Assessment of the High Resolution SAR Mode of the RADARSAT Constellation Mission for First Year Ice and Multiyear Ice Characterization
Abstract
1. Introduction
2. Case Study and Environmental Conditions
3. Methodology
4. Experimental Results
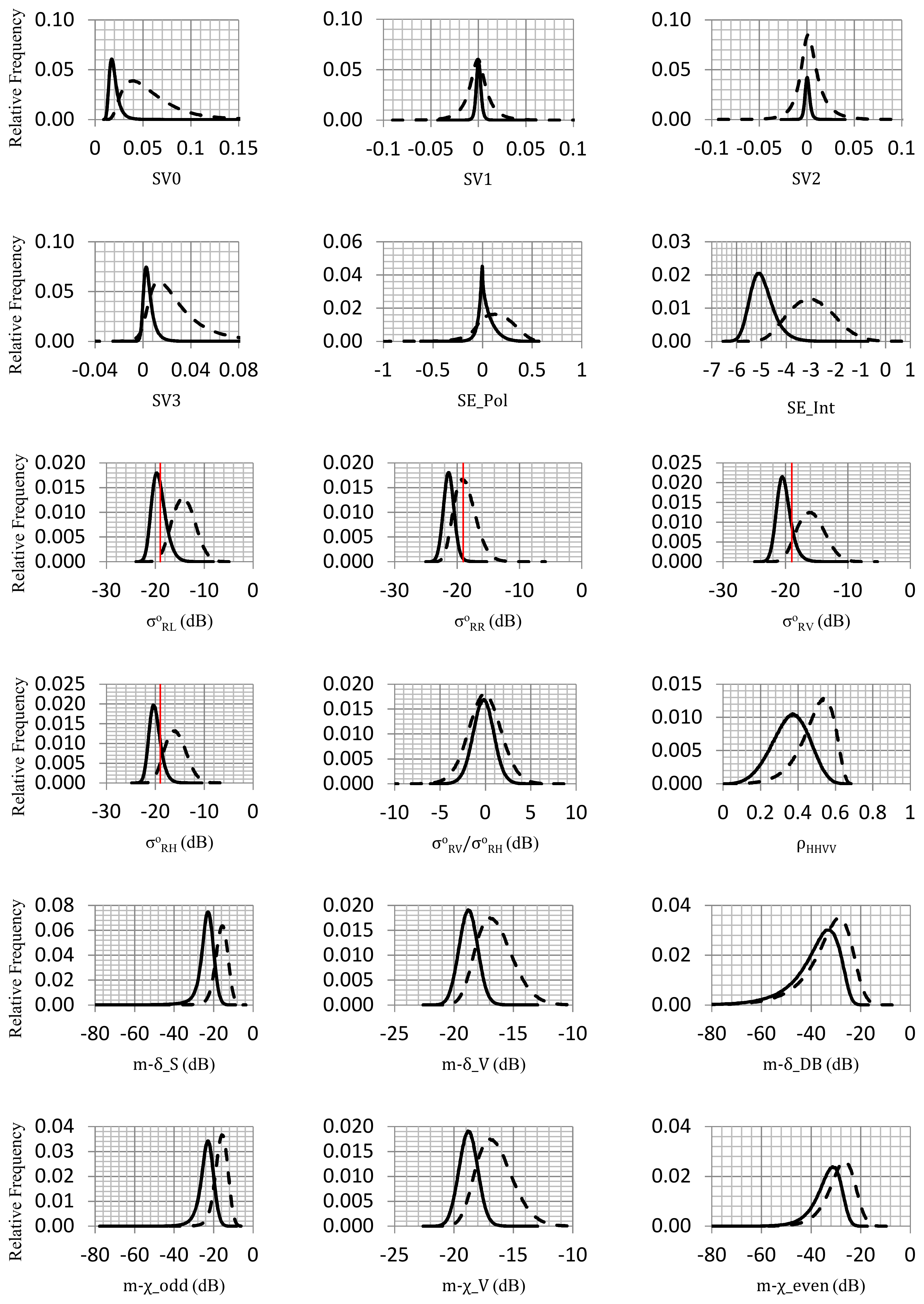
4.1. Histogram Analysis
4.2. Separability Interpretation
4.3. Correlation Estimation
4.4. Image Classification
5. Conclusions
Acknowledgments
Author Contributions
Conflicts of Interest
References
- Singhroy, V.; Charbonneau, F. RADARSAT: Science and applications. Phys. Can. 2014, 70, 212–217. [Google Scholar]
- Séguin, G.; Ahmed, S. RADARSAT constellation, project objectives and status. In Proceedings of the IEEE International Geoscience and Remote Sensing Symposium, Cape Town, South Africa, 12–17 July 2009; pp. II-894–II-897. [Google Scholar]
- De Lisle, D.; Iris, S. RADARSAT constellation mission status update. In Proceedings of the 11th European Conference on Synthetic Aperture Radar, Hamburg, Germany, 6–9 June 2016; pp. 1–3. [Google Scholar]
- Dabboor, M.; Geldsetzer, T. Towards sea ice classification using simulated RADARSAT constellation mission compact polarimetric SAR imagery. Remote Sens. Environ. 2014, 140, 189–195. [Google Scholar] [CrossRef]
- Geldsetzer, T.; Arkett, M.; Zagon, T.; Charbonneau, F.; Yackel, J.; Scharien, R. All-season compact-polarimetry C-band SAR observations of sea ice. Can. J. Remote Sens. 2015, 41, 485–504. [Google Scholar] [CrossRef]
- Shokr, M.; Sinha, N.K. Sea Ice: Physics and Remote Sensing; John Wiley & Sons: Hoboken, NJ, USA, 2015. [Google Scholar]
- Casey, J.A.; Howell, S.E.; Tivy, A.; Haas, C. Separability of sea ice types from wide swath C- and L-band synthetic aperture radar imagery acquired during the melt season. Remote Sens. Environ. 2016, 174, 314–328. [Google Scholar] [CrossRef]
- Leigh, S.; Wang, Z.; Clausi, D.A. Automated ice–water classification using dual polarization SAR satellite imagery. IEEE Trans. Geosci. Remote Sens. 2014, 52, 5529–5539. [Google Scholar] [CrossRef]
- Zakhvatkina, N.; Korosov, A.; Muckenhuber, S.; Sandven, S.; Babiker, M. Operational algorithm for ice–water classification on dual-polarized RADARSAT-2 images. Cryosphere 2017, 11, 33–46. [Google Scholar] [CrossRef]
- Liu, H.; Guo, H.; Zhang, L. SVM-based sea ice classification using textural features and concentration from RADARSAT-2 dual-pol ScanSAR data. IEEE J. Sel. Top. Appl. Earth Obs. Remote Sens. 2015, 8, 1601–1613. [Google Scholar] [CrossRef]
- Wang, L.; Scott, K.A.; Clausi, D.A. Sea ice concentration estimation during freeze-up from SAR imagery using a convolutional neural network. Remote Sens. 2017, 9, 408. [Google Scholar] [CrossRef]
- Wang, L.; Scott, K.A.; Xu, L.; Clausi, D.A. Sea ice concentration estimation during melt from dual-pol SAR scenes using deep convolutional neural networks: A case study. IEEE Trans. Geosci. Remote Sens. 2016, 54, 4524–4533. [Google Scholar] [CrossRef]
