Use of Multispectral Airborne Images to Improve In-Season Nitrogen Management, Predict Grain Yield and Estimate Economic Return of Maize in Irrigated High Yielding Environments
Abstract
1. Introduction
2. Materials and Methods
2.1. Study Area
2.2. Fertilizer Treatments
2.3. Remote and Proximal Sensing: Data Acquisition and Analysis
2.4. Statistical Analysis
3. Results and Discussion
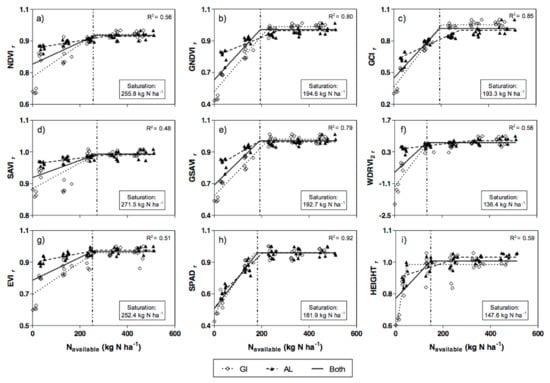
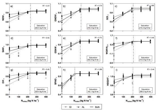
3.1. Vegetation Indices, SPAD and Plant Height Responses to N Rates and Available N
3.2. Grain Yield and Economic Return Responses to N Rates and Available N
3.3. Correlation between Vegetation Indices, SPAD and Plant Height with Grain Yield
3.4. Vegetation Indices, SPAD and Plant Height to Predict GYONr, GYONa, EONr and EONa
4. Conclusions
Acknowledgments
Author Contributions
Conflicts of Interest
Abbreviations
| Nitrogen | N |
| OM | organic matter |
| N rates | Nrates |
| available N | Navailable |
| Nitrogen use efficiency | NUE |
| Unmanned aerial vehicles | UAV |
| Digital Multi-Spectral Camera | DMSC |
| Grain yield optimum N rate | GYONr |
| Grain yield optimum N available | GYONa |
| Economic optimum nitrogen rate | EONr |
| Economic optimum nitrogen available | EONa |
References
- Cardwell, V.B. Fifty years of Minnesota corn production: Sources of yield increase. Agron. J. 1982, 74, 984–990. [Google Scholar] [CrossRef]
- Liang, B.C.; Mackenzie, A.F. Corn yield, nitrogen uptake and nitrogen use efficiency as influenced by nitrogen fertilization. Can. J. Soil Sci. Sci. 1993, 74, 235–240. [Google Scholar] [CrossRef]
- Fageria, N.K.; Baligar, V.C. Enhancing nitrogen Use Efficiency in Crop Plants. Adv. Agron. 2005, 88, 97–185. [Google Scholar] [CrossRef]
- Stanger, T.F.; Lauer, J.G. Corn Grain Yield Response to Crop Rotation and Nitrogen over 35 Years. Agron. J. 2008, 100, 643–650. [Google Scholar] [CrossRef]
- Khan, S.A.; Mulvaney, R.L.; Hoeft, R.G. A Simple Soil Test for Detecting Sites that are Nonresponsive to Nitrogen Fertilization. Soil Sci. Soc. Am. J. 2001, 65, 1751. [Google Scholar] [CrossRef]
- Lloveras, J.; Cabases, M.J. Costes de producción de cultivos extensivos en secano y regadío. Vida Rural 2015, 401, 38–47. [Google Scholar]
- Biau, A.; Santiveri, F.; Lloveras, J. Stover management and nitrogen fertilization effects on corn production. Agron. J. 2013, 105, 1264–1270. [Google Scholar] [CrossRef]
- Berenguer, P.; Santiveri, F.; Boixadera, J.; Lloveras, J. Nitrogen fertilisation of irrigated maize under Mediterranean conditions. Eur. J. Agron. 2009, 30, 163–171. [Google Scholar] [CrossRef]
- Yagüe, M.R.; Quílez, D. Cumulative and residual effects of swine slurry and mineral nitrogen in irrigated maize. Agron. J. 2010, 102, 1682–1691. [Google Scholar] [CrossRef]
- Cela, S.; Salmerón, M.; Isla, R.; Cavero, J.; Santiveri, F.; Lloveras, S. Reduced nitrogen fertilization to corn following alfalfa in an irrigated semiarid environment. Agron. J. 2011, 103, 520–528. [Google Scholar] [CrossRef]
- Varvel, G.E.; Schepers, J.S.; Francis, D.D. Ability for In-Season Correction of Nitrogen Deficiency in Corn Using Chlorophyll Meters. Soil Sci. Soc. Am. J. 1997, 61, 1233–1239. [Google Scholar] [CrossRef]
