Understanding Long-Term Savanna Vegetation Persistence across Three Drainage Basins in Southern Africa
Abstract
1. Introduction
2. Materials and Methods
2.1. Study Area
2.2. Climate Data
2.3. Remote Sensing
2.3.1. NDVI Metrics: Persistence, Seasonal NDVI, and Seasonal Cumulative NDVI
3. Results
3.1. Climate Patterns
3.2. Directional Persistence
3.2.1. March, April, May Trends
3.2.2. June, July, August Trends
3.2.3. September, October, November Trends
3.2.4. December, January, February Trends
3.2.5. Overarching Trends
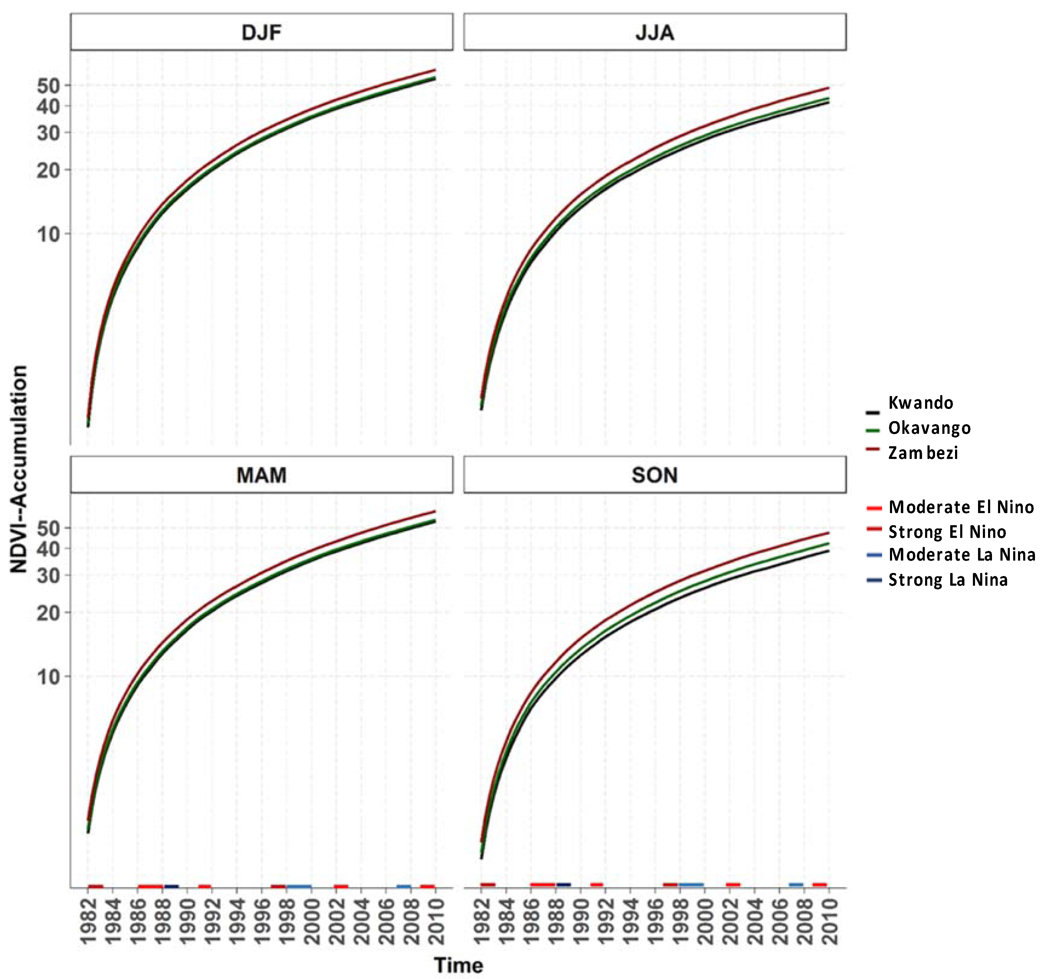
3.3. Seasonal Accumulation Patterns
3.3.1. Time Series Analysis
3.3.2. Change Point Analysis
4. Discussion
4.1. Physiological Trends and Drivers of Spatial Heterogeneity
4.2. Climate Change
4.3. Implications for the Developed NDVI Metrics
5. Conclusions
Author Contributions
Funding
Acknowledgments
Conflicts of Interest
Abbreviations
| MODIS | Moderate Resolution Imaging Spectroradiometer |
| AVHRR | Advanced Very High-Resolution Radiometer |
| GHCN2 | Global Historical Climate Network |
| MAP | Mean Annual Precipitation |
| NDVI | Normalized Difference Vegetation Index |
| PELT | Pruned Exact Linear Time |
| UNFCCC | United Nations Framework Convention on Climate Change |
References
- Bond, W.J. What Limits Trees in C4 Grasslands and Savannas? Annu. Rev. Ecol. Evol. Syst. 2008, 39, 641–659. [Google Scholar] [CrossRef]
- Scholes, R.J. Convex relationships in ecosystems containing mixtures of trees and grass. Environ. Resour. Econ. 2003, 26, 559–574. [Google Scholar] [CrossRef]
- Sankaran, M.; Ratnam, J.; Hanan, N. Tree–grass coexistence in savannas revisited—Insights from an examination of assumptions and mechanisms invoked in existing models. Ecol. Lett. 2004, 7, 480–490. [Google Scholar] [CrossRef]
- Scholes, R.J.; Archer, S.R. Tree-grass interactions in savannas. Annu. Rev. Ecol. Syst. 1997, 28, 517–544. [Google Scholar] [CrossRef]
- Walter, H.; Burnett, J.H.; Mueller-Dombois, D. Ecology of Tropical and Subtropical Vegetation; Oliver & Boyd: Edinburgh, UK, 1971. [Google Scholar]
- Lehmann, C.E.; Anderson, T.M.; Sankaran, M.; Higgins, S.I.; Archibald, S.; Hoffmann, W.A.; Hanan, N.P.; Williams, R.J.; Fensham, R.J.; Felfili, J.; et al. Savanna vegetation-fire-climate relationships differ among continents. Science 2014, 343, 548–552. [Google Scholar] [CrossRef] [PubMed]
- Sankaran, M.; Ratnam, J.; Hanan, N. Woody cover in African savannas: The role of resources, fire and herbivory. Glob. Ecol. Biogeogr. 2008, 17, 236–245. [Google Scholar] [CrossRef]
