Drift Correction of Lightweight Microbolometer Thermal Sensors On-Board Unmanned Aerial Vehicles
Abstract
1. Introduction
2. Materials and Methods
2.1. UAV Campaigns
2.2. Thermal Image Processing
2.3. Validation
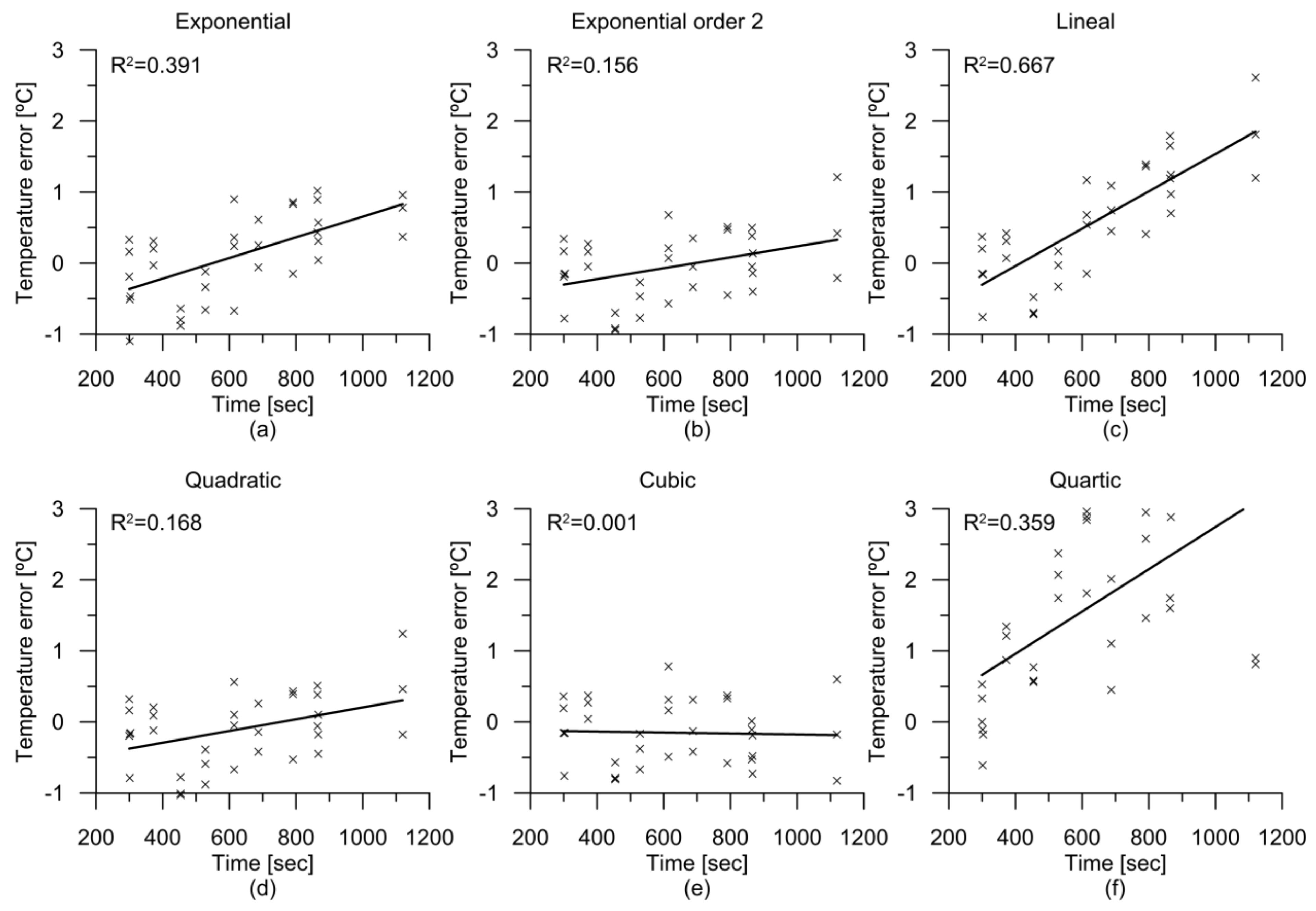
3. Results
Validation
4. Conclusions
Acknowledgments
Author Contributions
Conflicts of Interest
References
- Alexandratos, N.; Bruinsma, J. World Agriculture Towards 2030/2050: The 2012 Revision; Agriculture Development Economics Division Food and Agriculture Organization of the United Nations (FAO): Rome, Italy, 2012; Available online: http://www.fao.org/docrep/016/ap106e/ap106e.pdf (accessed on 16 April 2018).