- Maresma, A.; Ketterings, Q.M. In-field variability of the Illinois soil nitrogen test and loss-on-ignition results for nitrogen management. Soil Sci. Soc. Am. J. 2017, 81. [Google Scholar] [CrossRef]
- Bausch, W.; Duke, H. Remote sensing of plant nitrogen status in corn. Trans. ASAE 1996, 39, 1869–1875. [Google Scholar] [CrossRef]
- Hanway, J.J. Corn growth and composition in relation to soil fertility: II. Uptake of N, P, and K and their distribution in different plant parts during the growing season. Agron. J. 1962, 54, 217–222. [Google Scholar] [CrossRef]
- Magdoff, F.; Ross, D.; Amadon, J. A soil test for nitrogen availability to corn. Soil Sci. Soc. 1984, 46, 1301–1304. [Google Scholar] [CrossRef]
- Wood, C.W.; Reeves, D.W.; Duffield, R.R.; Edmisten, K.L. Field chlorophyll measurements for evaluation of corn nitrogen status. J. Plant Nutr. 1992, 15, 487–500. [Google Scholar] [CrossRef]
- Wood, C.W.; Reeves, D.W.; Himelrick, D.G. Relationships between chlorophyll meter readings and leaf chlorophyll concentration, N status, and crop yield: A review. Proc. Agron. Soc. N. Z. 1993, 23, 1–9. [Google Scholar]
- Sripada, R.P.; Heiniger, R.W.; White, J.G.; Weisz, R. Aerial Color Infrared Photography for Determining Late-Season Nitrogen Requirements in Corn. Agron. J. 2005, 97, 1443. [Google Scholar] [CrossRef]
- Daughtry, C.S.T.; Walthall, C.L.; Kim, M.S.; De Colstoun, E.B.; McMurtrey, J.E. Estimating corn leaf chlorophyll concentration from leaf and canopy reflectance. Remote Sens. Environ. 2000, 74, 229–239. [Google Scholar] [CrossRef]
- Zhang, D.Y.; Liu, R.Y.; Song, X.Y.; Xu, X.G.; Huang, W.J.; Zhu, D.Z.; Wang, J.H. A Field-Based Pushbroom Imaging Spectrometer for Estimating Chlorophyll Content of Maize. Spectrosc. Spectr. Anal. 2011, 31, 771–775. [Google Scholar] [CrossRef]
- Zarco-Tejada, P.J.; Catalina, A.; González, M.R.; Martín, P. Relationships between net photosynthesis and steady-state chlorophyll fluorescence retrieved from airborne hyperspectral imagery. Remote Sens. Environ. 2013, 136, 247–258. [Google Scholar] [CrossRef]
- Strachan, I.B.; Pattey, E.; Boisvert, J.B. Impact of nitrogen and environmental conditions on corn as detected by hyperspectral reflectance. Remote Sens. Environ. 2002, 80, 213–224. [Google Scholar] [CrossRef]
- Quemada, M.; Gabriel, J.L.; Zarco-Tejada, P. Airborne hyperspectral images and ground-level optical sensors as assessment tools for maize nitrogen fertilization. Remote Sens. 2014, 6, 2940–2962. [Google Scholar] [CrossRef]
- Sakamoto, T.; Gitelson, A.A.; Arkebauer, T.J. MODIS-based corn grain yield estimation model incorporating crop phenology information. Remote Sens. Environ. 2013, 131, 215–231. [Google Scholar] [CrossRef]
- Sun, L.; Gao, F.; Anderson, M.; Kustas, W.; Alsina, M.; Sanchez, L.; Sams, B.; McKee, L.; Dulaney, W.; White, W.; et al. Daily Mapping of 30 m LAI and NDVI for Grape Yield Prediction in California Vineyards. Remote Sens. 2017, 9, 317. [Google Scholar] [CrossRef]
- Bolton, D.K.; Friedl, M.A. Forecasting crop yield using remotely sensed vegetation indices and crop phenology metrics. Agric. For. Meteorol. 2013, 173, 74–84. [Google Scholar] [CrossRef]
- Sripada, R.P.; Heiniger, R.W.; White, J.G.; Meijer, A.D. Aerial color infrared photography for determining early in-season nitrogen requirements in corn. Agron. J. 2006, 98, 968–977. [Google Scholar] [CrossRef]
