cathalot, C.; Van Oevelen, D.; Cox, T.J.; Kutti, T.; Lavaleye, M.; Duineveld, G.; Meysman, F.J. Cold-water coral reefs and adjacent sponge grounds: Hotspots of benthic respiration and organic carbon cycling in the deep sea. Front. Mar. Sci. 2015, 2, 37. [Google Scholar] [CrossRef]
- Le, J.T.; Levin, L.A.; Carson, R.T. Incorporating ecosystem services into environmental management of deep-seabed mining. Deep Sea Res. Part II Top. Stud. Oceanogr. 2017, 137, 486–503. [Google Scholar] [CrossRef]
- Franzese, P.P.; Buonocore, E.; Donnarumma, L.; Russo, G.F. Natural capital accounting in marine protected areas: The case of the Islands of Ventotene and S. Stefano (Central Italy). Ecol. Model. 2017, 360, 290–299. [Google Scholar] [CrossRef]
- Picone, F.; Buonocore, E.; D’Agostaro, R.; Donati, S.; Chemello, R.; Franzese, P. Integrating natural capital assessment and marine spatial planning: A case study in the Mediterranean sea. Ecol. Model. 2017, 361, 1–13. [Google Scholar] [CrossRef]
- Sartoretto, S.; Schohn, T.; Bianchi, C.N.; Morri, C.; Garrabou, J.; Ballesteros, E.; Ruitton, S.; Verlaque, M.; Daniel, B.; Charbonnel, E.; et al. An integrated method to evaluate and monitor the conservation state of coralligenous habitats: The INDEX-COR approach. Mar. Pollut. Bull. 2017, 120, 222–231. [Google Scholar] [CrossRef] [PubMed]








| Categories | Metrics | Tool | Unit | Description |
|---|---|---|---|---|
| Structural | Abundance | CloudCompare, Facet | count | Number of colonies within the study area |
| Density | CloudCompare, Facet | count | Number of colonies per square metre | |
| Morphology | Maximal height | CloudCompare, Facet | cm | Maximal vertical extension of the segmented colony. |
| Maximal width | CloudCompare, Facet | cm | Maximal horizontal extension of the segmented colony. | |
| Planar fan surface | CloudCompare, Facet | cm2 | Surface of the polygon generated by fitting a single plane to the colony’s point cloud. | |
| 3D canopy surface | CloudCompare, Facet | cm2 | Mosaic of planes generated by fitting multiple facets dimensioned 5 cm × 5 cm within the point cloud. | |
| Coenenchymal surface (A) | Meshlab, Screened Poisson Surface Reconstruction | cm2 | Total tissue surface of the gorgonian calculated through the generation of the 3D model of the colony. | |
| Biomass | Dry weight (DW) | Conversion factor | g | Weight of the dry coenenhymal tissue of the gorgonian estimated through the conversion from surface unit (cm2) to weight per surface unit (g cm−2) [7] |
| Ash Fee Dry Weight (AFDW) | Conversion factor | g | Weight of the inorganic component of the coenenchymal tissue estimated through the conversion from DW (g) to Ash Free Dry Weight (AFDW) (g) [7] |
| GP | SN | |
|---|---|---|
| Number of collected images | 365 | 333 |
| Number of processed images | 325 | 321 |
| Processing time (h) | 5 | 5 |
| Colonies detected | 103 | 71 |
| Point cloud density (pts m−2) | 120,442 | 209,269 |
| Nominal pixel dimension (mm) | 0.558 | 0.741 |
| Metrics | High Density | Strata Medium Density | Low Density | |
|---|---|---|---|---|
| Pilot study 0.5 m × 0.5 m | Average Range | 16.8 (±7.6) 1–7 | 14.0 (±4.0) 1–4 | 6.4 (±9.2) –3 |
| AGT 1 m × 1 m | Average Range | 15.7 (±1.9) 13–17 | 10.3 (±1.2) 7–12 | 4.3 (±1.2) 3–6 |
| SfM-GP 1 m × 1 m | Average Range | 14.0 (±1.4) 13–16 | 8.3 (±0.9) 7–9 | 4.3 (±1.2) 3–6 |
| SfM-SN 1 m × 1 m | Average Range | 9.3 (±1.2) 8–11 | 7.3 (±2.1) 5–10 | 3.3 (±0.5) 3–4 |