- Johannessen, O.M.; Alexandrov, V.Y.; Frolov, I.Y.; Bobylev, L.P.; Sandven, S.; Pettersson, L.H.; Kloster, K.; Babich, N.G.; Mironov, Y.U.; Smirnov, V.G. Remote Sensing of Sea Ice in the Northern Sea Route: Studies and Applications; Springer-Praxis: Berlin, Germany, 2006. [Google Scholar]
- Karvonen, J.; Simila, M.; Makynen, M. Open water detection from Baltic Sea ice Radarsat-1 SAR imagery. IEEE Geosci. Remote Sens. Lett. 2005, 2, 275–279. [Google Scholar] [CrossRef]
- Herzfeld, U.C.; Williams, S.; Heinrichs, J.; Maslanik, J.; Sucht, S. Geostatistical and Statistical Classification of Sea-Ice Properties and Provinces from SAR Data. Remote Sens. 2016, 8, 616. [Google Scholar] [CrossRef]
- Barber, D.G.; Yackel, J.J.; Hanesiak, J.M. Sea ice, RADARSAT-1 and arctic climate processes: A review and update. Can. J. Remote Sens. 2014, 27, 51–61. [Google Scholar] [CrossRef]
- Geldsetzer, T.; Yackel, J. Sea ice type and open water discrimination using dual co-polarized C-band SAR. Can. J. Remote Sens. 2009, 35, 73–84. [Google Scholar] [CrossRef]
- Dabboor, M.; Yackel, J.; Hossain, M.; Braun, A. Comparing matrix distance measures for unsupervised polarimetric SAR data classification of sea ice based on agglomerative clustering. Int. J. Remote Sens. 2013, 34, 1492–1505. [Google Scholar] [CrossRef]
- Dabboor, M.; Shokr, M. A new Bayesian likelihood ratio test for supervised classification of fully polarimetric SAR data: An application for sea ice type mapping. ISPRS J. Photogramm. Remote Sens. 2013, 84, 1–11. [Google Scholar] [CrossRef]
- Dabboor, M.; Howell, S.; Shokr, M.; Yackel, J. The Jeffries-Matusita separability criterion for the case of complex Wishart distribution with application to fully polarimetric SAR data. Int. J. Remote Sens. 2014, 35, 6859–6873. [Google Scholar]
- Johansson, A.M.; King, J.A.; Doulgeris, A.P.; Gerland, S.; Singha, S.; Spreen, G.; Busche, T. Combined observations of Arctic sea ice with near-coincident collocated X-band, C-band, and L-band SAR satellite remote sensing and helicopter-borne measurements. J. Geophys. Res. Oceans 2017, 122, 669–691. [Google Scholar] [CrossRef]
- Gill, J.; Yackel, J.J.; Geldsetzer, T. Analysis of consistency in first-year sea ice classification potential of C-band SAR polarimetric parameters. Can. J. Remote Sens. 2013, 39, 101–117. [Google Scholar] [CrossRef]
- Moen, M.-A.N.; Doulgeris, A.P.; Anfinsen, S.N.; Renner, A.H.H.; Hughes, N.; Gerland, S.; Eltoft, T. Comparison of feature based segmentation of full polarimetric SAR satellite sea ice images with manually drawn ice charts. Cryosphere 2013, 7, 1693–1705. [Google Scholar] [CrossRef]
- Charbonneau, F.; Brian, B.; Raney, K.; McNairn, H.; Liu, C.; Vachon, P.; Shang, J.; De Abreu, R.; Champagne, C.; Merzouki, A.; et al. Compact polarimetry overview and applications assessment. Can. J. Remote Sens. 2010, 36, S298–S315. [Google Scholar] [CrossRef]