- Ma, B.L.; Wu, T.Y.; Shang, J. On-farm comparison of variable rates of nitrogen with uniform application to maize on canopy reflectance, soil nitrate, and grain yield. J. Plant Nutr. Soil Sci. 2014, 177, 216–226. [Google Scholar] [CrossRef]
- Jones, J.R.; Fleming, C.S.; Pavuluri, K.; Alley, M.M.; Reiter, M.S.; Thomason, W.E. Influence of soil, crop residue, and sensor orientations on NDVI readings. Precis. Agric. 2015, 16, 690–704. [Google Scholar] [CrossRef]
- Scharf, P.C.; Lory, J.A. Calibrating corn color from aerial photographs to predict sidedress nitrogen need. Agron. J. 2002, 94, 397–404. [Google Scholar] [CrossRef]
- Bausch, W.C.; Halvorson, A.D.; Cipra, J. Quickbird satellite and ground-based multispectral data correlations with agronomic parameters of irrigated maize grown in small plots. Biosyst. Eng. 2008, 101, 306–315. [Google Scholar] [CrossRef]
- Bausch, W.C.; Khosla, R. QuickBird satellite versus ground-based multi-spectral data for estimating nitrogen status of irrigated maize. Precis. Agric. 2010, 11, 274–290. [Google Scholar] [CrossRef]
- Isla, R.; Quílez, D.; Valentín, F.; Casterad, M.A.; Aibar, J.; Maturano, M. Utilización de imágenes aéreas multiespectrales para evaluar la disponibilidad de nitrógeno en maíz. In Proceedings of the XIV Congreso de la Asociación Española de Teledetección, Mieres, Spain, 21–23 September 2011. [Google Scholar]
- Cilia, C.; Panigada, C.; Rossini, M.; Meroni, M.; Busetto, L.; Amaducci, S.; Boschetti, M.; Picchi, V.; Colombo, R. Nitrogen status assessment for variable rate fertilization in maize through hyperspectral imagery. Remote Sens. 2014, 6, 6549–6565. [Google Scholar] [CrossRef]
- Maresma, A.; Ariza, M.; Martínez, E.; Lloveras, J.; Martínez-Casasnovas, J.A. Analysis of vegetation indices to determine nitrogen application and yield prediction in maize (Zea mays L.) from a standard uav service. Remote Sens. 2016, 8, 937. [Google Scholar] [CrossRef]
- Hanway, J. How a corn plant develops. Spec. Rep. 1966, 38, 1–25. [Google Scholar]
- Solari, F.; Shanahan, J.; Ferguson, R.; Schepers, J.; Gitelson, A. Active sensor reflectance measurements of corn nitrogen status and yield potential. Agron. J. 2008, 100, 571–579. [Google Scholar] [CrossRef]
- Shanahan, J.F.; Kitchen, N.R.; Raun, W.R.; Schepers, J.S. Responsive in-season nitrogen management for cereals. Comput. Electron. Agric. 2008, 61, 51–62. [Google Scholar] [CrossRef]
- Robert, P.C. Precision agriculture: A challenge for crop nutrition management. Plant Soil 2002, 247, 143–149. [Google Scholar] [CrossRef]
- Hunt, E.R.; Cavigelli, M.; Daughtry, C.S.T.; McMurtrey, J.E.; Walthall, C.L. Evaluation of digital photography from model aircraft for remote sensing of crop biomass and nitrogen status. Precis. Agric. 2005, 6, 359–378. [Google Scholar] [CrossRef]
- Peña, J.M.; Torres-Sánchez, J.; de Castro, A.I.; Kelly, M.; López-Granados, F. Weed Mapping in Early-Season Maize Fields Using Object-Based Analysis of Unmanned Aerial Vehicle (UAV) Images. PLoS ONE 2013, 8, 1–11. [Google Scholar] [CrossRef] [PubMed]
- Soil Survey Staff. Keys to Soil Taxonomy, 12th ed.; USDA-Natural Resources Conservation Service: Washington, DC, USA, 2014; Volume 12, p. 410.