| Colonies | Units | 1 | 2 | 3 | 4 | 5 | 6 | 7 | 8 | 9 |
|---|---|---|---|---|---|---|---|---|---|---|
| Maximal height | cm | 24.43 | 15.07 | 39.31 | 19.78 | 24.12 | 24.56 | 38.09 | 55.65 | 38.26 |
| Maximal width | 12.82 | 11.53 | 21.49 | 9.89 | 16.02 | 20.30 | 30.33 | 15.74 | 22.63 | |
| Fan surface | cm2 | 196.95 | 115.66 | 667.76 | 124.05 | 226.10 | 428.86 | 729.88 | 609.41 | 566.55 |
| Coen. surface SfM analysis | cm2 | 186.48 | 82.72 | 600.56 | 115.57 | 246.48 | 475.77 | 966.34 | 1078.17 | 601.43 |
| Coen. surface lab analysis | 121.30 | 58.13 | 465.82 | 61.98 | 172.88 | 273.61 | 660.46 | 736.99 | 445.65 | |
| Diff. between SfM and lab coen surfaces | 65.18 | 24.59 | 134.76 | 53.59 | 73.6 | 202.16 | 305.88 | 341.18 | 149.78 | |
| Coen. DW SfM analysis | g | 0.876 | 0.388 | 2.822 | 0.543 | 1.158 | 2.236 | 4.541 | 5.067 | 2.798 |
| Coen. DW lab analysis | 0.570 | 0.273 | 2.189 | 0.291 | 0.812 | 1.285 | 3.104 | 3.463 | 2.094 | |
| Diff. between SfM and lab DW | 0.306 | 0.115 | 0.633 | 0.252 | 0.346 | 0.951 | 1.437 | 1.604 | 0.704 | |
| AFDW SfM analysis | g | 0.133 | 0.059 | 0.427 | 0.082 | 0.175 | 0.338 | 0.687 | 0.767 | 0.423 |
| AFDW lab analysis | 0.086 | 0.041 | 0.331 | 0.044 | 0.123 | 0.194 | 0.470 | 0.524 | 0.317 | |
| Diff. between SfM and lab AFDW | 0.046 | 0.017 | 0.096 | 0.038 | 0.052 | 0.144 | 0.217 | 0.243 | 0.107 |
| Study | Metric | N | Mean | Range | Mean Difference | Difference Range |
|---|---|---|---|---|---|---|
| MGT | Height (cm) | 17 | 32.63 | 14.3–64.7 | − | − |
| SfM-GP | 17 | 30.0 | 11.1–52.1 | −2.63 | −11.12–12.57 | |
| SfM-SN | 17 | 30.7 | 10.7–57.8 | −1.93 | −7.95–9.09 | |
| Dry colony analysis | 9 | 30.6 | 15.1–55.6 | − | − | |
| MGT | Width (cm) | 17 | 32.3 | 12.5–54.3 | − | − |
| SfM-GP | 17 | 28.7 | 7.3–48.1 | −3.63 | −9.20–13.04 | |
| SfM-SN | 17 | 29.8 | 9.7–55.2 | −2.47 | −14.70–14.69 | |
| Dry colony analysis | 9 | 18.9 | 9.89–30.3 | − | − | |
| MGT | Plannar fan surface (cm2) | 17 | 833 | 120–1640 | − | − |
| SfM-GP | 17 | 680 | 60–1590 | −153.0 | −276.4–533.0 | |
| SfM-SN | 17 | 780 | 80–1770 | −52.8 | −552.2–420.4 | |
| Dry colony analysis | 9 | 330 | 116–730 | − | − |
© 2018 by the authors. Licensee MDPI, Basel, Switzerland. This article is an open access article distributed under the terms and conditions of the Creative Commons Attribution (CC BY) license (http://creativecommons.org/licenses/by/4.0/).
Share and Cite
Palma, M.; Rivas Casado, M.; Pantaleo, U.; Pavoni, G.; Pica, D.; Cerrano, C. SfM-Based Method to Assess Gorgonian Forests (Paramuricea clavata (Cnidaria, Octocorallia)). Remote Sens. 2018, 10, 1154. https://doi.org/10.3390/rs10071154
Palma M, Rivas Casado M, Pantaleo U, Pavoni G, Pica D, Cerrano C. SfM-Based Method to Assess Gorgonian Forests (Paramuricea clavata (Cnidaria, Octocorallia)). Remote Sensing. 2018; 10(7):1154. https://doi.org/10.3390/rs10071154
Chicago/Turabian StylePalma, Marco, Monica Rivas Casado, Ubaldo Pantaleo, Gaia Pavoni, Daniela Pica, and Carlo Cerrano. 2018. "SfM-Based Method to Assess Gorgonian Forests (Paramuricea clavata (Cnidaria, Octocorallia))" Remote Sensing 10, no. 7: 1154. https://doi.org/10.3390/rs10071154
APA StylePalma, M., Rivas Casado, M., Pantaleo, U., Pavoni, G., Pica, D., & Cerrano, C. (2018). SfM-Based Method to Assess Gorgonian Forests (Paramuricea clavata (Cnidaria, Octocorallia)). Remote Sensing, 10(7), 1154. https://doi.org/10.3390/rs10071154