- Sugihara, G.; May, R.; Ye, H.; Hsieh, C.; Deyle, E.; Fogarty, M.; Munch, S. Detecting Causality in Complex Ecosystems. Science 2012, 338, 496–500. [Google Scholar] [CrossRef] [PubMed]
- Kgope, B.; Bond, W.; Midgley, G.F. Growth responses of African savanna trees implicate atmospheric [CO2] as a driver of past and current changes in savanna tree cover. Austral Ecol. 2010, 35, 451–463. [Google Scholar] [CrossRef]
- Ellis, J.E.; Swift, D.M. Stability of African pastoral ecosystems: Alternate paradigms and implications for development. Rangel. Ecol. Manag. J. Range Manag. Arch. 1988, 41, 450–459. [Google Scholar] [CrossRef]
- Buitenwerf, R.; Bond, W.J.; Stevens, N.; Trollope, W.S.W. Increased tree densities in South African savannas: >50 years of data suggests CO2 as a driver. Glob. Chang. Biol. 2012, 18, 675–684. [Google Scholar] [CrossRef]
- Makarieva, A.M.; Gorshkov, V.G. Biotic pump of atmospheric moisture as driver of the hydrological cycle on land. Hydrol. Earth Syst. Sci. Discuss. 2006, 3, 2621–2673. [Google Scholar] [CrossRef]
- Gillson, L.; Hoffman, M.T. Ecology. Rangeland ecology in a changing world. Science 2007, 315, 53–54. [Google Scholar] [CrossRef] [PubMed]
- Sankaran, M.; Hanan, N.P.; Scholes, R.J.; Ratnam, J.; Augustine, D.J.; Cade, B.S.; Gignoux, J.; Higgins, S.I.; Le Roux, X.; Ludwig, F.; et al. Determinants of woody cover in African savannas. Nature 2005, 438, 846–849. [Google Scholar] [CrossRef] [PubMed]
- Good, S.P.; Caylor, K.K. Climatological determinants of woody cover in Africa. Proc. Natl. Acad. Sci. USA 2011, 108, 4902–4907. [Google Scholar] [CrossRef] [PubMed]
- Seghieri, J.; Vescovo, A.; Padel, K.; Soubie, R.; Arjounin, M.; Boulain, N.; de Rosnay, P.; Galle, S.; Gosset, M.; Mouctar, A.H.; et al. Relationships between climate, soil moisture and phenology of the woody cover in two sites located along the West African latitudinal gradient. J. Hydrol. 2009, 375, 78–89. [Google Scholar] [CrossRef]
- Vanacker, V.; Linderman, M.; Lupo, F.; Flasse, S.; Lambin, E.F. Impact of shortterm rainfall fluctuation on interannual land cover change in sub-Saharan Africa. Glob. Ecol. Biogeogr. 2005, 14, 123–135. [Google Scholar] [CrossRef]
- Mayer, A.L.; Khalyani, A.H. Grass Trumps Trees with Fire. Science 2011, 334, 188–189. [Google Scholar] [CrossRef] [PubMed]
- Campo-Bescós, M.A.; Muñoz-Carpena, R.; Kaplan, D.A.; Southworth, J.; Zhu, L.; Waylen, P.R. Beyond precipitation: Physiographic gradients dictate the relative importance of environmental drivers on savanna vegetation. PLoS ONE 2013, 8, e72348. [Google Scholar] [CrossRef] [PubMed]