- MAPA. Métodos Oficiales de Análisis de Suelos y Aguas para el Riego. In Publicaciones del Minesterio de Agricultura, Pesca y Alimentación; Tomo III; Ministerio de Agricultura y Pesca: Madrid, Spain, 1994; Volume 3, pp. 1–40. [Google Scholar]
- Sripada, R.P.; Schmidt, J.P.; Dellinger, A.E.; Beegle, D.B. Evaluating multiple indices from a canopy reflectance sensor to estimate corn N requirements. Agron. J. 2008, 100, 1553–1561. [Google Scholar] [CrossRef]
- Rouse, J.W.; Haas, R.H.; Schell, J.A.; Deering, D.W. Monitoring Vegetation Systems in the Great Plains with Erts. In Goddard Space Flight Center 3d ERTS-1 Symposium; Texas A&M University: College Station, TX, USA, 1974; Volume 351, pp. 309–317. [Google Scholar]
- Gitelson, A.A.; Merzlyak, M.N. Remote sensing of chlorophyll concentration in higher plant leaves. Adv. Space Res. 1998, 22, 689–692. [Google Scholar] [CrossRef]
- Gitelson, A.A.; Gritz, Y.; Merzlyak, M.N. Relationships between leaf chlorophyll content and spectral reflectance and algorithms for non-destructive chlorophyll assessment in higher plant leaves. J. Plant Physiol. 2003, 160, 271–282. [Google Scholar] [CrossRef] [PubMed]
- Gitelson, A.A.; Viña, A.; Ciganda, V.; Rundquist, D.C.; Arkebauer, T.J. Remote estimation of canopy chlorophyll content in crops. Geophys. Res. Lett. 2005, 32, 1–4. [Google Scholar] [CrossRef]
- Huete, A.R. A soil-adjusted vegetation index (SAVI). Remote Sens. Environ. 1988, 25, 295–309. [Google Scholar] [CrossRef]
- Gitelson, A. A Wide Dynamic Range Vegetation Index for remote quantification of biophysical characteristics of vegetation. J. Plant Physiol. 2004, 161, 165–173. [Google Scholar] [CrossRef] [PubMed]
- Huete, A.; Didan, K.; Miura, T.; Rodriguez, E.P.; Gao, X.; Ferreira, L. Overview of the radiometric and biophysical performance of the MODIS vegetation indices. Remote Sens. Environ. 2002, 83, 195–213. [Google Scholar] [CrossRef]
- Duncan, W.G.; Williams, W.A.; Loomis, R.S. Tassels and the Productivity of Maize1. Crop Sci. 1967, 7, 37. [Google Scholar] [CrossRef]
- Bonneville, M.C.; Fyles, J.W. Assessing variations in SPAD-502 chlorophyll meter measurements and their relationships with nutrient content of trembling aspen foliage. Commun. Soil Sci. Plant Anal. 2006, 37, 525–539. [Google Scholar] [CrossRef]
- Bischoff, M.; Hiar, A.M.; Turco, R.F. Evaluation of nitrate analysis using test strips: Comparison with two analytical laboratory methods. Commun. Soil Sci. Plant Anal. 1996, 27, 2765–2774. [Google Scholar] [CrossRef]
- Cerrato, M.E.; Blackmer, A.M. Comparison of Models for Describing; Corn Yield Response to Nitrogen Fertilizer. Agron. J. 1990, 82, 138–143. [Google Scholar] [CrossRef]
- Kirschbaum, M.U.F. The temperature dependence of soil organic matter decomposition, and the effect of global warming on soil organic C storage. Soil Biol. Biochem. 1995, 27, 753–760. [Google Scholar] [CrossRef]
- Katterer, T.; Reichstein, M.; Andren, O.; Lomander, A. Temperature dependence of organic matter decomposition: A critical review using literature data analyzed with different models. Biol. Fertil. Soils 1998, 27, 258–262. [Google Scholar] [CrossRef]