- McCalla, A.F. Challenges to world agriculture in the 21st century. UPDATE Agric. Resour. Econ. 2001, 4. Available online: https://giannini.ucop.edu/publications/are-update/issues/2001/4/3/challenges-to-world-agric/ (accessed on 16 April 2018).
- Stafford, J.V. Implementing precision agriculture in the 21st century. J. Agric. Eng. Res. 2000, 76, 267–275. [Google Scholar] [CrossRef]
- Miao, Y.; Mulla, D.J.; Randall, G.W.; Vetsch, J.A.; Vintila, R. Combining chlorophyll meter readings and high spatial resolution remote sensing images for in-season site-specific nitrogen management of corn. Precis. Agric. 2009, 10, 45–62. [Google Scholar] [CrossRef]
- Mulla, D.J. Twenty five years of remote sensing in precision agriculture: Key advances and remaining knowledge gaps. Biosyst. Eng. 2013, 114, 358–371. [Google Scholar] [CrossRef]
- Goetz, A.F.H. Three decades of hyperspectral remote sensing of the earth: A personal view. Remote Sens. Environ. 2009, 113, S5–S16. [Google Scholar] [CrossRef]
- Anderson, K.; Gaston, K.J. Lightweight unmanned aerial vehicles will revolutionize spatial ecology. Front. Ecol. Environ. 2013, 11, 138–146. [Google Scholar] [CrossRef]
- Berni, J.A.J.; Zarco-Tejada, P.J.; Sepulcre-Cantó, G.; Fereres, E.; Villalobos, F. Mapping canopy conductance and cwsi in olive orchards using high resolution thermal remote sensing imagery. Remote Sens. Environ. 2009, 113, 2380–2388. [Google Scholar] [CrossRef]
- Colomina, I.; Molina, P. Unmanned aerial systems for photogrammetry and remote sensing: A review. ISPRS J. Photogramm. Remote Sens. 2014, 92, 79–97. [Google Scholar] [CrossRef]
- McBratney, A.; Whelan, B.; Ancev, T.; Bouma, J. Future directions of precision agriculture. Precis. Agric. 2005, 6, 7–23. [Google Scholar] [CrossRef]
- Lin, Y.; Hyyppa, J.; Jaakkola, A. Mini-uav-borne lidar for fine-scale mapping. IEEE Geosci. Remote Sens. Lett. 2011, 8, 426–430. [Google Scholar] [CrossRef]
- Wallace, L.; Lucieer, A.; Watson, C.; Turner, D. Development of a uav-lidar system with application to forest inventory. Remote Sens. 2012, 4, 1519–1543. [Google Scholar] [CrossRef]
- Torres-Sánchez, J.; Peña, J.M.; de Castro, A.I.; López-Granados, F. Multi-temporal mapping of the vegetation fraction in early-season wheat fields using images from uav. Comput. Electron. Agric. 2014, 103, 104–113. [Google Scholar] [CrossRef]
- López-Granados, F.; Torres-Sánchez, J.; Serrano-Pérez, A.; de Castro, A.I.; Mesas-Carrascosa, F.-J.; Peña, J.-M. Early season weed mapping in sunflower using uav technology: Variability of herbicide treatment maps against weed thresholds. Precis. Agric. 2016, 17, 183–199. [Google Scholar] [CrossRef]
- Mesas-Carrascosa, F.-J.; Torres-Sánchez, J.; Clavero-Rumbao, I.; García-Ferrer, A.; Peña, J.-M.; Borra-Serrano, I.; López-Granados, F. Assessing optimal flight parameters for generating accurate multispectral orthomosaicks by uav to support site-specific crop management. Remote Sens. 2015, 7, 12793–12814. [Google Scholar] [CrossRef]