- Campo-Bescós, M.A.; Muñoz-Carpena, R.; Southworth, J.; Zhu, L.; Waylen, P.R.; Bunting, E. Combined spatial and temporal effects of environmental controls on long-term monthly NDVI in the southern Africa Savanna. Remote Sens. 2013, 5, 6513–6538. [Google Scholar] [CrossRef]
- Southworth, J.; Zhu, L.; Bunting, E.; Ryan, S.J.; Herrero, H.; Waylen, P.R.; Hill, M.J. Changes in vegetation persistence across global savanna landscapes, 1982–2010. J. Land Use Sci. 2016, 11, 7–32. [Google Scholar] [CrossRef]
- Bucini, G.; Hanan, N. A continental-scale analysis of tree cover in African savannas. Glob. Ecol. Biogeogr. 2007, 16, 593–605. [Google Scholar] [CrossRef]
- Murphy, B.P.; Bowman, D.M. What controls the distribution of tropical forest and savanna? Ecol. Lett. 2012, 15, 748–758. [Google Scholar] [CrossRef] [PubMed]
- Seaquist, J.W.; Hickler, T.; Eklundh, L.; Ardö, J.; Heumann, B.W. Disentangling the effects of climate and people on Sahel vegetation dynamics. Biogeosciences 2009, 6, 469–477. [Google Scholar] [CrossRef]
- Houghton, J.T.; Ding, Y.; Griggs, D.J.; Noguer, M.; van der Linden, P.J.; Dai, X.; Maskell, K.; Johnson, C.A. The IPCC Report 2001; IPCC: Geneva, Switzerland, 2000; Volume 463, p. 255. [Google Scholar]
- Niang, I.; Abdrabo, M.A.; Essel, A.; Lennard, C.; Padgham, J.; Urquhart, P. Africa. In Climate Change 2014: Impacts, Adaptation, and Vulnerability. Part B: Regional Aspects. Contribution of Working Group II to the Fifth Assessment Report of the Intergovernmental Panel on Climate Change; Barros, V.R., Field, C.B., Dokken, D.J., Mastrandrea, M.D., Mach, K.J., Bilir, T.E., Chatterjee, M., Ebi, K.L., Estrada, Y., Genova, R.C., et al., Eds.; Cambridge University Press: Cambridge, UK; New York, NY, USA, 2014; pp. 1199–1265. [Google Scholar]
- McCarthy, J.J.; Canziani, O.F.; Leary, N.A.; Dokken, D.J.; White, K.S. Climate Change 2001: Impacts, Adaptation, and Vulnerability; Cambridge University Press: Cambridge, UK, 2001. [Google Scholar]
- Parry, M.L. Climate Change 2007: Impacts, Adaptation and Vulnerability: Working Group II Contribution to the Fourth Assessment Report of the IPCC Intergovernmental Panel on Climate Change; Cambridge University Press: Cambridge, UK, 2007; ISBN 978-0-521-88010-7. [Google Scholar]
- Hernes, H.; Dalfelt, A.; Berntsen, T.; Holtsmark, B.; Næss, L.O.; Selrod, R.; Aaheim, H.A. Climate Strategy for Africa; CICERO Report; CICERO: Oslo, Norway, 1995. [Google Scholar]