- Biau, A.; Santiveri, F.; Mijangos, I.; Lloveras, J. The impact of organic and mineral fertilizers on soil quality parameters and the productivity of irrigated maize crops in semiarid regions. Eur. J. Soil Biol. 2012, 53, 56–61. [Google Scholar] [CrossRef]
- Ma, B.L.; Morrison, M.J.; Dwyer, L.M. Canopy Light Reflectance and Field Greenness to Assess Nitrogen Fertilization and Yield of Maize. Agron. J. 1996, 88, 915. [Google Scholar] [CrossRef]
- Xia, T.; Miao, Y.; Wu, D.; Shao, H.; Khosla, R.; Mi, G. Active Optical Sensing of Spring Maize for In-Season Diagnosis of Nitrogen Status Based on Nitrogen Nutrition Index. Remote Sens. 2016, 8, 605. [Google Scholar] [CrossRef]
- Tremblay, N.; Bouroubi, M.Y.; Vigneault, P.; Bélec, C. Guidelines for in-season nitrogen application for maize (Zea mays L.) based on soil and terrain properties. Field Crop. Res. 2011, 122, 273–283. [Google Scholar] [CrossRef]
- Gitelson, A.A.; Kaufman, Y.J.; Merzlyak, M.N. Use of a green channel in remote sensing of global vegetation from EOS-MODIS. Remote Sens. Environ. 1996, 58, 289–298. [Google Scholar] [CrossRef]
- Papadopoulos, A.; Iatrou, M.; Papadopoulos, F.; Metaxa, I.; Theodoridou, S.; Kalogeropoulos, K.; Kiparissi, S. Preliminary results for standardization of ndvi using soil nitrates in corn growing. Fresenius Environ. Bull. 2014, 23, 348–354. [Google Scholar]
- Liu, K.; Wiatrak, P. Corn production and plant characteristics response to N fertilization management in dry-land conventional tillage system. Int. J. Plant Prod. 2011, 5, 405–416. [Google Scholar]
- Yakoub, A.M. Mineral Nitrogen Fertilization and Stover Management Effects on Maize Production under Irrigated Mediterranean Conditions: Simulation of Yields. Ph.D. Thesis, University of Lleida, Lleida, Spain, 2015. [Google Scholar]
- Salmerón, M.; Cavero, J.; Quílez, D.; Isla, R. Winter cover crops affect monoculture maize yield and nitrogen leaching under irrigated Mediterranean conditions. Agron. J. 2010, 102, 1700–1709. [Google Scholar] [CrossRef]
- Mulla, D.J. Twenty five years of remote sensing in precision agriculture: Key advances and remaining knowledge gaps. Biosyst. Eng. 2013, 114, 358–371. [Google Scholar] [CrossRef]
- Zaman-Allah, M.; Vergara, O.; Araus, J.L.; Tarekegne, A.; Magorokosho, C.; Zarco-Tejada, P.J.; Hornero, A.; Albà, A.H.; Das, B.; Craufurd, P.; et al. Unmanned aerial platform-based multi-spectral imaging for field phenotyping of maize. Plant Methods 2015, 11, 35. [Google Scholar] [CrossRef] [PubMed]
- Cela, S.; Berenguer, P.; Ballesta, A.; Santiveri, F.; Lloveras, J. Prediction of relative corn yield with soil-nitrate tests under irrigated mediterranean conditions. Agron. J. 2013, 105, 1101–1106. [Google Scholar] [CrossRef]
- Yagüe, M.R.; Quílez, D. Pig slurry residual effects on maize yields and nitrate leaching: A study in lysimeters. Agron. J. 2015, 107, 278–286. [Google Scholar] [CrossRef]
- Di Paolo, E.; Rinaldi, M. Yield response of corn to irrigation and nitrogen fertilization in a Mediterranean environment. Field. Crop. Res. 2008, 105, 202–210. [Google Scholar] [CrossRef]