- Singha, S.; Ressel, R. Arctic sea ice characterization using RISAT-1 compact-pol SAR imagery and feature evaluation: A case study over Northeast Greenland. IEEE J. Sel. Top. Appl. Earth Obs. Remote Sens. 2017, 10, 3504–3514. [Google Scholar] [CrossRef]
- Espeseth, M.M.; Brekke, C.; Johansson, A.M. Assessment of RISAT-1 and Radarsat-2 for sea ice observations from a hybrid-polarity perspective. Remote Sens. 2017, 9, 1088. [Google Scholar] [CrossRef]
- Espeseth, M.M. Synthetic Aperture Radar Compact Polarimetry for Sea Ice Surveillance. Master’s Thesis, The Arctic University of Norway, Tromsø, Norway, 2015. [Google Scholar]
- Zhang, X.; Zhang, J.; Liu, M.; Meng, J. Assessment of C-band compact polarimetry SAR for sea ice classification. Acta Oceanol. Sin. 2016, 35, 79–88. [Google Scholar] [CrossRef]
- Li, H.; Perrie, W. Sea ice characterization and classification using hybrid polarimetry SAR. IEEE J. Sel. Top. Appl. Earth Obs. Remote Sens. 2016, 9, 4998–5010. [Google Scholar] [CrossRef]
- Massey, F.J., Jr. The Kolmogorov-Smirnov test for goodness of fit. J. Am. Stat. Assoc. 1951, 46, 68–78. [Google Scholar] [CrossRef]
- Lee, J.S.; Pottier, E. Polarimetric Radar Imaging: From Basics to Applications; CRC Press: Boca Raton, FL, USA, 2009. [Google Scholar]
- Raney, R.K.; Cahill, J.T.S.; Patterson, G.W.; Bussey, D.B.J. The m-chi decomposition of hybrid dual-polarimetric radar data with application to lunar craters. J. Geophys. Res. 2012, 117, E00H21. [Google Scholar] [CrossRef]
- Truong-Loi, M.; Freeman, A.; Dubois-Fernandez, P.; Pottier, E. Estimation of soil moisture and Faraday rotation from bare surfaces using compact polarimetry. IEEE Trans. Geosci. Remote Sens. 2009, 47, 3608–3615. [Google Scholar] [CrossRef]
- Cloude, S.R.; Goodenough, D.G.; Chen, H. Compact decomposition theory. Geosci. Remote Sens. Lett. 2012, 9, 28–32. [Google Scholar] [CrossRef]
- Ko, K.T. A Hybrid Road Identification System Using Image Processing Techniques and Back-Propagation Neural Networks. Master’s Thesis, Mississippi State University, Oktibbeha County, MS, USA, 1995. [Google Scholar]
- Desbordes, P.; Ruan, S.; Modzelewski, R.; Pineau, P.; Vauclin, S.; Gouel, P.; Michel, P.; Di Fiore, F.; Vera, P.; Gardin, I. Predictive value of initial FDG-PET features for treatment response and survival in esophageal cancer patients treated with chemo-radiation therapy using a random forest classifier. PLoS ONE 2017, 12, e0173208. [Google Scholar] [CrossRef] [PubMed]
- Dabboor, M.; Montpetit, B.; Howell, S.; Haas, C. Improving sea ice characterization in dry ice winter conditions using polarimetric parameters from C- and L-band SAR data. Remote Sens. 2017, 9, 1270. [Google Scholar] [CrossRef]