- Candiago, S.; Remondino, F.; De Giglio, M.; Dubbini, M.; Gattelli, M. Evaluating multispectral images and vegetation indices for precision farming applications from uav images. Remote Sens. 2015, 7, 4026–4047. [Google Scholar] [CrossRef]
- Zarco-Tejada, P.J.; Guillén-Climent, M.L.; Hernández-Clemente, R.; Catalina, A.; González, M.R.; Martín, P. Estimating leaf carotenoid content in vineyards using high resolution hyperspectral imagery acquired from an unmanned aerial vehicle (uav). Agric. Forest Meteorol. 2013, 171–172, 281–294. [Google Scholar] [CrossRef]
- Hruska, R.; Mitchell, J.; Anderson, M.; Glenn, N.F. Radiometric and geometric analysis of hyperspectral imagery acquired from an unmanned aerial vehicle. Remote Sens. 2012, 4, 2736–2752. [Google Scholar] [CrossRef]
- Baluja, J.; Diago, M.P.; Balda, P.; Zorer, R.; Meggio, F.; Morales, F.; Tardaguila, J. Assessment of vineyard water status variability by thermal and multispectral imagery using an unmanned aerial vehicle (uav). Irrig. Sci. 2012, 30, 511–522. [Google Scholar] [CrossRef]
- Gonzalez-Dugo, V.; Zarco-Tejada, P.; Nicolás, E.; Nortes, P.A.; Alarcón, J.J.; Intrigliolo, D.S.; Fereres, E. Using high resolution uav thermal imagery to assess the variability in the water status of five fruit tree species within a commercial orchard. Precis. Agric. 2013, 14, 660–678. [Google Scholar] [CrossRef]
- Fereres, E.; Soriano, M.A. Deficit irrigation for reducing agricultural water use. J. Exp. Bot. 2007, 58, 147–159. [Google Scholar] [CrossRef] [PubMed]
- Calderón, R.; Navas-Cortés, J.A.; Lucena, C.; Zarco-Tejada, P.J. High-resolution airborne hyperspectral and thermal imagery for early detection of verticillium wilt of olive using fluorescence, temperature and narrow-band spectral indices. Remote Sens. Environ. 2013, 139, 231–245. [Google Scholar] [CrossRef]
- Zarco-Tejada, P.J.; González-Dugo, V.; Berni, J.A.J. Fluorescence, temperature and narrow-band indices acquired from a uav platform for water stress detection using a micro-hyperspectral imager and a thermal camera. Remote Sens. Environ. 2012, 117, 322–337. [Google Scholar] [CrossRef]
- Gonzalez-Dugo, V.; Hernandez, P.; Solis, I.; Zarco-Tejada, P.J. Using high-resolution hyperspectral and thermal airborne imagery to assess physiological condition in the context of wheat phenotyping. Remote Sens. 2015, 7, 13586–13605. [Google Scholar] [CrossRef]
- Chapman, S.C.; Merz, T.; Chan, A.; Jackway, P.; Hrabar, S.; Dreccer, M.F.; Holland, E.; Zheng, B.; Ling, T.J.; Jimenez-Berni, J. Pheno-copter: A low-altitude, autonomous remote-sensing robotic helicopter for high-throughput field-based phenotyping. Agronomy 2014, 4, 279–301. [Google Scholar] [CrossRef]
- Gallo, M.A.; Willits, D.S.; Lubke, R.A.; Thiede, E.C. Low-cost uncooled ir sensor for battlefield surveillance. Proceed. SPIE 1993, 2020, 351–362. [Google Scholar]
- Krupiński, M.; Bareła, J.; Firmanty, K.; Kastek, M. Test stand for non-uniformity correction of microbolometer focal plane arrays used in thermal cameras. Proc. SPIE Int. Soc. Opt. Eng. 2013, 8896. [Google Scholar] [CrossRef]