- Schlegel, A.J.; Dhuyvetter, K.C.; Havlin, J.L. Economic and environmental impacts of long-term nitrogen and phosphorus fertilization. J. Prod. Agric. 1996, 9, 114–118. [Google Scholar] [CrossRef]
- Teal, R.K.; Tubana, B.; Girma, K.; Freeman, K.W.; Arnall, D.B.; Walsh, O.; Raun, W.R. In-season prediction of corn grain yield potential using normalized difference vegetation index. Agron. J. 2006, 98, 1488–1494. [Google Scholar] [CrossRef]
- Inman, D.; Khosla, R.; Reich, R.M.; Westfall, D.G. Active remote sensing and grain yield in irrigated maize. Precis. Agric. 2007, 8, 241–252. [Google Scholar] [CrossRef]
- Islam, M.R.; Garcia, S.C.; Henry, D. Use of normalised difference vegetation index, nitrogen concentration, and total nitrogen content of whole maize plant and plant fractions to estimate yield and nutritive value of hybrid forage maize. Crop Pasture Sci. 2011, 62, 374–382. [Google Scholar] [CrossRef]
- Gao, R.; Liu, S.; Zhang, Y.; Li, H.; Huang, Y.; Xia, X.; Jiang, T.; Zhang, H. Temporal-spatial variability and fractal characteristics of soil nitrogen and phosphorus in Xinji District, Hebei Province, China. Environ. Monit. Assess. 2011, 174, 229–240. [Google Scholar] [CrossRef] [PubMed]
- Shaver, T.M.; Khosla, R.; Westfall, D.G. Evaluation of two crop canopy sensors for nitrogen variability determination in irrigated maize. Precis. Agric. 2011, 12, 892–904. [Google Scholar] [CrossRef]
- Tahir, M.N.; Li, J.; Liu, B.; Zhao, G.; Fuqi, Y.; Cui, C. Hyperspectral estimation model for nitrogen contents of summer corn leaves under rainfed conditions. Pak. J. Bot. 2013, 45, 1623–1630. [Google Scholar]
- Liu, W.; Tollenaar, M.; Stewart, G.; Deen, W. Response of corn grain yield to spatial and temporal variability in emergence. Crop Sci. 2004, 44, 847–854. [Google Scholar] [CrossRef]
- Pagano, E.; Maddonni, G.A. Intra-specific competition in maize: Early established hierarchies differ in plant growth and biomass partitioning to the ear around silking. Field Crop. Res. 2007, 101, 306–320. [Google Scholar] [CrossRef]
- Piekielek, W.P.; Fox, R.H.; Toth, J.D.; Macneal, K.E. Use of a chlorophyll meter at the early dent stage of corn to evaluate nitrogen sufficiency. Agron. J. 1995, 87, 403–408. [Google Scholar] [CrossRef]
- Yin, X.; McClure, M.A.; Jaja, N.; Tyler, D.D.; Hayes, R.M. In-season prediction of corn yield using plant height under major production systems. Agron. J. 2011, 103, 923–929. [Google Scholar] [CrossRef]





| Soil Properties | Almacelles (AL) | Gimenells (GI) | ||||
|---|---|---|---|---|---|---|
| Depth, cm | 0–30 | 30–60 | 60–110 | 0–30 | 30–60 | 60–110 |
| Sand, % | 42 | 43 | 17 | 39 | 38 | 45 |
| Silt, % | 33 | 36 | 63 | 40 | 42 | 38 |
| Clay, % | 25 | 21 | 20 | 21 | 20 | 17 |
| pH | 8.2 | 8.4 | 8.4 | 8.3 | 8.3 | 8.3 |
| Organic matter, g kg−1 | 33 | — | — | 22 | — | — |
| Bulk density, g cm−3 | 1.64 | — | — | 1.40 | — | — |
| EC, dS m−1 | 0.19 | — | — | 0.20 | — | — |
| P (Olsen), mg kg−1 | 90 | — | — | 31 | — | — |
| K (NH4Ac), mg kg−1 | 383 | — | — | 217 | — | — |