- Press, W.; Teukolsky, S.A.; Vetterling, W.; Flannery, B. The Art of Scientific Computing, 3rd ed.; Cambridge University Press: Cambridge, UK, 2007. [Google Scholar]
- Breiman, L. Random forests. Mach. Learn. 2001, 45, 5–32. [Google Scholar] [CrossRef]
- Mortin, J.; Howell, S.; Wang, L.; Derksen, C.; Svensson, G.; Graversen, R.G.; Schrøder, T.M. Extending the QuikSCAT record of seasonal melt-freeze transitions over Arctic sea ice using ASCAT. Remote Sens. Environ. 2014, 141, 214–230. [Google Scholar] [CrossRef]
- Geldsetzer, T.; Charbonneau, F.; Arkett, M.; Zagon, Z. Ocean wind study using simulated RCM compact-polarimetry SAR. Can. J. Remote Sens. 2015, 41, 418–430. [Google Scholar] [CrossRef]
- Nghiem, S.V.; Bertoia, C. Study of multi-polarization C-band backscatter signatures for Arctic sea ice mapping with future satellite SAR. Can. J. Remote Sens. 2001, 27, 387–402. [Google Scholar] [CrossRef]








| RADARSAT-2 Beam Mode | Acquisition Date and Time | Location | Orbit Direction | Incidence Angle | Pixel Spacing (rng × az) |
|---|---|---|---|---|---|
| FQ21 | 23/04/2015 | Victoria Strait | Descending | 40.9° | 4.7 m × 5.1 m |
| 13:08:56 UTC | |||||
| FQ23 | 26/04/2015 | M’Clintock Channel | Descending | 42.7° | 4.7 m × 5.0 m |
| 13:21:17 UTC |
| Short Form | Description |
|---|---|
| SV0, SV1, SV2, SV3 | Stokes vector elements [32] |
| SE_Pol, SE_Int | Shannon entropy polarimetric and intensity components [4] |
| , , , | Sigma naught backscattering—right circular transmit and left circular, right circular, linear horizontal or linear vertical receive polarization [4] |
| Right co-polarized ratio | |
| RH RV correlation coefficient [4] | |
| m-δ_S, m-δ_V, m-δ_DB | Surface, volume, and double bounce scattering from m-δ decomposition [24] |
| m-χ_odd, m-χ_V, m-χ_even | odd, volume, and even bounce scattering from m-χ decomposition [32] |
| m | Degree of polarization [32] |
| RH RV phase difference [24] | |
| μ | Conformity coefficient [33] |
| Circular polarization ratio | |
| Alpha parameter related to the ellipticity of the compact scattered wave [34] |
| CP Parameters | RCM HR | RCM LN | RCM LR | RCM MR50 |
|---|---|---|---|---|
| (5 m, −19 dB) | (100 m, −25 dB) | (100 m, −22 dB) | (50 m, −22 dB) | |
| SV0 | 0.82 | 1.00 | 1.00 | 0.99 |
| SV1 | 0.28 | 0.37 | 0.37 | 0.37 |
| SV2 | 0.37 | 0.53 | 0.53 | 0.55 |
| SV3 | 0.68 | 0.92 | 0.92 | 0.91 |
| SE_Pol | 0.35 | 0.49 | 0.29 | 0.26 |
| SE_Int | 0.82 | 1.00 | 1.00 | 0.99 |
| 0.79 | 0.98 | 0.98 | 0.97 | |
| 0.70 | 1.00 | 1.00 | 1.00 | |
| 0.79 | 0.99 | 0.99 | 0.98 | |
| 0.78 | 0.99 | 0.99 | 0.98 | |
| 0.13 | 0.18 | 0.20 | 0.18 | |
| 0.51 | 0.48 | 0.24 | 0.21 | |
| m-δ_S | 0.73 | 0.93 | 0.93 | 0.91 |
| m-δ_V | 0.67 | 1.00 | 1.00 | 1.00 |
| m-δ_DB | 0.27 | 0.49 | 0.49 | 0.52 |
| m-χ_odd | 0.72 | 0.93 | 0.93 | 0.91 |
| m-χ_V | 0.67 | 1.00 | 1.00 | 1.00 |
| m-χ_even | 0.40 | 0.64 | 0.64 | 0.67 |