- Huawei, W.; Caiwen, M.; Jianzhong, C.; Haifeng, Z. An adaptive two-point non-uniformity correction algorithm based on shutter and its implementation. In Proceedings of the 2013 Fifth International Conference on Measuring Technology and Mechatronics Automation, Hong Kong, China, 16–17 January 2013; pp. 174–177. [Google Scholar]
- Olbrycht, R.; Więcek, B. New approach to thermal drift correction in microbolometer thermal cameras. Quant. InfraRed Thermogr. J. 2015, 12, 184–195. [Google Scholar] [CrossRef]
- Mudau, A.E.; Willers, C.J.; Griffith, D.; Roux, F.P.J.L. Non-uniformity correction and bad pixel replacement on lwir and mwir images. In Proceedings of the 2011 Saudi International Electronics, Communications and Photonics Conference (SIECPC), Riyadh, Saudi Arabia, 24–26 April 2011; pp. 1–5. [Google Scholar]
- King, S.R.; Rekow, M.N.; Carlson, P.S.; Heinke, T.; Warnke, S.H.; Brest, B. Shutterless Infrared Imager Algorithm with Drift Correction. Google Patents US8067735B2, 29 November 2011. [Google Scholar]
- Tempelhahn, A.; Budzier, H.; Krause, V.; Gerlach, G. Shutter-less calibration of uncooled infrared cameras. J. Sens. Sensor Syst. 2016, 5. [Google Scholar] [CrossRef]
- Mizrahi, U.; Fraenkel, A.; Kopolovich, Z.; Adin, A.; Bikov, L. Method and System for Measuring and Compensating for the Case Temperature Variations in a Bolometer Based System. US Patent No. US 7807968 B2, 5 October 2010. [Google Scholar]
- Harris, J.G.; Yu-Ming, C. Nonuniformity correction of infrared image sequences using the constant-statistics constraint. IEEE Trans. Image Process. 1999, 8, 1148–1151. [Google Scholar] [CrossRef] [PubMed]
- Zuo, C.; Chen, Q.; Gu, G.; Sui, X.; Ren, J. Improved interframe registration based nonuniformity correction for focal plane arrays. Infrared Phys. Technol. 2012, 55, 263–269. [Google Scholar] [CrossRef]
- Berni, J.A.J.; Zarco-Tejada, P.J.; Suarez, L.; Fereres, E. Thermal and narrowband multispectral remote sensing for vegetation monitoring from an unmanned aerial vehicle. IEEE Trans. Geosci. Remote Sens. 2009, 47, 722–738. [Google Scholar] [CrossRef]
- Zalameda, J.N.; Winfree, W.P. Investigation of uncooled microbolometer focal plane array infrared camera for quantitative thermography. J. Nondestruct. Eval. 2005, 24, 1–9. [Google Scholar] [CrossRef]
- Gómez-Candón, D.; Virlet, N.; Labbé, S.; Jolivot, A.; Regnard, J.-L. Field phenotyping of water stress at tree scale by uav-sensed imagery: New insights for thermal acquisition and calibration. Precis. Agric. 2016, 17, 786–800. [Google Scholar] [CrossRef]
- Jensen, A.M.; McKee, M.; Chen, Y. Procedures for processing thermal images using low-cost microbolometer cameras for small unmanned aerial systems. In Proceedings of the 2014 IEEE Geoscience and Remote Sensing Symposium, Quebec City, QC, Canada, 13–18 July 2014; pp. 2629–2632. [Google Scholar]
- Lowe, D.G. Distinctive image features from scale-invariant keypoints. Int. J. Comput. Vis. 2004, 60, 91–110. [Google Scholar] [CrossRef]
- Zarco-Tejada, P.J.; Berni, J.A.J.; Suárez, L.; Sepulcre-Cantó, G.; Morales, F.; Miller, J.R. Imaging chlorophyll fluorescence with an airborne narrow-band multispectral camera for vegetation stress detection. Remote Sens. Environ. 2009, 113, 1262–1275. [Google Scholar] [CrossRef]