| Soil class † | Typic Calcixerept | Petrocalcic Calcixerept | ||||
| Precedent crop | Maize | Maize | ||||
| Vegetation Index | Formula | Reference | |
|---|---|---|---|
| (1) | NDVI (Normalized Difference Vegetation Index) | [45] | |
| (2) | GNDVI (Green NDVI) | [46] | |
| (3) | GCI (Green Chlorophyll Index) | [47,48] | |
| (4) | ‡ SAVI (Soil Adjusted Vegetation Index) | [49] | |
| (5) | ‡ GSAVI (Green SAVI) | [27] | |
| (6) | WDRVI (Wide Dynamic Range Vegetation Index) | [50] | |
| (7) | EVI (Enhanced Vegetation Index) | [51] |
| Nrates and Statistics | NDVI | GNDVI | GCI | SAVI | GSAVI | WDRVI2 | EVI | SPAD ‡ | HEIGHT ‡ | YIELD | ECO-Return | |||||||||||
|---|---|---|---|---|---|---|---|---|---|---|---|---|---|---|---|---|---|---|---|---|---|---|
| 2014 | 2015 | 2014 | 2015 | 2014 | 2015 | 2014 | 2015 | 2014 | 2015 | 2014 | 2015 | 2014 | 2015 | 2014 | 2015 | 2014 | 2015 | 2014 | 2015 | 2014 | 2015 | |
| R2 model | 0.85 | 0.94 | 0.94 | 0.56 | 0.94 | 0.94 | 0.91 | 0.96 | 0.90 | 0.99 | 0.99 | |||||||||||
| Almacelles (AL) | ||||||||||||||||||||||
| 0 | 0.92 | 0.91 | 0.80 | 0.77 | 0.63 | 0.64 | 0.95 | 0.94 | 0.82 | 0.79 | 0.51 | 0.35 | 0.89 | 0.92 | 0.62 | 0.69 | 0.84 | 0.90 | 0.42 | 0.53 | 0.46 | 0.58 |
| 100 | 0.95 | 0.94 | 0.90 | 0.88 | 0.79 | 0.80 | 0.97 | 0.96 | 0.92 | 0.90 | 0.67 | 0.54 | 0.93 | 0.96 | 0.88 | 0.80 | 0.90 | 0.97 | 0.75 | 0.79 | 0.80 | 0.83 |
| 200 | 0.96 | 0.95 | 0.93 | 0.91 | 0.85 | 0.85 | 0.98 | 0.96 | 0.94 | 0.92 | 0.76 | 0.62 | 0.96 | 0.97 | 0.94 | 0.94 | 0.93 | 0.98 | 0.92 | 0.94 | 0.96 | 0.97 |
| 300 | 0.97 | 0.96 | 0.94 | 0.93 | 0.88 | 0.88 | 0.98 | 0.97 | 0.95 | 0.94 | 0.78 | 0.69 | 0.96 | 0.98 | 0.95 | 0.96 | 0.95 | 0.98 | 0.94 | 0.96 | 0.95 | 0.96 |
| 400 | 0.99 | 0.97 | 0.97 | 0.95 | 0.94 | 0.91 | 0.99 | 0.98 | 0.98 | 0.96 | 0.90 | 0.78 | 0.99 | 0.98 | 0.95 | 0.96 | 0.99 | 0.99 | 0.96 | 0.97 | 0.94 | 0.93 |
| Gimenells (GI) | ||||||||||||||||||||||
| 0 | 0.71 | 0.88 | 0.49 | 0.65 | 0.32 | 0.53 | 0.83 | 0.91 | 0.55 | 0.67 | −1.49 | −0.31 | 0.61 | 0.80 | 0.49 | 0.59 | 0.63 | 0.83 | 0.19 | 0.34 | 0.22 | 0.37 |
| 100 | 0.90 | 0.88 | 0.79 | 0.81 | 0.73 | 0.78 | 0.90 | 0.88 | 0.80 | 0.83 | 0.49 | 0.47 | 0.86 | 0.87 | 0.85 | 0.86 | 0.95 | 0.91 | 0.50 | 0.61 | 0.53 | 0.63 |
| 200 | 0.96 | 0.96 | 0.97 | 0.94 | 0.94 | 0.91 | 0.99 | 0.97 | 0.97 | 0.95 | 0.59 | 0.52 | 0.90 | 0.94 | 0.96 | 0.95 | 0.88 | 0.98 | 0.82 | 0.84 | 0.87 | 0.86 |
| 300 | 0.98 | 0.98 | 0.98 | 0.98 | 0.96 | 0.97 | 0.98 | 0.99 | 0.94 | 0.99 | 0.85 | 0.77 | 0.97 | 0.96 | 0.93 | 0.93 | 0.94 | 0.96 | 0.88 | 0.93 | 0.89 | 0.92 |
| 400 | 0.98 | 0.98 | 0.98 | 0.98 | 0.96 | 0.96 | 0.98 | 0.99 | 0.95 | 0.98 | 0.80 | 0.78 | 0.94 | 0.96 | - | 0.97 | - | 0.95 | 0.93 | 0.91 | 0.92 | 0.86 |
| ANOVA over locations and years | ||||||||||||||||||||||
| Location (L) | ** | ** | NS | ** | ** | ** | ** | ** | * | ** | ** | |||||||||||
| N rates (N) | ** | ** | ** | ** | ** | ** | ** | ** | ** | ** | ** | |||||||||||
| L × N | ** | ** | ** | ** | ** | ** | ** | * | ** | ** | ** | |||||||||||
| Error a | - | - | - | - | - | - | - | - | - | - | - | |||||||||||
| Year (Y) | * | NS | ** | NS | NS | NS | ** | NS | ** | ** | ** | |||||||||||