- Ringius, L.; Downing, T.; Hulme, M.; Waughray, D.; Selrod, R. Climate Change in Africa: Issues and Challenges in Agriculture and Water for Sustainable Development; CICERO Report; CICERO: Oslo, Norway, 1996. [Google Scholar]
- Susan, S. (Ed.) Climate Change 2007—The Physical Science Basis: Working Group I Contribution to the Fourth Assessment Report of the IPCC; Cambridge University Press: Cambridge, UK, 2007; Volume 4. [Google Scholar]
- Gaughan, A.E.; Waylen, P.R. Spatial and temporal precipitation variability in the Okavango–Kwando–Zambezi catchment, southern Africa. J. Arid Environ. 2012, 82, 19–30. [Google Scholar] [CrossRef]
- McGann, J. The current status of unfccc article 6 work program implementation in Namibia. In Proceedings of the African Workshop on Article, Banjul, The Gambia, 28–30 January 2004. [Google Scholar]
- Cui, X.; Gibbes, C.; Southworth, J.; Waylen, P. Using Remote Sensing to Quantify Vegetation Change and Ecological Resilience in a Semi-Arid System. Land 2013, 2, 108–130. [Google Scholar] [CrossRef]
- Lunetta, R.S.; Lyon, J.G. Remote Sensing and GIS Accuracy Assessment; CRC Press: Boca Raton, FL, USA, 2004; ISBN 978-0-203-49758-6. [Google Scholar]
- Hare, S.R.; Mantua, N.J. Empirical evidence for North Pacific regime shifts in 1977 and 1989. Prog. Oceanogr. 2000, 47, 103–145. [Google Scholar] [CrossRef]
- Mason, S.J. El Niño, climate change, and Southern African climate. Environmetrics 2001, 12, 327–345. [Google Scholar] [CrossRef]
- Chavez, F.P.; Ryan, J.; Lluch-Cota, S.E.; Niquen, M. From Anchovies to Sardines and Back: Multidecadal Change in the Pacific Ocean. Science 2003, 299, 217–221. [Google Scholar] [CrossRef] [PubMed]
- Willmott, C.J.; Matsuura, K. Smart interpolation of annually averaged air temperature in the United States. J. Appl. Meteorol. 1995, 34, 2577–2586. [Google Scholar] [CrossRef]
- Thomas, D.S.G.; Twyman, C. Good or bad rangeland? Hybrid knowledge, science, and local understandings of vegetation dynamics in the Kalahari. Land Degrad. Dev. 2004, 15, 215–231. [Google Scholar] [CrossRef]
- Scanlon, T.M.; Caylor, K.K.; Manfreda, S.; Levin, S.A.; Rodriguez-Iturbe, I. Dynamic response of grass cover to rainfall variability: Implications for the function and persistence of savanna ecosystems. Adv. Water Resour. 2005, 28, 291–302. [Google Scholar] [CrossRef]
- Sekhwala, M.; Yates, D. A Phenological Study of Dominant Acacia Tree Species in Areas with Different Rainfall Regimes in the Kalahari of Botswana—ScienceDirect. Available online: Https://www.sciencedirect.com/science/article/pii/S0140196307000031 (accessed on 4 May 2018).