- Torres-Rua, A. Vicarious calibration of suas microbolometer temperature imagery for estimation of radiometric land surface temperature. Sensors 2017, 17, 1499. [Google Scholar] [CrossRef] [PubMed]
- Honkavaara, E.; Saari, H.; Kaivosoja, J.; Pölönen, I.; Hakala, T.; Litkey, P.; Mäkynen, J.; Pesonen, L. Processing and assessment of spectrometric, stereoscopic imagery collected using a lightweight uav spectral camera for precision agriculture. Remote Sens. 2013, 5, 5006–5039. [Google Scholar] [CrossRef]
- Bellvert, J.; Zarco-Tejada, P.J.; Girona, J.; Fereres, E. Mapping crop water stress index in a ‘pinot-noir’ vineyard: Comparing ground measurements with thermal remote sensing imagery from an unmanned aerial vehicle. Precis. Agric. 2014, 15, 361–376. [Google Scholar] [CrossRef]
- Akaike, H. A new look at the statistical model identification. IEEE Trans. Autom. Control 1974, 19, 716–723. [Google Scholar] [CrossRef]








| UAV Flight (Local Time) | ||||
|---|---|---|---|---|
| 8:30 | 12:30 | 16:00 | 18:30 | |
| Air temperature (°C) | 21 | 30 | 36 | 37 |
| Relative humidity (%) | 48 | 26 | 18 | 17 |
| Mean wind speed (m/s) | 2 | 3 | 6 | 6 |
| Atmospheric pressure (hPa) | 1022.6 | 1021.2 | 1018.4 | 1017.4 |
| DCM Type | Time of Flight | Equation | |
|---|---|---|---|
| Exponential order 1 | 8:30 | 0.375 * | |
| 12:00 | 0.190 n.s. | ||
| 16:00 | 0.733 ** | ||
| 18:30 | 0.688 ** | ||
| Exponential order 2 | 8:30 | 0.382 * | |
| 12:00 | 0.398 * | ||
| 16:00 | 0.688 ** | ||
| 18:30 | 0.675 ** | ||
| Lineal | 8:30 | 0.370 * | |
| 12:00 | 0.210 n.s. | ||
| 16:00 | 0.688 ** | ||
| 18:30 | 0.673 ** | ||
| Quadratic | 8:30 | 0.379 * | |
| 12:00 | 0.286 n.s. | ||
| 16:00 | 0.755 ** | ||
| 18:30 | 0.676 ** | ||
| Bicubic | 8:30 | 0.380 * | |
| 12:00 | 0.482 * | ||
| 16:00 | 0.836 ** | ||
| 18:30 | 0.694 ** | ||
| Quartic | 8:30 | 0.381 * | |
| 12:00 | 0.474 * | ||
| 16:00 | 0.799 ** | ||
| 18:30 | 0.688 ** |
| Time of Flight | Exponential | Exponential Order 2 | Lineal | Quadratic | Cubic | Quartic | No DCM | |
|---|---|---|---|---|---|---|---|---|
| 8:30 a.m. | Range | 35.33 | 35.66 | 35.66 | 35.68 | 34.64 | 34.33 | 43.16 |
| Mean | 20.92 | 20.96 | 20.88 | 20.95 | 20.96 | 21.10 | 28.35 | |
| SD | 3.29 | 3.28 | 3.30 | 3.29 | 3.28 | 3.26 | 7.14 | |
| SBC | 0.38 | 0.38 | 0.38 | 0.38 | 0.38 | 0.38 | 0.47 | |
| 12:30 p.m. | Range | 50.08 | 50.03 | 50.15 | 50.31 | 49.80 | 50.72 | 62.38 |
| Mean | 40.74 | 40.50 | 40.53 | 40.48 | 40.61 | 40.98 | 47.68 | |
| SD | 8.87 | 8.89 | 8.92 | 8.91 | 8.87 | 8.80 | 10.43 | |
| SBC | 0.66 | 0.66 | 0.66 | 0.66 | 0.66 | 0.67 | 0.45 | |
| 16:00 p.m. | Range | 50.89 | 49.82 | 50.52 | 50.08 | 50.18 | 48.71 | 74.52 |
| Mean | 49.19 | 49.20 | 48.66 | 49.22 | 49.37 | 47.84 | 58.66 | |
| SD | 9.41 | 9.24 | 9.35 | 9.25 | 9.19 | 9.73 | 13.06 | |
| SBC | 0.68 | 0.68 | 0.68 | 0.68 | 0.68 | 0.65 | 0.48 | |
| 18:30 p.m. | Range | 43.78 | 39.65 | 42.83 | 41.17 | 42.46 | 43.74 | 49.57 |