| m | 0.56 | 0.48 | 0.23 | 0.20 |
| 0.06 | 0.18 | 0.18 | 0.20 | |
| μ | 0.46 | 0.49 | 0.27 | 0.23 |
| 0.46 | 0.49 | 0.27 | 0.23 | |
| 0.12 | 0.27 | 0.27 | 0.29 |
| RCM HR | RCM LN | RCM LR | RCM MR50 | ||||||||
|---|---|---|---|---|---|---|---|---|---|---|---|
| Strongly Correlated CP Parameters | Strongly Correlated CP Parameters | Independent CP Parameters | Strongly Correlated CP Parameters | Independent CP Parameters | Strongly Correlated CP Parameters | Independent CP Parameters | |||||
| Group# | Group# | Group# | Group# | ||||||||
| 1 | 2 | 3 | 1 | 2 | 1 | 2 | 1 | 2 | |||
| m-δ_S | SV0 | SV0 | m-χ_even | SV0 | m-χ_even | SV0 | m-χ_even | ||||
| m-χ_odd | SE_Int | m-δ_V | SE_Int | m-δ_V | SV2 | SE_Int | m-δ_V | SV2 | SE_Int | m-δ_V | SV2 |
| SV3 | m-χ_V | m-χ_V | m-χ_V | m-χ_V | m-δ_DB | ||||||
| m | |||||||||||
| m-δ_S | m-δ_S | m-δ_S | m-δ_S | ||||||||
| m-χ_odd | m-χ_odd | m-χ_odd | m-χ_odd | ||||||||
| SV3 | SV3 | SV3 | SV3 | ||||||||
| RCM HR | RCM LN | RCM LR | RCM MR50 |
|---|---|---|---|
| SV0 | SV0 | SV0 | SV0 |
| m-χ_even | m-χ_even | m-χ_even | |
| SV2 | SV2 | SV2 | |
| m-δ_DB |
| RCM HR (%) | RADARSAT-2 (%) | ||||
|---|---|---|---|---|---|
| FYI | MYI | FYI | MYI | ||
| Victoria Strait | FYI | 96.66 | 4.85 | 98.36 | 0.70 |
| MYI | 3.34 | 95.15 | 1.64 | 99.30 | |
| Overall accuracy | 96.13 | 98.99 | |||
| Kappa coefficient | 0.916 | 0.977 | |||
| M’Clintock Channel | FYI | 99.73 | 4.54 | 100 | 1.18 |
| MYI | 0.27 | 95.46 | 0 | 98.82 | |
| Overall accuracy | 96.84 | 99.20 | |||
| Kappa coefficient | 0.929 | 0.982 | |||
© 2018 by the authors. Licensee MDPI, Basel, Switzerland. This article is an open access article distributed under the terms and conditions of the Creative Commons Attribution (CC BY) license (http://creativecommons.org/licenses/by/4.0/).
Share and Cite
Dabboor, M.; Montpetit, B.; Howell, S. Assessment of the High Resolution SAR Mode of the RADARSAT Constellation Mission for First Year Ice and Multiyear Ice Characterization. Remote Sens. 2018, 10, 594. https://doi.org/10.3390/rs10040594
Dabboor M, Montpetit B, Howell S. Assessment of the High Resolution SAR Mode of the RADARSAT Constellation Mission for First Year Ice and Multiyear Ice Characterization. Remote Sensing. 2018; 10(4):594. https://doi.org/10.3390/rs10040594
Chicago/Turabian StyleDabboor, Mohammed, Benoit Montpetit, and Stephen Howell. 2018. "Assessment of the High Resolution SAR Mode of the RADARSAT Constellation Mission for First Year Ice and Multiyear Ice Characterization" Remote Sensing 10, no. 4: 594. https://doi.org/10.3390/rs10040594
APA StyleDabboor, M., Montpetit, B., & Howell, S. (2018). Assessment of the High Resolution SAR Mode of the RADARSAT Constellation Mission for First Year Ice and Multiyear Ice Characterization. Remote Sensing, 10(4), 594. https://doi.org/10.3390/rs10040594