- Thenkabail, P.S. Inter-sensor relationships between IKONOS and Landsat-7 ETM+ NDVI data in three ecoregions of Africa. Int. J. Remote Sens. 2004, 25, 389–408. [Google Scholar] [CrossRef]
- Gibbes, C.; Keys, E. The Illusion of Equity: An Examination of Community Based Natural Resource Management and Inequality in Africa. Geogr. Compass 2010, 4, 1324–1338. [Google Scholar] [CrossRef]
- Waylen, P.; Southworth, J.; Gibbes, C.; Tsai, H. Time series analysis of land cover change: Developing statistical tools to determine significance of land cover changes in persistence analyses. Remote Sens. 2014, 6, 4473–4497. [Google Scholar] [CrossRef]
- Gibbes, C.; Southworth, J.; Waylen, P.; Child, B. Climate variability as a dominant driver of post-disturbance savanna dynamics. Appl. Geogr. 2014, 53, 389–401. [Google Scholar] [CrossRef]
- Tsai, H.; Southworth, J.; Waylen, P. Spatial persistence and temporal patterns in vegetation cover across Florida, 1982–2006. Phys. Geogr. 2014, 35, 151–180. [Google Scholar] [CrossRef]
- Anyambia, A.; Eastman, J.R. Interannual Variability of NDVI over Africa and its Realtion to El Nino/Southern Oscillation. Int. J. Remote Sens. 1996, 17, 2533–2548. [Google Scholar] [CrossRef]
- Andres, L.; Salas, W.A.; Skole, D. Fourier analysis of multi-temporal AVHRR data applied to a land cover classification. Int. J. Remote Sens. 1994, 15, 1115–1121. [Google Scholar] [CrossRef]
- Crist, E.P.; Cicone, R.C. Application of the Tasseled Cap concept to simulated thematic mapper data. Photogramm. Eng. Remote Sens. 1984, 50, 343–352. [Google Scholar]
- Jakubauskas, M.; Mark, E.; Legates, D.R.; Kastens, J.H. Harmonic analysis of time series AVHRR NDVI data. Photogramm. Eng. Remote Sens. 2001, 67, 461–470. [Google Scholar]
- Carvalho, L.M.T.; Fonseca, L.M.G.; Murtagh, F.; Clevers, J.G.P.W. Digital change detection with the aid of multiresolution wavelet analysis. Int. J. Remote Sens. 2001, 22, 3871–3876. [Google Scholar] [CrossRef]
- Washington-Allen, R.A.; Ramsey, R.D.; West, N.E.; Norton, B.E. Quantification of the Ecological Resilience of Drylands Using Digital Remote Sensing. Ecol. Soc. 2008, 13, 33. [Google Scholar] [CrossRef]
- Lanfredi, M.; Simoniello, T.; Macchiato, M. Temporal persistence in vegetation cover changes observed from satellite: Development of an estimation procedure in the test site of the Mediterranean Italy. Remote Sens. Environ. 2004, 93, 565–576. [Google Scholar] [CrossRef]
- Killick, R.; Eckley, I. changepoint: An R package for changepoint analysis. J. Stat. Softw. 2014, 58, 1–19. [Google Scholar] [CrossRef]
- Rahman, A.F.; Dragoni, D.; Didan, K.; Barreto-Munoz, A.; Hutabarat, J.A. Detecting large scale conversion of mangroves to aquaculture with change point and mixed-pixel analyses of high-fidelity MODIS data. Remote Sens. Environ. 2013, 130, 96–107. [Google Scholar] [CrossRef]
- Militino, A.F.; Ugarte, M.D.; Pérez-Goya, U. Detecting Change-Points in the Time Series of Surfaces Occupied by Pre-defined NDVI Categories in Continental Spain from 1981 to 2015. In The Mathematics of the Uncertain; Studies in Systems, Decision and Control; Springer: Cham, Switzerland, 2018; pp. 295–307. ISBN 978-3-319-73847-5. [Google Scholar]
- Zhu, L.; Southworth, J. Disentangling the Relationships between Net Primary Production and Precipitation in Southern Africa Savannas Using Satellite Observations from 1982 to 2010. Remote Sens. 2013, 5, 3803–3825. [Google Scholar] [CrossRef]
- Bunting, E.; Steele, J.; Keys, E.; Muyengwa, S.; Child, B.; Southworth, J. Local Perception of Risk to Livelihoods in the Semi-Arid Landscape of Southern Africa. Land 2013, 2, 225–251. [Google Scholar] [CrossRef]