| Mean | 39.57 | 39.47 | 39.37 | 39.46 | 39.55 | 38.61 | 46.69 | |
| SD | 5.24 | 5.26 | 5.28 | 5.24 | 5.23 | 5.55 | 8.32 | |
| SBC | 0.67 | 0.67 | 0.66 | 0.67 | 0.67 | 0.66 | 0.48 |
| Exponential | Exponential 2 | Lineal | Quadratic | Cubic | Quartic | No DCM | ||
|---|---|---|---|---|---|---|---|---|
| 8:30 | Mean | 1.013 | 0.898 | 0.913 | 0.901 | 0.888 | 0.895 | −2.929 |
| SD | 0.818 | 0.804 | 0.815 | 0.800 | 0.803 | 0.758 | 2.792 | |
| AIC | 3.777 | 0.832 | 3.593 | 2.574 | 0.779 | 18.472 | -- | |
| r2 | 0.027 | 0.004 | 0.001 | 0.005 | 0.049 | 0.645 ** | 0.918 ** | |
| 12:30 | Mean | 0.288 | 0.291 | 0.225 | 0.222 | 0.105 | 0.212 | −3.555 |
| SD | 0.590 | 0.560 | 0.556 | 0.569 | 0.459 | 0.584 | 3.012 | |
| AIC | 39.833 | 27.437 | 36.364 | 31.673 | 26.671 | 56.955 | -- | |
| r2 | 0.007 | 0.025 | 0.052 | 0.08 | 0.006 | 0.322 ** | 0.959 ** | |
| 16:30 | Mean | 0.112 | -0.152 | 0.518 | -0.123 | -0.065 | 1.573 | −12.158 |
| SD | 0.588 | 0.493 | 0.795 | 0.508 | 0.450 | 1.224 | 7.363 | |
| AIC | 18.219 | 7.452 | 11.329 | 7.765 | 2.314 | 31.893 | -- | |
| r2 | 0.391 ** | 0.156 * | 0.667 ** | 0.168 * | 0.001 | 0.359 ** | 0.915 ** | |
| 18:30 | Mean | 0.379 | 0.409 | 0.524 | 0.404 | 0.265 | 1.557 | −9.544 |
| SD | 0.648 | 0.622 | 0.627 | 0.626 | 0.585 | 0.857 | 5.433 | |
| AIC | 12.992 | 6.888 | 13.871 | 9.006 | 2.568 | 29.432 | -- | |
| r2 | 0.001 | 0.009 | 0.032 | 0.005 | 0.022 | 0.568 ** | 0.880 ** |
© 2018 by the authors. Licensee MDPI, Basel, Switzerland. This article is an open access article distributed under the terms and conditions of the Creative Commons Attribution (CC BY) license (http://creativecommons.org/licenses/by/4.0/).
Share and Cite
Mesas-Carrascosa, F.-J.; Pérez-Porras, F.; Meroño de Larriva, J.E.; Mena Frau, C.; Agüera-Vega, F.; Carvajal-Ramírez, F.; Martínez-Carricondo, P.; García-Ferrer, A. Drift Correction of Lightweight Microbolometer Thermal Sensors On-Board Unmanned Aerial Vehicles. Remote Sens. 2018, 10, 615. https://doi.org/10.3390/rs10040615
Mesas-Carrascosa F-J, Pérez-Porras F, Meroño de Larriva JE, Mena Frau C, Agüera-Vega F, Carvajal-Ramírez F, Martínez-Carricondo P, García-Ferrer A. Drift Correction of Lightweight Microbolometer Thermal Sensors On-Board Unmanned Aerial Vehicles. Remote Sensing. 2018; 10(4):615. https://doi.org/10.3390/rs10040615
Chicago/Turabian StyleMesas-Carrascosa, Francisco-Javier, Fernando Pérez-Porras, Jose Emilio Meroño de Larriva, Carlos Mena Frau, Francisco Agüera-Vega, Fernando Carvajal-Ramírez, Patricio Martínez-Carricondo, and Alfonso García-Ferrer. 2018. "Drift Correction of Lightweight Microbolometer Thermal Sensors On-Board Unmanned Aerial Vehicles" Remote Sensing 10, no. 4: 615. https://doi.org/10.3390/rs10040615
APA StyleMesas-Carrascosa, F.-J., Pérez-Porras, F., Meroño de Larriva, J. E., Mena Frau, C., Agüera-Vega, F., Carvajal-Ramírez, F., Martínez-Carricondo, P., & García-Ferrer, A. (2018). Drift Correction of Lightweight Microbolometer Thermal Sensors On-Board Unmanned Aerial Vehicles. Remote Sensing, 10(4), 615. https://doi.org/10.3390/rs10040615