| Y × L | ** | ** | ** | NS | ** | ** | * | NS | NS | * | * | |||||||||||
| Y × N | ** | ** | ** | * | * | ** | ** | NS | ** | ** | ** | |||||||||||
| Y × N × L | ** | ** | ** | NS | ** | ** | ** | NS | ** | NS | NS | |||||||||||
| Error b | - | - | - | - | - | - | - | - | - | - | - | |||||||||||
| Nrates and Statistics | YIELD (Mg ha‒1) | ECO-Return (€ ha‒1 × 1000) | ||||||||||
|---|---|---|---|---|---|---|---|---|---|---|---|---|
| 2014 | 2015 | Both Years | 2014 | 2015 | Both Years | |||||||
| Almacelles (AL) | ||||||||||||
| 0 | 8.7 | g | 9.2 | fg | 9.0 | d | 1.5 | ef | 1.6 | ef | 1.5 | c |
| 100 | 15.6 | de | 16.1 | de | 15.9 | bc | 2.6 | cd | 2.7 | bcd | 2.6 | b |
| 200 | 19.1 | a | 18.4 | abc | 18.8 | a | 3.1 | a | 3.0 | ab | 3.0 | a |
| 300 | 19.6 | a | 18.9 | ab | 19.2 | a | 3.1 | a | 2.9 | ab | 3.0 | a |
| 400 | 20.0 | a | 18.9 | a | 19.4 | a | 3.0 | a | 2.9 | abc | 3.0 | a |
| Gimenells (GI) | ||||||||||||
| 0 | 3.5 | i | 6.1 | h | 4.8 | e | 0.6 | h | 1.0 | g | 0.8 | d |
| 100 | 9.1 | g | 11.0 | f | 10.0 | d | 1.5 | f | 1.8 | e | 1.6 | c |
| 200 | 15.0 | e | 15.2 | de | 15.1 | bc | 2.4 | d | 2.4 | d | 2.4 | b |
| 300 | 16.0 | de | 16.8 | cde | 16.4 | bc | 2.5 | d | 2.6 | cd | 2.5 | b |
| 400 | 17.2 | bcd | 16.4 | de | 16.8 | b | 2.5 | d | 2.4 | d | 2.5 | b |
| ANOVA over locations and years | ||||||||||||
| Location (L) | ** | ** | ||||||||||
| N rates (N) | ** | ** | ||||||||||
| L × N | ** | ** | ||||||||||
| Year (Y) | * | * | ||||||||||
| Y × L | ** | ** | ||||||||||
| Y × N | ** | ** | ||||||||||
| Y × N × L | NS | NS | ||||||||||
© 2018 by the authors. Licensee MDPI, Basel, Switzerland. This article is an open access article distributed under the terms and conditions of the Creative Commons Attribution (CC BY) license (http://creativecommons.org/licenses/by/4.0/).
Share and Cite
Maresma, Á.; Lloveras, J.; Martínez-Casasnovas, J.A. Use of Multispectral Airborne Images to Improve In-Season Nitrogen Management, Predict Grain Yield and Estimate Economic Return of Maize in Irrigated High Yielding Environments. Remote Sens. 2018, 10, 543. https://doi.org/10.3390/rs10040543
Maresma Á, Lloveras J, Martínez-Casasnovas JA. Use of Multispectral Airborne Images to Improve In-Season Nitrogen Management, Predict Grain Yield and Estimate Economic Return of Maize in Irrigated High Yielding Environments. Remote Sensing. 2018; 10(4):543. https://doi.org/10.3390/rs10040543
Chicago/Turabian StyleMaresma, Ángel, Jaume Lloveras, and José A. Martínez-Casasnovas. 2018. "Use of Multispectral Airborne Images to Improve In-Season Nitrogen Management, Predict Grain Yield and Estimate Economic Return of Maize in Irrigated High Yielding Environments" Remote Sensing 10, no. 4: 543. https://doi.org/10.3390/rs10040543
APA StyleMaresma, Á., Lloveras, J., & Martínez-Casasnovas, J. A. (2018). Use of Multispectral Airborne Images to Improve In-Season Nitrogen Management, Predict Grain Yield and Estimate Economic Return of Maize in Irrigated High Yielding Environments. Remote Sensing, 10(4), 543. https://doi.org/10.3390/rs10040543