- Hirota, M.; Holmgren, M.; Nes, E.H.V.; Scheffer, M. Global Resilience of Tropical Forest and Savanna to Critical Transitions. Science 2011, 334, 232–235. [Google Scholar] [CrossRef] [PubMed]
- Walker, B.H.; Anderies, J.M.; Kinzig, A.P.; Ryan, P. Exploring Resilience in Social-Ecological Systems Through Comparative Studies and Theory Development: Introduction to the Special Issue. Ecol. Soc. 2006, 11. [Google Scholar] [CrossRef]
- Leach, M.; Scoones, I.; Stirling, A. Pathways to Sustainability: An Overview of the STEPS Centre Approach; STEPS Appraock Paper; STEPS Centre: Brighton, UK, 2007. [Google Scholar]
- Misselhorn, A.A. What drives food insecurity in southern Africa? A meta-analysis of household economy studies. Glob. Environ. Chang. 2005, 15, 33–43. [Google Scholar] [CrossRef]
- Sallu, S.M.; Twyman, C.; Stringer, L. Resilient or Vulnerable Livelihoods? Assessing Livelihood Dynamics and Trajectories in Rural Botswana. Ecol. Soc. 2010, 15, 3. [Google Scholar] [CrossRef]
- Twyman, C. Natural resource use and livelihoods in Botswana’s Wildlife Management Areas. Appl. Geogr. 2001, 21, 45–68. [Google Scholar] [CrossRef]
- Higgins, S.I.; Scheiter, S. Atmospheric CO2 forces abrupt vegetation shifts locally, but not globally. Nature 2012, 488, 209–212. [Google Scholar] [CrossRef] [PubMed]








| MAM | JJA | SON | DJF | |||||
|---|---|---|---|---|---|---|---|---|
| % Statistically Significant Positive | % Statistically Significant Negative | % Statistically Significant Positive | % Statistically Significant Negative | % Statistically Significant Positive | % Statistically Significant Negative | % Statistically Significant Positive | % Statistically Significant Negative | |
| Total | 19.5 | 7.5 | 2.7 | 25.2 | 2.5 | 46.8 | 16.5 | 12.2 |
| Kwando | 28.2 | 3.6 | 0.4 | 30.4 | 1.1 | 67.6 | 18.2 | 6.8 |
| Okavango | 15.0 | 11.1 | 1.9 | 36.1 | 1.6 | 47.5 | 9.2 | 12 |
| Zambezi | 18.4 | 7.1 | 4.2 | 17.0 | 3.7 | 37.9 | 20.1 | 14.5 |
| Basin | Season | Slope |
|---|---|---|
| Kwando | SON | 1.34 |
| DJF | 1.87 | |
| MAM | 1.85 | |
| JJA | 1.44 | |
| Zambezi | SON | 1.64 |
| DJF | 2.06 | |
| MAM | 2.14 | |
| JJA | 1.68 | |
| Okavango | SON | 1.45 |
| DJF | 1.90 | |
| MAM | 1.88 | |
| JJA | 1.50 |
© 2018 by the authors. Licensee MDPI, Basel, Switzerland. This article is an open access article distributed under the terms and conditions of the Creative Commons Attribution (CC BY) license (http://creativecommons.org/licenses/by/4.0/).
Share and Cite
Bunting, E.L.; Southworth, J.; Herrero, H.; Ryan, S.J.; Waylen, P. Understanding Long-Term Savanna Vegetation Persistence across Three Drainage Basins in Southern Africa. Remote Sens. 2018, 10, 1013. https://doi.org/10.3390/rs10071013
Bunting EL, Southworth J, Herrero H, Ryan SJ, Waylen P. Understanding Long-Term Savanna Vegetation Persistence across Three Drainage Basins in Southern Africa. Remote Sensing. 2018; 10(7):1013. https://doi.org/10.3390/rs10071013
Chicago/Turabian StyleBunting, Erin L., Jane Southworth, Hannah Herrero, Sadie J. Ryan, and Peter Waylen. 2018. "Understanding Long-Term Savanna Vegetation Persistence across Three Drainage Basins in Southern Africa" Remote Sensing 10, no. 7: 1013. https://doi.org/10.3390/rs10071013
APA StyleBunting, E. L., Southworth, J., Herrero, H., Ryan, S. J., & Waylen, P. (2018). Understanding Long-Term Savanna Vegetation Persistence across Three Drainage Basins in Southern Africa. Remote Sensing, 10(7), 1013. https://doi.org/10.3390/rs10071013

