Inversion of Ground Penetrating Radar Data Based on Neural Networks
Abstract
1. Introduction
2. Materials and Methods
2.1. Common-Depth Measurement Model
2.2. Adaptive Linear Element
2.3. Construction of the Neural Network
2.4. Network Configuration
3. Results
3.1. Singular Scatter Scenario
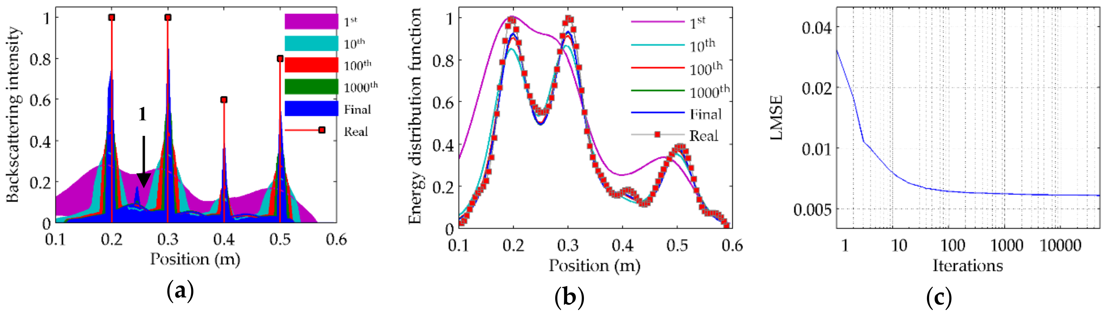
3.2. Multi Scatters
4. Discussion
4.1. Simulation Error
4.2. Advantages and Disadvantages of Vertical Information Loss
- The time-space coupling is eliminated.
- Data processing is independent of the medium properties.
- The model can be fitted by the neural network.
4.3. Inverting the Depth
4.4. The Location Precision
4.5. Influence of Medium Heterogeneity
5. Conclusions
Author Contributions
Funding
Conflicts of Interest
References
- Dérobert, X.; Pajewski, L. TU1208 Open Database of Radargrams: The Dataset of the IFSTTAR Geophysical Test Site. Remote Sens. 2018, 10, 530. [Google Scholar] [CrossRef]
- Dérobert, X.; Iaquinta, J.; Klysz, G.; Balayssac, J. Use of capacitive and GPR techniques for the non-destructive evaluation of cover concrete. NDT&E Int. 2008, 41, 44–52. [Google Scholar]
- Kaur, P.; Dana, K.J.; Romero, F.A.; Gucunski, N. Automated GPR Rebar Analysis for Robotic Bridge Deck Evaluation. IEEE Trans. Cybern. 2016, 46, 2265–2276. [Google Scholar] [CrossRef] [PubMed]
- Evans, R.D.; Frost, M.W.; Stonecliffe-Jones, M.; Dixon, N. Ground-penetrating radar investigations for urban roads. Proc. Inst. Civ. Eng. 2006, 159, 105–111. [Google Scholar] [CrossRef][Green Version]
- Gamba, P.; Lossani, S. Neural detection of pipe signatures in ground penetrating radar images. IEEE Trans. Geosci. Remote Sens. 2000, 38, 790–797. [Google Scholar] [CrossRef]
- Shaw, M.R.; Millard, S.G.; Molyneaux, T.C.K.; Taylor, M.J.; Bungey, J.H. Location of steel reinforcement in concrete using ground penetrating radar and neural networks. NDT&E Int. 2005, 38, 203–212. [Google Scholar]
- Caorsi, S.; Cevini, G. An electromagnetic approach based on neural networks for the GPR investigation of buried cylinders. IEEE Trans. Geosci. Remote Sens. 2005, 2, 3–7. [Google Scholar] [CrossRef]
- Travassos, X.L.; Vieira, D.A.G.; Ida, N.; Vollaire, C.; Nicolas, A. Characterization of Inclusions in a Nonhomogeneous GPR Problem by Artificial Neural Networks. IEEE Trans. Magn. 2008, 44, 1630–1633. [Google Scholar] [CrossRef]
- Sbartaï, Z.M.; Laurens, S.; Viriyametanont, K.; Balayssac, J.P.; Arliguie, G. Non-destructive evaluation of concrete physical condition using radar and artificial neural networks. Constr. Build. Mater. 2009, 23, 837–845. [Google Scholar] [CrossRef]
- Núñez-Nieto, X.; Solla, M.; Gómez-Pérez, P.; Lorenzo, H. GPR Signal Characterization for Automated Landmine and UXO Detection Based on Machine Learning Techniques. Remote Sens. 2014, 6, 9729–9748. [Google Scholar] [CrossRef]
- Lameri, S.; Lombardi, F.; Bestagini, P.; Lualdi, M.; Tubaro, S. Landmine detection from GPR data using convolutional neural networks. In Proceedings of the 25th European Signal Processing Conference (EUSIPCO), Kos, Greece, 28 August 2017–2 September 2017; pp. 508–512. [Google Scholar]
- Frieß, T.; Harrison, R.F. A kernel-based Adaline for function approximation. Intell. Data Anal. 1999, 3, 307–313. [Google Scholar] [CrossRef]
- Li, M.; Huang, C.; Su, Y. A Method of Removing Interference Fringes on Spherical Subsurface Imaging with Continuous Wave Penetrating Radar. In Proceedings of the 2016 16th International Conference on Ground Penetrating Radar (GPR), Hong Kong, China, 13–16 June 2016; pp. 1–4. [Google Scholar]
- Huang, C.; Liu, T.; Lu, M.; Su, Y. Holographic Subsurface Imaging for Medical Detection. In Proceedings of the 2016 16th International Conference on Ground Penetrating Radar (GPR), Brussels, Belgium, 30 June–4 July 2014. [Google Scholar]
- Song, X.; Su, Y.; Zhu, Y.; Huang, C.; Lu, M. Improving Holographic Radar Imaging Resolution via Deconvolution. In Proceedings of the 2016 16th International Conference on Ground Penetrating Radar (GPR), Brussels, Belgium, 30 June–4 July 2014; pp. 633–636. [Google Scholar]
- Zhu, S.; Huang, C.; Su, Y.; Sato, M. 3D Ground Penetrating Radar to Detect Tree Roots and Estimate Root Biomass in the Field. Remote Sens. 2014, 6, 5754–5773. [Google Scholar] [CrossRef]
- Widrow, B.; Lehr, M.A. 30 years of adaptive neural networks: Perceptron, Madaline, and backpropagation. Proc. IEEE 1990, 78, 1415–1442. [Google Scholar] [CrossRef]
- Rojas, R. Neural Networks—A Systematic Introduction; Springer-Verlag New York, Inc.: New York, NY, USA, 1996. [Google Scholar]
- Chauvin, Y. A Back-Propagation Algorithm with Optimal Use of Hidden Units; Morgan Kaufmann Publishers Inc.: San Mateo, CA, USA, 1989; pp. 519–526. [Google Scholar]
- Sarkar, D. Methods to Speed Up Error Back-Propagation Learning Algorithm; ACM: New York, NY, USA, 1995; pp. 519–544. [Google Scholar]
- Langman, A. The Design of Hardware and Signal Processing for a Stepped Frequency Continuous Wave Ground Penetrating Radar. Ph. D. Thesis, University of Cape Town, Cape Town, South Africa, 2002. [Google Scholar]
- Jol, H.M. Ground Penetrating Radar Theory and Applications; Elsevier Science: New York, NY, USA, 2009; pp. 595–604. [Google Scholar]
- Su, Y.; Huang, C.; Lei, W. Ground Penetrating Radar—Theory and Applications; Science Press: Beijing, China, 2006. [Google Scholar]
- Wu, J.; Lin, Z.; Hsu, P. Function approximation using generalized adalines. IEEE Trans. Neural Netw. 2006, 17, 541–558. [Google Scholar] [PubMed]
- Busch, S.; van der Kruk, J.; Vereecken, H. Improved Characterization of Fine-Texture Soils Using on-Ground GPR Full-Waveform Inversion. IEEE Trans. Geosci. Remote Sens. 2014, 52, 3947–3958. [Google Scholar] [CrossRef]
- Cumming, I.G.; Wong, F.H. Digital Processing of Synthetic Aperture Radar Data: Algorithms and Implementation; Artech House Print on Demand: Norwood, MA, USA, 2005; pp. 168–175. [Google Scholar]
- Warren, C.; Giannopoulos, A.; Giannakis, I. gprMax: Open source software to simulate electromagnetic wave propagation for Ground Penetrating Radar. Comput. Phys. Commun. 2016, 209, 163–170. [Google Scholar] [CrossRef]
No. | Target Location | Preset Backscattering Intensity | Inverted Backscattering Intensity |
---|---|---|---|
1 | 0.2 m | 1.00 | 0.747 |
2 | 0.3 m | 1.00 | 0.847 |
3 | 0.4 m | 0.60 | 0.386 |
4 | 0.5 m | 0.80 | 0.469 |
© 2018 by the authors. Licensee MDPI, Basel, Switzerland. This article is an open access article distributed under the terms and conditions of the Creative Commons Attribution (CC BY) license (http://creativecommons.org/licenses/by/4.0/).
Share and Cite
Liu, T.; Su, Y.; Huang, C. Inversion of Ground Penetrating Radar Data Based on Neural Networks. Remote Sens. 2018, 10, 730. https://doi.org/10.3390/rs10050730
Liu T, Su Y, Huang C. Inversion of Ground Penetrating Radar Data Based on Neural Networks. Remote Sensing. 2018; 10(5):730. https://doi.org/10.3390/rs10050730
Chicago/Turabian StyleLiu, Tao, Yi Su, and Chunlin Huang. 2018. "Inversion of Ground Penetrating Radar Data Based on Neural Networks" Remote Sensing 10, no. 5: 730. https://doi.org/10.3390/rs10050730
APA StyleLiu, T., Su, Y., & Huang, C. (2018). Inversion of Ground Penetrating Radar Data Based on Neural Networks. Remote Sensing, 10(5), 730. https://doi.org/10.3390/rs10050730